Self-Calibrating STAP Algorithm for Dictionary Dimensionality Reduction Based on Sparse Bayesian Learning
Abstract
1. Introduction
2. Signal Modeling
2.1. STAP Signal Model
2.2. SR-STAP Theory and Off-Grid Problem
3. Improved Algorithm
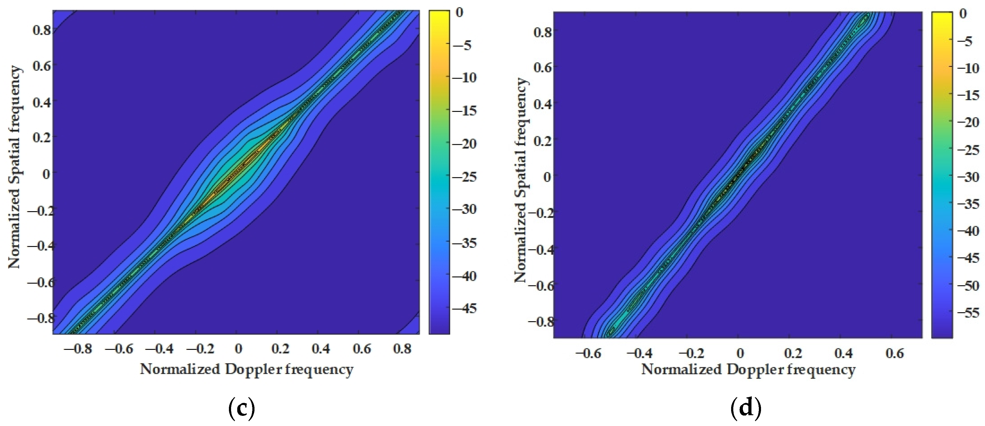
3.1. Dimensionality Reduction
3.2. Auxiliary Dictionary Correction Methods
3.3. Sparse Bayesian Learning
3.4. STAP Filter Weight Calculation
| Algorithm 1 Proposed RD-SBL-STAP algorithm. |
| Initialization: |
| Dictionary descent definition: |
| Auxiliary dictionary update: |
| Repeat the following iterations until the condition given in the last line is met: |
| Update the data covariance matrix by |
| Update the mean of the posterior distribution of sparse coefficients by |
| Update the covariance matrix of the posterior distribution of sparse coefficients by |
| Update the hyperparameters by , where |
| Update the hyperparameters by |
| Update the noise power by |
| Iteration termination condition: |
4. Analysis of Simulation Results
4.1. Clutter Power Spectrum Analysis
4.2. Output Signal-To-Noise Ratio Loss Analysis
4.3. Target Detection Performance Analysis
4.4. Computational Complexity Analysis
5. Conclusions
Author Contributions
Funding
Data Availability Statement
Conflicts of Interest
References
- Brennan, L.E.; Reed, L. Theory of adaptive radar. IEEE Trans. Aerosp. Electron. Syst. 1973, AES-9, 237–252. [Google Scholar] [CrossRef]
- Duan, K.; Xu, H.; Yuan, H.; Xie, H.; Wang, Y. Reduced-DOF three-dimensional STAP via subarray synthesis for nonsidelooking planar array airborne radar. IEEE Trans. Aerosp. Electron. Syst. 2019, 56, 3311–3325. [Google Scholar] [CrossRef]
- Guerci, J.R. Space-Time Adaptive Processing for Radar; Artech House: Norwood, MA, USA, 2014. [Google Scholar]
- Klemm, R. Principles of Space-Time Adaptive Processing; IET: London, UK, 2002. [Google Scholar]
- Goldstein, J.S.; Reed, I.S. Reduced-rank adaptive filtering. Trans. Signal Process. 1997, 45, 492–496. [Google Scholar] [CrossRef]
- Goldstein, J.S.; Reed, I.S.; Zulch, P.A. Multistage partially adaptive STAP CFAR detection algorithm. IEEE Trans. Aerosp. Electron. Syst. 1999, 35, 645–661. [Google Scholar] [CrossRef]
- Tong, Y.; Wang, T.; Wu, J. Improving EFA-STAP performance using persymmetric covariance matrix estimation. IEEE Trans. Aerosp. Electron. Syst. 2015, 51, 924–936. [Google Scholar] [CrossRef]
- Wei, Z.; Zishu, H.; Huiyong, L.; Jun, L.; Xiang, D. Beam-space reduced-dimension space-time adaptive processing for airborne radar in sample starved heterogeneous environments. IET Radar Sonar Navig. 2016, 10, 1627–1634. [Google Scholar] [CrossRef]
- Cristallini, D.; Burger, W. A robust direct data domain approach for STAP. IEEE Trans. Signal Process. 2011, 60, 1283–1294. [Google Scholar] [CrossRef]
- Sarkar, T.K.; Wang, H.; Park, S.; Adve, R.; Koh, J.; Kim, K.; Zhang, Y.; Wicks, M.C.; Brown, R.D. A deterministic least-squares approach to space-time adaptive processing (STAP). IEEE Trans. Antennas Propag. 2001, 49, 91–103. [Google Scholar] [CrossRef]
- Melvin, W.L.; Showman, G.A. An approach to knowledge-aided covariance estimation. IEEE Trans. Aerosp. Electron. Syst. 2006, 42, 1021–1042. [Google Scholar] [CrossRef]
- Stoica, P.; Li, J.; Zhu, X.; Guerci, J.R. On using a priori knowledge in space-time adaptive processing. IEEE Trans. Signal Process. 2008, 56, 2598–2602. [Google Scholar] [CrossRef]
- Mallat, S.G.; Zhang, Z. Matching pursuits with time-frequency dictionaries. IEEE Trans. Signal Process. 1993, 41, 3397–3415. [Google Scholar] [CrossRef]
- Pati, Y.C.; Rezaiifar, R.; Krishnaprasad, P.S. Orthogonal matching pursuit: Recursive function approximation with applications to wavelet decomposition. In Proceedings of the 27th Asilomar Conference on Signals, Systems and Computers, Pacific Grove, CA, USA, 1–3 November 1993; pp. 40–44. [Google Scholar]
- Candes, E.J.; Wakin, M.B.; Boyd, S.P. Enhancing sparsity by reweighted ℓ 1 minimization. J. Fourier Anal. Appl. 2008, 14, 877–905. [Google Scholar] [CrossRef]
- Chartrand, R.; Yin, W. Iteratively reweighted algorithms for compressive sensing. In Proceedings of the 2008 IEEE International Conference on Acoustics, Speech and Signal Processing, Las Vegas, NV, USA, 31 March–4 April 2008; pp. 3869–3872. [Google Scholar]
- Zhang, Y.X.; Jin, Y.X.; Chen, S.J.; Wu, Y.Q.; Hao, C.P. A Robust STAP Algorithm Using Two Prior Knowledge. J. Signal Process. 2022, 38, 1367–1379. [Google Scholar]
- Zhang, S.; Wang, T.; Liu, C.; Wang, D. A space-time adaptive processing method based on sparse Bayesian learning for maneuvering airborne radar. Sensors 2022, 22, 5479. [Google Scholar] [CrossRef]
- Yuan, H.; Xu, H.; Duan, K.; Xie, W.; Liu, W.; Wang, Y. Sparse Bayesian Learning-Based Space-Time Adaptive Processing With Off-Grid Self-Calibration for Airborne Radar. IEEE Access 2018, 6, 47296–47307. [Google Scholar] [CrossRef]
- Sun, K.; Meng, H.; Wang, Y.; Wang, X. Direct data domain STAP using sparse representation of clutter spectrum. Signal Process. 2011, 91, 2222–2236. [Google Scholar] [CrossRef]
- Sun, K.; Zhang, H.; Li, G.; Meng, H.; Wang, X. A novel STAP algorithm using sparse recovery technique. In Proceedings of the 2009 IEEE International Geoscience and Remote Sensing Symposium, Cape Town, South Africa, 12–17 July 2009; pp. V-336–V-339. [Google Scholar]
- Duan, K.; Wang, Z.; Xie, W.; Chen, H.; Wang, Y. Sparsity-based STAP algorithm with multiple measurement vectors via sparse Bayesian learning strategy for airborne radar. IET Signal Process. 2017, 11, 544–553. [Google Scholar] [CrossRef]
- Li, Z.; Zhang, Y.; He, X.; Guo, Y. Low-Complexity Off-Grid STAP Algorithm Based on Local Search Clutter Subspace Estimation. IEEE Geosci. Remote Sens. Lett. 2018, 15, 1862–1866. [Google Scholar] [CrossRef]
- Li, Z.Y.; Wang, T. Spare Bayesian learning-based robust STAP algorithm. Syst. Eng. Electron. 2023, 45, 3032–3040. [Google Scholar]
- Xu, L.; Cheng, L.; Wong, N.; Wu, Y.-C.; Poor, H.V. Overcoming Beam Squint in Dual-Wideband mmWave MIMO Channel Estimation: A Bayesian Multi-Band Sparsity Approach. arXiv 2023, arXiv:2306.11149. [Google Scholar]
- Reed, I.S.; Mallett, J.D.; Brennan, L.E. Rapid convergence rate in adaptive arrays. IEEE Trans. Aerosp. Electron. Syst. 1974, AES-10, 853–863. [Google Scholar] [CrossRef]
- Yan, X. Research on Sparse STAP Method for Clutter and Interference Suppression of Airborne Radar. Master’s Thesis, Xidian University, Xi’an, China, 2022. [Google Scholar]
- Wang, Q.; Yu, H.; Li, J.; Ji, F.; Chen, F. Sparse Bayesian Learning Using Generalized Double Pareto Prior for DOA Estimation. IEEE Signal Process. Lett. 2021, 28, 1744–1748. [Google Scholar] [CrossRef]
- Tipping, M.E. Sparse Bayesian learning and the relevance vector machine. J. Mach. Learn. Res. 2001, 1, 211–244. [Google Scholar]
- Wipf, D.P.; Rao, B.D. An empirical Bayesian strategy for solving the simultaneous sparse approximation problem. IEEE Trans. Signal Process. 2007, 55, 3704–3716. [Google Scholar] [CrossRef]
- Cheng, L.; Chen, Z.; Shi, Q.; Wu, Y.-C.; Theodoridis, S. Towards flexible sparsity-aware modeling: Automatic tensor rank learning using the generalized hyperbolic prior. IEEE Trans. Signal Process. 2022, 70, 1834–1849. [Google Scholar] [CrossRef]
- Giri, R.; Rao, B. Type I and type II Bayesian methods for sparse signal recovery using scale mixtures. IEEE Trans. Signal Process. 2016, 64, 3418–3428. [Google Scholar] [CrossRef]
- Wipf, D.P.; Rao, B.D.; Nagarajan, S. Latent variable Bayesian models for promoting sparsity. IEEE Trans. Inf. Theory 2011, 57, 6236–6255. [Google Scholar] [CrossRef]
- Yang, Z.; Li, X.; Wang, H.; Jiang, W. On clutter sparsity analysis in space–time adaptive processing airborne radar. IEEE Geosci. Remote Sens. Lett. 2013, 10, 1214–1218. [Google Scholar] [CrossRef]
- Sun, Y.; Yang, X.; Long, T.; Sarkar, T.K. Robust sparse Bayesian learning STAP method for discrete interference suppression in nonhomogeneous clutter. In Proceedings of the 2017 IEEE Radar Conference (RadarConf), Seattle, WA, USA, 8–12 May 2017; pp. 1003–1008. [Google Scholar]










| Parameter | Value |
|---|---|
| Antenna array type | Uniform linear array for side-looking |
| Number of array elements | 10 |
| Number of pulses sent in one CPI | 10 |
| Array element spacing (m) | 0.15 |
| Wavelength (m) | 0.3 |
| Aircraft speed (m/s) | 240 |
| Aircraft altitude (m) | 3000 |
| Pulse repetition frequency (Hz) | 4000 |
| Algorithm | Complex Multiplier |
|---|---|
| SR-STAP | |
| SBL-STAP-OS | |
| RSBL-STAP | |
| RD-SBL-STAP |
Disclaimer/Publisher’s Note: The statements, opinions and data contained in all publications are solely those of the individual author(s) and contributor(s) and not of MDPI and/or the editor(s). MDPI and/or the editor(s) disclaim responsibility for any injury to people or property resulting from any ideas, methods, instructions or products referred to in the content. |
© 2025 by the authors. Licensee MDPI, Basel, Switzerland. This article is an open access article distributed under the terms and conditions of the Creative Commons Attribution (CC BY) license (https://creativecommons.org/licenses/by/4.0/).
Share and Cite
Gao, Z.; Yang, N.; Huang, P.; Xu, W.; Tan, W.; Wu, Z. Self-Calibrating STAP Algorithm for Dictionary Dimensionality Reduction Based on Sparse Bayesian Learning. Electronics 2025, 14, 2350. https://doi.org/10.3390/electronics14122350
Gao Z, Yang N, Huang P, Xu W, Tan W, Wu Z. Self-Calibrating STAP Algorithm for Dictionary Dimensionality Reduction Based on Sparse Bayesian Learning. Electronics. 2025; 14(12):2350. https://doi.org/10.3390/electronics14122350
Chicago/Turabian StyleGao, Zhiqi, Na Yang, Pingping Huang, Wei Xu, Weixian Tan, and Zhixia Wu. 2025. "Self-Calibrating STAP Algorithm for Dictionary Dimensionality Reduction Based on Sparse Bayesian Learning" Electronics 14, no. 12: 2350. https://doi.org/10.3390/electronics14122350
APA StyleGao, Z., Yang, N., Huang, P., Xu, W., Tan, W., & Wu, Z. (2025). Self-Calibrating STAP Algorithm for Dictionary Dimensionality Reduction Based on Sparse Bayesian Learning. Electronics, 14(12), 2350. https://doi.org/10.3390/electronics14122350

