Modeling and Analysis of Vehicle-to-Vehicle Fluid Antenna Communication Systems Aided by RIS
Abstract
1. Introduction
1.1. Background
1.2. Related Works
1.3. Main Contributions
- A channel model is proposed that jointly captures RIS-enabled far-field reflections and near-field scattering effects in dynamic vehicular environments. This model integrates time-varying RIS configurations, spatially non-stationary scatterer clusters, and dual-mobility kinematics of vehicles, addressing the limitations of existing approaches that either neglect near-field dynamics or assume static RIS deployments.
- Through the derivation of deriving the Space-Time Cross-Correlation Function (ST CCF) and Temporal Auto-Correlation Function (ACF), the non-stationary properties of RIS-assisted vehicle-to-vehicle channels are precisely quantified. Our analysis explicitly incorporates time-varying parameters, including vehicular acceleration, RIS phase profiles, and scatterer dynamics, revealing how temporal evolution and RIS spatial deployment jointly govern channel correlation and attenuation.
- The proposed model supports dynamic port activation in FAS-equipped vehicles, where active port subsets adaptively adjust to channel conditions. This flexibility is formalized through a generalized channel matrix, enabling the real-time optimization of spectral efficiency and reliability under mobility constraints.
- Through comprehensive simulations, we demonstrate that RIS deployment positions and various other variables critically influence ST CCF and temporal ACF performance. Our findings provide actionable insights for RIS-aided V2V system design.
2. System Model
3. Channel Description
4. The CIR for the Two Transmission Links
5. Propagation Characteristics of the Proposed Channel Model
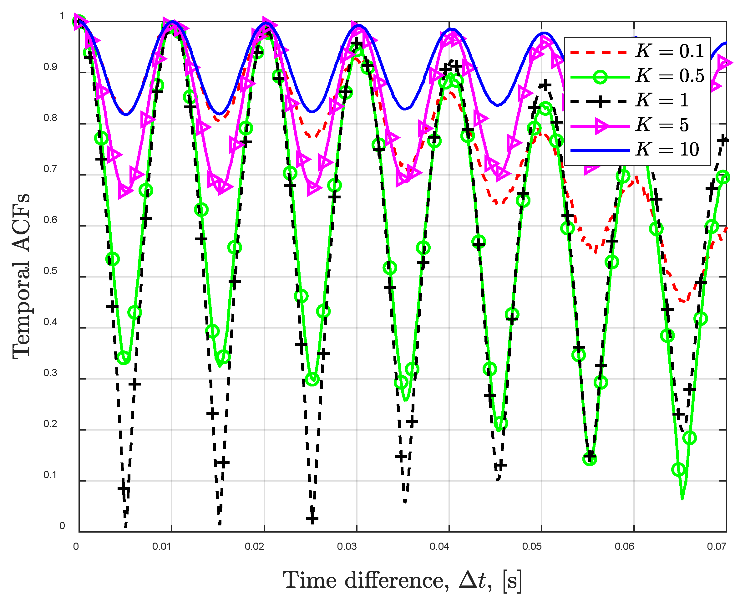
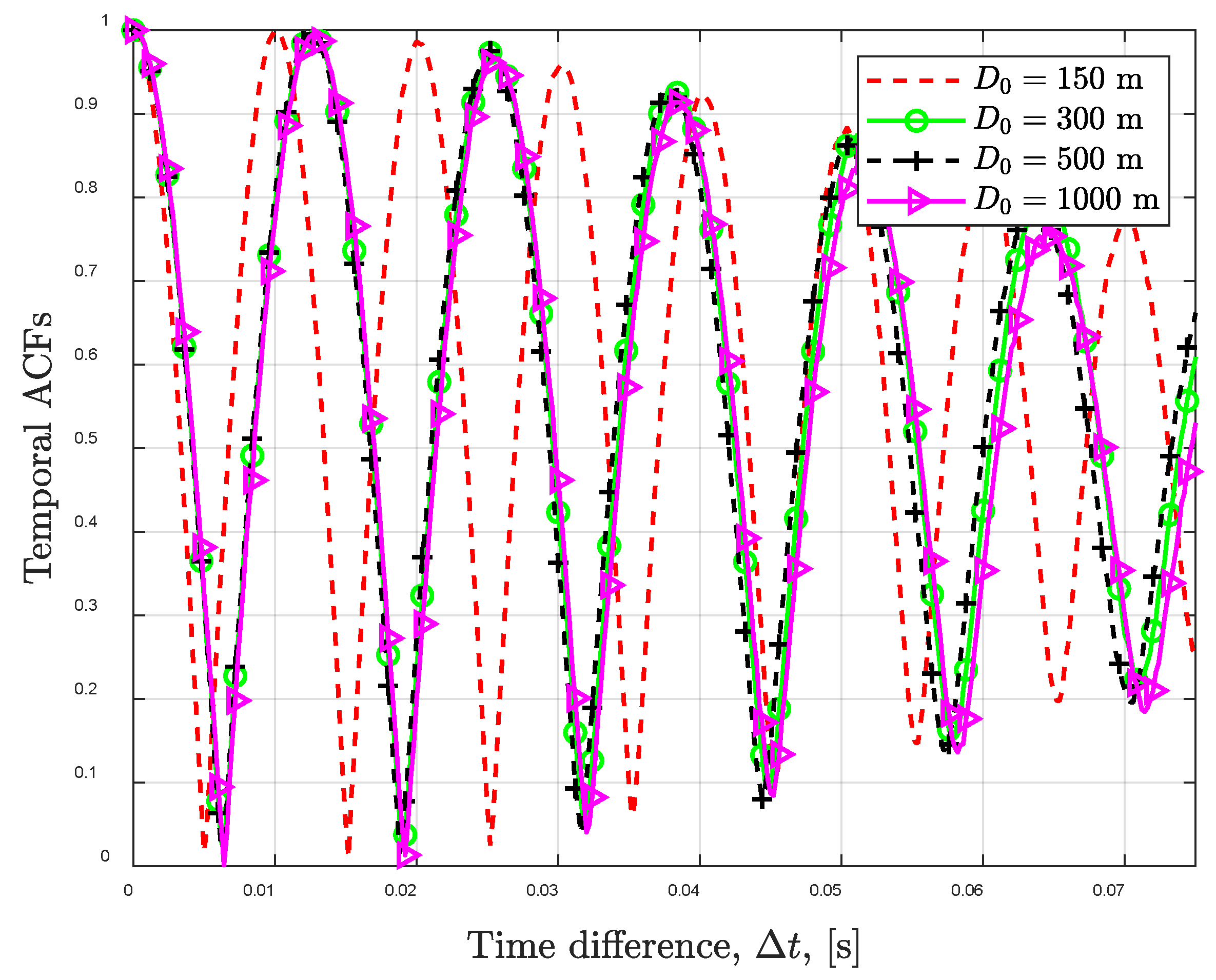
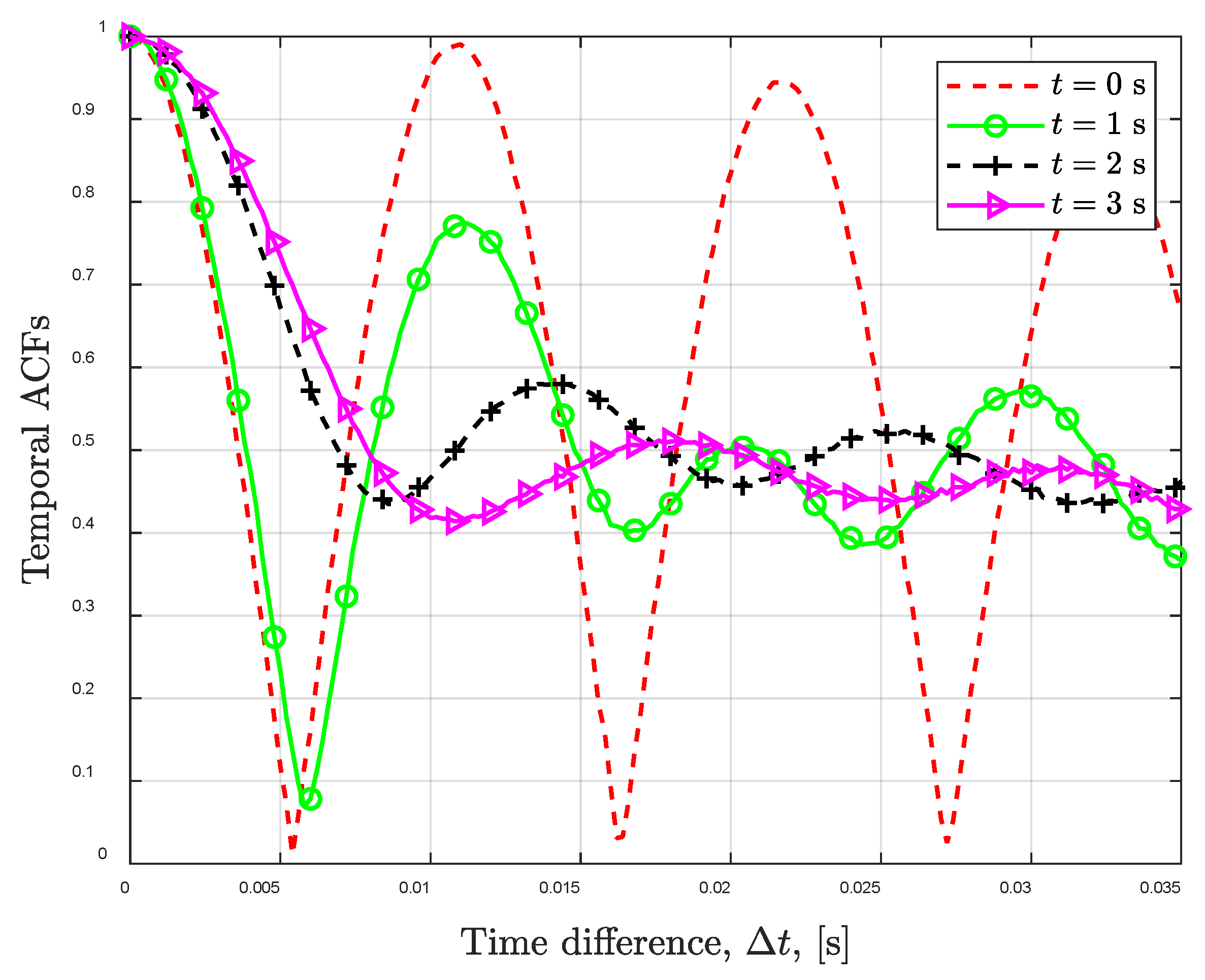
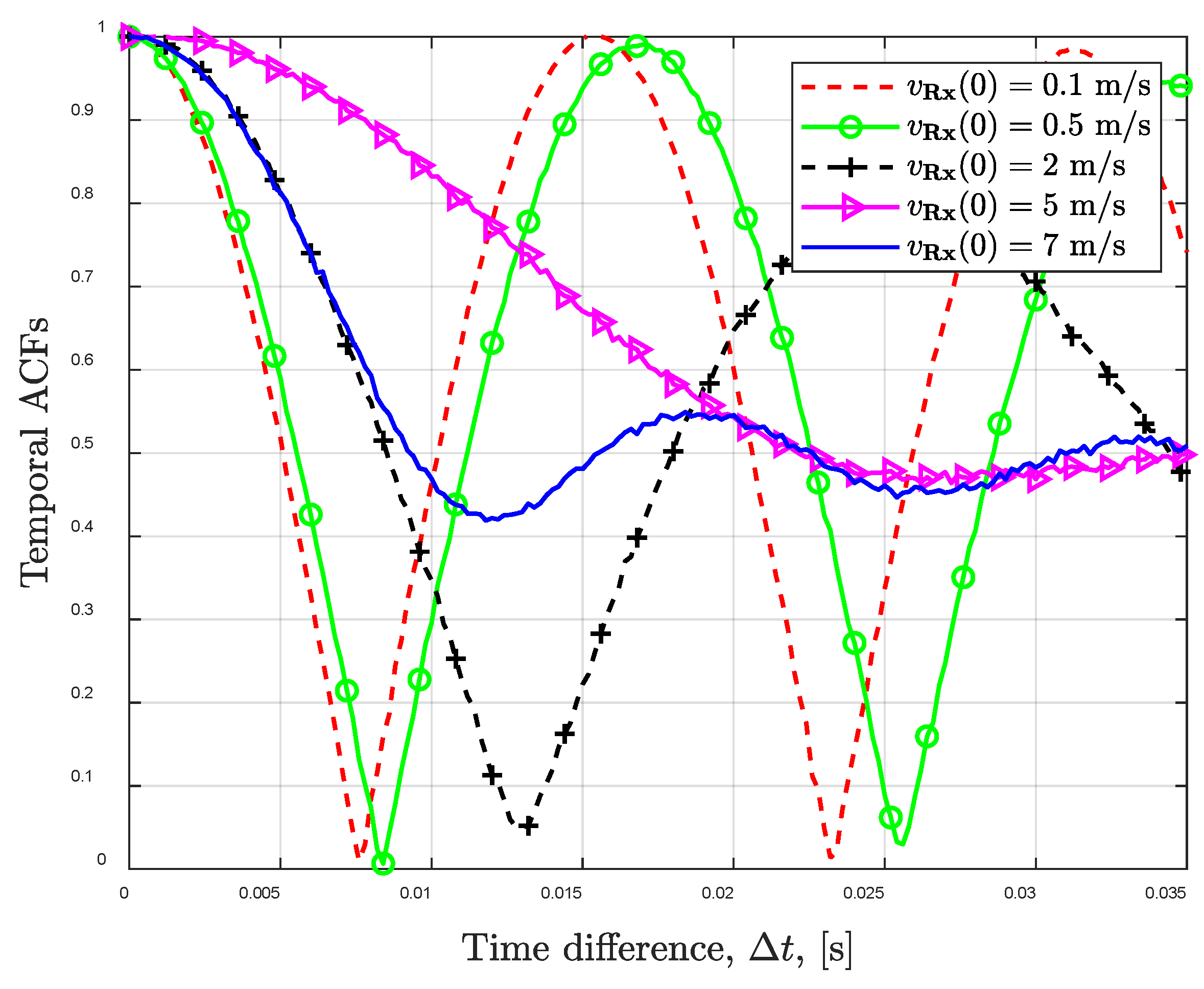
6. Simulation Results and Analysis
7. Conclusions
Author Contributions
Funding
Data Availability Statement
Conflicts of Interest
References
- Saad, W.; Bennis, M.; Chen, M. A vision of 6G wireless systems: Applications, trends, technologies, and open research problems. IEEE Netw. 2020, 34, 134–142. [Google Scholar] [CrossRef]
- Rappaport, T.S.; Xing, Y.; Kanhere, O.; Ju, S.; Madanayake, A.; Mandal, S. Wireless communications and applications above 100 GHz: Opportunities and challenges for 6G and beyond. IEEE Access 2019, 7, 78729–78757. [Google Scholar] [CrossRef]
- Tang, W.; Chen, X.; Chen, M.; Dai, J.; Han, Y.; Renzo, M.D. Path loss modeling and measurements for reconfigurable intelligent surfaces in the millimeter-wave band. IEEE Trans. Antennas. Propag. 2021, 69, 8329–8343. [Google Scholar] [CrossRef]
- Alexandropoulos, G.C.; Shlezinger, N.; Hougne, P. Reconfigurable intelligent surfaces for rich scattering wireless communications: Recent experiments and challenges. IEEE Wirel. Commun. 2021, 28, 118–125. [Google Scholar] [CrossRef]
- Wymeersch, H.; Seco-Granados, G.; Garcia, G.F.; Steinmetz, M.; Silven, M.; Polese, M. 5G NR V2X communications for connected and automated mobility. IEEE Commun. Stand. Mag. 2021, 5, 48–54. [Google Scholar]
- 3GPP TR 36.885; Study on LTE-Based V2X Services. 3GPP: Sophia Antipolis, Fance, 2016.
- Jiang, H.; Shi, W.; Chen, X.; Zhu, Q.; Chen, Z. High-efficient near-field channel characteristics analysis for large-scale MIMO communication systems. IEEE. Internet Things J. 2025, 12, 7446–7458. [Google Scholar] [CrossRef]
- Hua, B.; Han, L.; Zhu, Q.; Wang, C.; Mao, K.; Bao, J. Ultra-Wideband Nonstationary Channel Modeling for UAV-to-Ground Communications. IEEE Trans. Wirel. Commun. 2025, 24, 4190–4204. [Google Scholar] [CrossRef]
- Mao, K.; Zhu, Q.; Wang, C.; Ye, X.; Gomez-Ponce, J.; Cai, X. A survey on channel sounding technologies and measurements for UAV-assisted communications. IEEE Trans. Instrum. Meas. 2024, 73, 1–24. [Google Scholar] [CrossRef]
- Mecklenbräuker, C.F.; Laura, B.; Jesus, G.; Thomas, Z.; Andreas, F.; Johan, K.; Fredirik, T.; Lorenzo, R.; Jose-Maria, M. Non-stationary vehicle-to-vehicle channel modeling using geometry-based stochastic approach. IEEE Trans. Veh. Technol. 2017, 66, 6703–6716. [Google Scholar]
- Molisch, A.F. Wireless Communications, 2nd ed.; Wiley: Hoboken, NJ, USA, 2011. [Google Scholar]
- Björnson, E.; Larsson, E.G.; Marzatta, T.L. Massive MIMO: Ten myths and one critical question. IEEE Commun. Mag. 2016, 54, 114–123. [Google Scholar] [CrossRef]
- Boccardi, F.; Heath, R.W.; Lozano, A.; Marzetta, T.L.; Popovski, P. Five disruptive technology directions for 5G. IEEE Commun. Mag. 2014, 52, 74–80. [Google Scholar] [CrossRef]
- Di Renzo, M.; Renzo, M.D.; Zappone, A.; Debbah, M.; Alouini, M.S.; Yuen, C.; Rosny, J.D. Smart radio environments empowered by reconfigurable intelligent surfaces: How it works, state of research, and road ahead. IEEE Access 2020, 8, 45974–45995. [Google Scholar] [CrossRef]
- Ruan, C.; Zhang, Z.; Jiang, H.; Dang, J.; Wu, L.; Zhang, H. Wideband near-field channel covariance estimation for XL-MIMO systems in the face of beam split. IEEE Trans. Veh. Technol. 2025, 74, 2912–2926. [Google Scholar] [CrossRef]
- Jiang, H.; Shi, W.; Zhang, Z.; Pan, C.; Wu, Q.; Shu, F. Large-scale RIS enabled air-ground channels: Near-field modeling and analysis. IEEE Trans. Wirel. Commun. 2025, 24, 1074–1088. [Google Scholar] [CrossRef]
- Lian, Z.; Lian, Z.; Zhang, W.; Wang, Y.; Su, Y.; Zhang, B.; Biao, J. Physics-based channel modeling for IRS-assisted mmWave communication systems. IEEE Trans. Commun. 2024, 72, 2687–2700. [Google Scholar] [CrossRef]
- Wang, J.; Zhu, Q.; Lin, Z.; Chen, J.; Ding, G.; Wu, Q. Sparse Bayesian learning-based hierarchical construction for 3D radio environment maps incorporating channel shadowing. IEEE Trans. Wirel. Commun. 2024, 23, 14560–14574. [Google Scholar] [CrossRef]
- Tse, D.; Viswanath, P. Fundamentals of Wireless Communication; Cambridge University Press: Cambridge, UK, 2005. [Google Scholar]
- 3GPP TR 38.901; Study on Channel Model for Frequencies from 0.5 to 100 GHz. 3GPP: Sophia Antipolis, France, 2020.
- Zajic, A.; Gallagher, M.D.; Miletic, N.M.; West, J.; Zhang, J.; Mckaughlin, S.W.; Tranter, G.K. A 3-D geometry-based stochastic model for vehicle-to-vehicle MIMO channels. IEEE Trans. Veh. Technol. 2019, 7, 8674–8687. [Google Scholar]
- Zeng, L.; Liao, X.; Ma, Z.; Liu, W.; Jiang, H.; Chen, Z. Toward more adaptive UAV-to-UAV GBSMs: Introducing the extended vMF distribution. IEEE Wirel. Commun. Lett. 2025, 14, 260–264. [Google Scholar] [CrossRef]
- Abbas, T.; Karedal, J.; Tufvesson, F.; Palsson-Svensson, A.; Larsson, K. Measurement-based ray launching for V2V channel modeling. IEEE Trans. Antennas. Propag. 2017, 65, 6752–6766. [Google Scholar]
- Chen, Z.; Guo, Y.; Zhang, P.; Jiang, H.; Xiao, Y.; Haung, L. Physical layer security improvement for hybrid RIS-assisted MIMO communications. IEEE Commun. Lett. 2024, 28, 2493–2497. [Google Scholar] [CrossRef]
- Ma, Z.; Ai, B.; He, R.; Mi, H.; Yang, M.; Wang, N. Modeling and analysis of MIMO multipath channels with aerial intelligent reflecting surface. IEEE J. Sel. Areas. Commun. 2022, 40, 3027–3040. [Google Scholar] [CrossRef]
- Basar, E.; Renzo, M.D.; Rosny, J.D.; Debbah, M.; Alouini, M.; Zhang, R. Wireless communications through reconfigurable intelligent surfaces. IEEE Access 2019, 7, 116753–116773. [Google Scholar] [CrossRef]
- Huang, C.; He, R.; Ai, B.; Li, G.Y.; Zhong, Z. RIS-enhanced wideband coverage: A geometric channel modeling approach. IEEE J. Sel. Areas. Commun. 2022, 40, 1967–1981. [Google Scholar]
- Cheng, L.; Yu, Z.; Yang, L.; Chen, B.; Zhong, Z. Millimeter-wave V2V channel modeling with cluster dynamics. IEEE Trans. Intell. Transp. Syst. 2021, 22, 6813–6827. [Google Scholar]
- Hu, S.; Yuen, C.; Renzo, M.D.; Shi, Y. Dynamic RIS configuration for mobile users: A deep reinforcement learning approach. IEEE Trans. Commun. 2022, 70, 1905–1918. [Google Scholar]
- Chen, Z.; Huang, L.; So, H.C.; Jiang, H.; Zhang, X.; Wang, J. Deep reinforcement learning over RIS-assisted integrated sensing and communication: Challenges and opportunities. IEEE Veh. Technol. Mag. 2024. early access. [Google Scholar] [CrossRef]
- Chu, H.; Yang, M.; Pan, X.; Ge, X. Joint active and passive beamforming design for hybrid RIS-aided integrated sensing and communication. China Commun. 2024, 21, 1–12. [Google Scholar]
- Chu, H.; Pan, X.; Jiang, J.; Li, X.; Zheng, L. Adaptive and robust channel estimation for IRS-aided millimeter-wave communications. IEEE Trans. Veh. Technol. 2024, 73, 9411–9423. [Google Scholar] [CrossRef]
- Lian, Z.; Wang, Y.; Su, Y.; Ji, P. A novel beam channel model and capacity analysis for UAV-enabled millimeter-wave communication systems. IEEE Trans. Wirel. Commun. 2024, 23, 3617–3632. [Google Scholar] [CrossRef]
- Yuan, Y.; Wang, C.; Yang, Y.; Li, Y.; Ge, X. 3D geometry-based vehicle-to-vehicle channel modeling with dual mobility. IEEE Trans. Veh. Technol. 2020, 69, 8329–8343. [Google Scholar]
- Gershman, A.B.; Sanguinetti, L.; Debbah, M.; Fischione, C. MIMO systems for vehicle-to-vehicle communications. IEEE Commun. Mag. 2016, 54, 98–105. [Google Scholar]
- Ruan, C.; Zhang, Z.; Jiang, H.; Zhang, H.; Dang, J.; Wu, L. Simplified learned approximate message passing network for beamspace channel estimation in mmWave massive MIMO systems. IEEE Trans. Wirel. Commun. 2024, 23, 5142–5156. [Google Scholar] [CrossRef]
- Wang, J.; Xiao, J.; Zou, Y.; Xie, W.; Liu, Y. Wideband beamforming for RIS assisted near-field communications. IEEE Trans. Wirel. Commun. 2024, 23, 16836–16851. [Google Scholar] [CrossRef]
- Yang, N.; Jiang, H.; Guo, D.; Liu, Y.; Ding, G.; Chen, Z. Proof of reputation: A blockchain-based countermeasure to defend against massive SSDF in cognitive radio networks. IEEE Commun. Lett. 2024, 28, 2693–2697. [Google Scholar] [CrossRef]
- Zhang, J.; Zhang, S.; Zhang, Y.; Yuen, C.; Zhang, W.; Guan, Y. Dynamic port selection in fluid antenna systems for mobile communications. IEEE Trans. Veh. Technol. 2021, 70, 6345–6359. [Google Scholar]
- Zeng, L.; Liao, X.; Xie, W.; Ma, Z.; Xiong, B.; Jiang, H. UAV-to-ground channel modeling: (Quasi-)Closed-form channel statistics and manual parameter estimation. China. Commun. 2024, 21, 100–115. [Google Scholar] [CrossRef]
- Jiang, H.; Xiong, B.; Zhang, H.; Basar, E. Physics-based 3D end-to-end modeling for double-RIS assisted non-stationary UAV-to-ground communication channels. IEEE Trans. Commun. 2023, 71, 4247–4261. [Google Scholar] [CrossRef]
- Lian, Z.; Jiang, L.; He, C.; He, D. A non-stationary 3-D wideband GBSM for HAP-MIMO communication systems. IEEE Trans. Veh. Technol. 2019, 68, 1128–1139. [Google Scholar] [CrossRef]
- Mao, K.; Zhu, Q.; Qiu, Y.; Liu, X.; Song, M.; Fan, W. A UAV-aided real-time channel sounder for highly dynamic nonstationary A2G scenarios. IEEE Trans. Instrum. Meas. 2023, 72, 1–15. [Google Scholar] [CrossRef]
- Sun, G.; He, R.; Ma, Z.; Ai, B.; Zhong, Z. A 3D geometry-based non-stationary MIMO channel model for RIS-assisted communications. In Proceedings of the IEEE VTC2021-Fall, Norman, OK, USA, 27–30 September 2021; pp. 1–5. [Google Scholar]











Disclaimer/Publisher’s Note: The statements, opinions and data contained in all publications are solely those of the individual author(s) and contributor(s) and not of MDPI and/or the editor(s). MDPI and/or the editor(s) disclaim responsibility for any injury to people or property resulting from any ideas, methods, instructions or products referred to in the content. |
© 2025 by the authors. Licensee MDPI, Basel, Switzerland. This article is an open access article distributed under the terms and conditions of the Creative Commons Attribution (CC BY) license (https://creativecommons.org/licenses/by/4.0/).
Share and Cite
Pei, Z.; Zhou, B.; Zhou, J. Modeling and Analysis of Vehicle-to-Vehicle Fluid Antenna Communication Systems Aided by RIS. Electronics 2025, 14, 2804. https://doi.org/10.3390/electronics14142804
Pei Z, Zhou B, Zhou J. Modeling and Analysis of Vehicle-to-Vehicle Fluid Antenna Communication Systems Aided by RIS. Electronics. 2025; 14(14):2804. https://doi.org/10.3390/electronics14142804
Chicago/Turabian StylePei, Zhiyuan, Beiping Zhou, and Jie Zhou. 2025. "Modeling and Analysis of Vehicle-to-Vehicle Fluid Antenna Communication Systems Aided by RIS" Electronics 14, no. 14: 2804. https://doi.org/10.3390/electronics14142804
APA StylePei, Z., Zhou, B., & Zhou, J. (2025). Modeling and Analysis of Vehicle-to-Vehicle Fluid Antenna Communication Systems Aided by RIS. Electronics, 14(14), 2804. https://doi.org/10.3390/electronics14142804
