Insulation Defect Diagnosis Using a Random Forest Algorithm with Optimized Feature Selection in a Gas-Insulated Line Breaker
Abstract
1. Introduction
2. PD Simulation Experimental Setup and Method
2.1. PD Simulation Test Setup
2.2. Random Forest (RF) Algorithm
- The number of estimators N:
- 2.
- The maximum depth of decision trees D:
- 3.
- The minimum number of samples per split:
3. Statistical PD Feature Extraction
3.1. Time-Domain Features
- Rising time (Tr, RT): time durations increase from 10% to 90% of peak magnitudes.
- Falling time (Tf, FT): time durations decrease from 90% to 10% of peak magnitudes.
- Pulse width (Tw, PW): time durations between 50% of peak magnitudes.
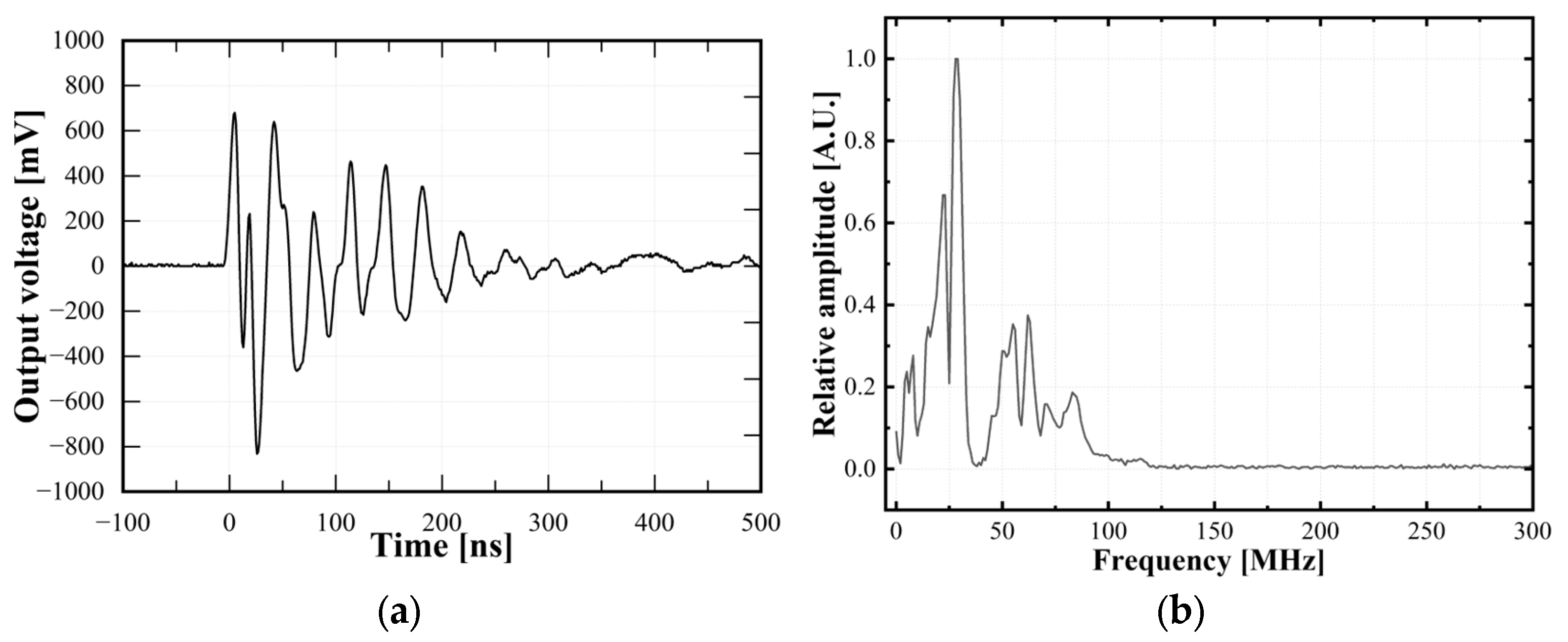
3.2. Frequency-Domain Features
- First peak frequency (1st Pk): the frequency at the highest FFT spectral magnitude
- Second peak frequency (2nd Pk): the frequency at the second highest FFT spectral magnitude
3.3. Physical Shape-Domain Features
3.4. Phase Distribution-Domain Features
4. Insulation Defect Recognition Using Random Forest Algorithm
4.1. Feature Extraction
4.2. PD Defect Recognition
5. Conclusions
Author Contributions
Funding
Data Availability Statement
Conflicts of Interest
References
- Zachariades, C.; Shuttleworth, R.; Giussani, R. A Dual-Slot Barrier Sensor for Partial Discharge Detection in Gas-Insulated Equipment. IEEE Sensors J. 2020, 20, 860–867. [Google Scholar] [CrossRef]
- Fang, Y.; Fang, J.; Cui, Z.; Mao, S.; Zhang, G.; Li, G.; Zhang, X. Discharge Characteristics of Typical Defects in GIS Based on Electro-Thermal Coupling. IEEE Trans. Dielectr. Electr. Insul. 2025, 32, 561–570. [Google Scholar] [CrossRef]
- Thi, N.-D.T.; Do, T.-D.; Jung, J.-R.; Jo, H.; Kim, Y.-H. Anomaly Detection for Partial Discharge in Gas-Insulated Switchgears Using Autoencoder. IEEE Access 2020, 8, 152248–152257. [Google Scholar] [CrossRef]
- Chang, Y.; Liu, Z.; Li, Q.; Xue, N.; Wang, J.; Hadad, M. Capture Mechanism and Optimal Design of Micro-Particle Traps in HVAC/HVDC Gas Insulated Equipment. IEEE Trans. Power Deliv. 2022, 37, 4700–4710. [Google Scholar]
- Azam, S.M.K.; Chan, J.Q.; Othman, M.; Raymond, W.J.K.; Illias, H.A.; Latef, T.A.; Hossain, A.K.M.Z.; Vettikalladi, H.; Almuhlafi, A.M.; Himdi, M.; et al. Electromagnetic Characteristics Interpretation of Partial Discharge Phenomena at Variable Distance in High-Voltage Systems. IEEE Access 2024, 12, 127718–127730. [Google Scholar] [CrossRef]
- Shin, G.-C.; Kim, S.-W.; Kil, G.-S. Comparison between the PD Characteristics of g3 and Dry Air for Gas-Insulated Switchgears. Energies 2022, 15, 7043. [Google Scholar] [CrossRef]
- IEC 60270; High Voltage Test Techniques–Partial Discharge Measurements. International Electrotechnical Commission: Geneva, Switzerland, 2000.
- IEC TS 62478; High Voltage Test Techniques–Measurement of Partial Discharges by Electromagnetic and Acoustic Methods. International Electrotechnical Commission: Geneva, Switzerland, 2016.
- Kreuger, F.H. Partial Discharge Detection in High-voltage Equipment; Butterworths: Carlisle, UK, 1989; pp. 129–152. [Google Scholar]
- Wu, M.; Cao, H.; Cao, J.; Nguyen, H.-L.; Gomes, J.B.; Krishnaswamy, S.P. Krishnaswamy, An overview of state-of-the-art partial discharge analysis techniques for condition monitoring. IEEE Elect. Insul. Mag. 2015, 31, 22–35. [Google Scholar] [CrossRef]
- Gulski, E.; Koltunowicz, W.; Ariaans, T.; Behrmann, G.; Jongen, R.; Garnacho, F.; Kornhuber, S.; Ohtsuka, S.; Petzold, F.; Sánchez-Urán, M.A.; et al. Guidelines for Partial Discharge Detection using Conventional (IEC60270) and Unconventional Methods; CIGRE WG D1.37; CIGRE: Paris, France, 2016; p. 288. [Google Scholar]
- Kil, G.-S.; Kim, I.K.; Park, D.-W.; Choi, S.-Y.; Park, C.-Y. Park, Measurements and analysis of the acoustic signals produced by partial discharges in insulation oil. Curr. Appl. Phys. 2009, 9, 296–300. [Google Scholar] [CrossRef]
- Ilkhechik, H.D.; Samimi, M.H. Applications of the Acoustic Method in Partial Discharge Measurement: A Review. IEEE Trans. Dielectr. Electr. Insul. 2021, 28, 42–51. [Google Scholar] [CrossRef]
- Kim, S.-W.; Kim, N.-H.; Kim, D.-E.; Kim, T.-H.; Jeong, D.-H.; Chung, Y.-H.; Kil, G.-S. Experimental Validation for Moving Particle Detection Using Acoustic Emission Method. Energies 2021, 14, 8516. [Google Scholar] [CrossRef]
- Mondal, M.; Kumbhar, G. Partial Discharge Localization in a Power Transformer: Methods, Trends, and Future Research. IETE Tech. Rev. 2019, 34, 504–513. [Google Scholar] [CrossRef]
- CIGRE WG D1.33. High-Voltage On-Site Testing with Partial Discharge Measurement. Electra 2012, 262, 83–93. [Google Scholar]
- Imburgia, A.; Di Fatta, A.; Romano, P.; Rizzo, G.; Vigni, V.L.; Ala, G. A Study on Partial Discharges Pattern Recognition Under DC Voltage Through Clustering Algorithms and Cross Correlation Filter. IEEE Trans. Dielectr. Electr. Insul. 2023, 30, 2543–2550. [Google Scholar] [CrossRef]
- Wang, L.; Cavallini, A.; Montanari, G.C.; Testa, L. Evolution of PD Patterns in Polyethylene Insulation Cavities under AC Voltage. IEEE Trans. Dielectr. Electr. Insul. 2012, 19, 533–542. [Google Scholar] [CrossRef]
- Fan, X.; Luo, H.; Liang, F.; Ma, T.; Hu, J.; Li, C.; He, J. Feature Fusion of Pulse Current, Ultrahigh Frequency, and Photon Count Signal: A Novel Discharge Pattern Recognition Method of Metal Particles in GIS/GIL. IEEE Sensors J. 2024, 24, 36979–36986. [Google Scholar] [CrossRef]
- Kim, S.-W. Identification of Partial Discharge Defect Detection in Cast-Resin Power Transformers Using Back-Propagation Algorithm. J. Inf. Commun. Converg. Eng. 2024, 22, 231–236. [Google Scholar] [CrossRef]
- Kim, S.-W.; Jung, J.-R.; Kim, Y.-M.; Kil, G.-S.; Wang, G. New Diagnosis Method of Unknown Phase-shifted PD Signals for Gas Insulated Switchgears. IEEE Trans. Dielectr. Electr. Insul. 2018, 25, 102–109. [Google Scholar] [CrossRef]
- Lee, J.-H.; Hozumi, N.; Okamoto, T. Discrimination of phase-shifted partial discharge patterns by neural network using standardization method. In Proceedings of the 1994 IEEE International Symposium on Electrical Insulation, Pittsburgh, PA, USA, 5–8 June 1994. [Google Scholar]
- Sun, S.; Sun, Y.; Xu, G.; Zhang, L.; Hu, Y.; Liu, P. Partial Discharge Pattern Recognition of Transformers Based on the Gray-Level Co-Occurrence Matrix of Optimal Parameters. IEEE Access 2021, 9, 102422–102432. [Google Scholar] [CrossRef]
- Kartojo, I.H.; Wang, Y.-B.; Zhang, G.-J. Suwarno, Partial Discharge Defect Recognition in Power Transformer using Random Forest. In Proceedings of the 2019 IEEE 20th International Conference on Dielectric Liquids (ICDL), Roma, Italy, 23–27 June 2019. [Google Scholar]
- Jing, Q.; Yan, J.; Wang, Y.; He, R.; Lu, L. A novel differentiable neural network architecture automatic search method for GIS partial discharge pattern recognition. Measurement 2022, 195, 111154. [Google Scholar] [CrossRef]
- Wang, Y.; Yan, J.; Yang, Z.; Jing, Q.; Wang, J.; Geng, Y. GAN and CNN for imbalanced partial discharge patterner cognition in GIS. High Volt. 2022, 7, 452–460. [Google Scholar] [CrossRef]
- Wang, Z.; Liu, Z.; Qiao, L.; Qian, D.; Chen, Z.; Gao, C.; Wang, W. Research on partial discharge pattern recognition in GIS based on EFPI sensor. J. Electr. Eng. Technol. 2024, 19, 577–584. [Google Scholar] [CrossRef]
- Yin, K.; Wang, Y.; Liu, S.; Li, P.; Xue, Y.; Li, B.; Dai, K. GIS Partial Discharge Pattern Recognition Based on Multi-Feature Information Fusion of PRPD Image. Symmetry 2022, 14, 2464. [Google Scholar] [CrossRef]
- Yao, R.; Li, J.; Hui, M.; Bai, L.; Wu, Q. Feature selection based on random forest for partial discharges characteristic set. IEEE Access 2020, 8, 159151–159161. [Google Scholar] [CrossRef]
- Peng, X.; Li, J.-S.; Wang, G.; Wu, Y.; Li, L.; Li, Z.; Bhatti, A.A.; Zhou, C.; Hepburn, D.M.; Reid, A.J.; et al. Random Forest Based Optimal Feature Selection for Partial Discharge Pattern Recognition in HV Cables. IEEE Trans. Dielectr. Electr. Insul. 2019, 34, 1715–1724. [Google Scholar] [CrossRef]
- Govindarajan, S.; Ardila-Rey, J.A.; Krithivasan, K.; Subbaiah, J.; Sannidhi, N.; Balasubramanian, M. Development of Hypergraph Based Improved Random Forest Algorithm for Partial Discharge Pattern Classification. IEEE Access 2021, 9, 96–109. [Google Scholar] [CrossRef]
- Selvan, K.T. A Revisiting of Scientific and Philosophical Perspectives on Maxwell’s Displacement Current. IEEE Antennas Propag. Mag. 2009, 51, 36–46. [Google Scholar] [CrossRef]
- Lee, G.-Y.; Kim, N.-H.; Kim, D.-E.; Kil, G.-S.; Kim, S.-W. The Design, Fabrication, and Evaluation of a Phase-Resolved Partial Discharge Sensor Embedded in a MV-Class Bushing. Sensors 2023, 23, 9844. [Google Scholar] [CrossRef]
- Shahsavarian, T.; Pan, Y.; Zhang, Z.; Pan, C.; Naderiallaf, H.; Guo, J.; Li, C.; Cao, Y. A Review of Knowledge-Based Defect Identification via PRPD Patterns in High Voltage Apparatus. IEEE Access 2021, 9, 77705–77728. [Google Scholar] [CrossRef]
- Li, X.; Liu, W.; Xu, Y.; Ding, D. Partial Discharge and Movement Characteristics of Micron-sized Metal Particles on Insulator Surface in Gas-Insulated Switchgear with Long-time AC Stress. IEEE Trans. Dielectr. Electr. Insul. 2021, 28, 2152–2160. [Google Scholar] [CrossRef]
- Wang, G.; Kim, W.-H.; Kil, G.-S.; Kim, S.-W.; Jung, J.-R. Green Gas for a Grid as An Eco-Friendly Alternative Insulation Gas to SF6: From the Perspective of Partial Discharge Under AC. Appl. Sci. 2019, 9, 651. [Google Scholar] [CrossRef]
- Illias, H.; Yuan, T.S.; Baker, A.H.A.; Mokhlis, H.; Chen, G.; Lewin, P.L. Partial Discharge Patterns in High Voltage Insulation. In Proceedings of the 2012 IEEE International Conference on Power and Energy (PECon), Kota Kinabalu Sabah, Malaysia, 2–5 December 2012. [Google Scholar]
- Mansour, D.-E.A.; Taha, I.B.; Farade, R.A.; Wahab, N.I.B.A. Partial Discharge Diagnosis in GIS based on Pulse Sequence Features and Optimized Machine Learning Classification Techniques. Electr. Power Syst. Res. 2022, 211, 108162. [Google Scholar] [CrossRef]
- Li, C.; Peng, X.; Wang, H.; Chen, Y.; Ling, P.; Liu, T.; Zhang, Y.; Zhou, J. Dynamic Partial Discharge Characteristics of Generator Stator Bar with Four Typical Defects. IEEE Trans. Dielectr. Electr. Insul. 2025, 32, 494–503. [Google Scholar] [CrossRef]
- Mansour, D.-E.A.; Kojima, H.; Hayakawa, N.; Hanai, M.; Okubo, H. Physical mechanisms of partial discharges at nitrogen filled delamination in epoxy cast resin power apparatus. IEEE Trans. Dielectr. Electr. Insul. 2013, 20, 454–461. [Google Scholar] [CrossRef]
- Su, M.-S.; Chia, C.-C.; Chen, C.-Y.; Chen, J.-F. Classification of partial discharge events in GILBS using probabilistic neural networks and the fuzzy c-means clustering approach. Int. J. Electr. Power Energy Syst. 2014, 16, 173–179. [Google Scholar] [CrossRef]
- Ogliari, E.; Sakwa, M.; Wei, J.; Liu, W.; Schubert, B.; Palo, M. General Machine Learning-Based Approach to Pulse Classification for Separation of Partial Discharges and Interference. IEEE Sensors J. 2023, 23, 26839–26849. [Google Scholar] [CrossRef]
- Breiman, L. Random Forests. Mach. Learn. 2001, 45, 5–32. [Google Scholar] [CrossRef]
- Hussein, R.; Shaban, K.B.; El-Hag, A.H. Robust Feature Extraction and Classification of Acoustic Partial Discharge Signals Corrupted with Noise. IEEE Trans. Instrum. Meas. 2017, 66, 405–413. [Google Scholar] [CrossRef]
- Dai, B.; Gu, C.; Zhao, E.; Qin, X. Statistical model optimized random forest regression model for concrete dam deformation monitoring. Struct. Contr. Health Monit. 2018, 25, e2170. [Google Scholar] [CrossRef]
- Basha, G.A.; Gupta, K.L. Ramakrishna, Expectation of Radar Returns from Ionosphere Using Decision Tree Technique. In Advances in Data Science and Management, 1st ed.; Borah, S., Balas, V.E., Polkowski, Z., Eds.; Springer: Singapore, Singapore, 2020; pp. 209–214. [Google Scholar]
- Juhn, M.; Johnson, K. Applied Predictive Modeling, 1st ed.; Springer: New York, NY, USA, 2013; pp. 173–220. [Google Scholar]
- Chang, E.; Zavarin, M.; Beverly, L.; Wainwright, H. A chemistry-informed hybrid machine learning approach to predict metal adsorption onto mineral surfaces. Appl. Geochem. 2023, 155, 105731. [Google Scholar] [CrossRef]
- Liu, C.H.B.; Chamberlain, B.P.; Little, D.A.; Cardoso, A. Generalising random forest parameter optimisation to include stability and cost. In Proceedings of the Machine Learning and Knowledge Discovery in Databases: European Conference, Skopje, Macedonia, 18–22 September 2017. [Google Scholar]
- Hastie, T.; Friedman, J.; Tibshirani, R. The Elements of Statistical Learning, 1st ed.; Springer: New York, NY, USA, 2013; pp. 33–36. [Google Scholar]
- Murphy, K.P. Machine Learning: A Probabilistic Perspective, 1st ed.; MIT Press: London, UK, 2012; pp. 553–587. [Google Scholar]
- Mitchell, T.M. Machine Learning, 1st ed.; McGraw-Hill: New York, NY, USA, 1997; pp. 66–87. [Google Scholar]
- Breiman, L.; Friedman, J.; Olshen, R.; Stone, C. Classification and Regression Trees, 1st ed.; CRC Press: Boca Raton, FL, USA, 1984. [Google Scholar]
- Iorkyase, E.T.; Tachtatzis, C.; Glover, I.A.; Lazaridis, P.; Upton, D.; Saeed, B.; Atkinson, R.C. Improving RF-Based Partial Discharge Localization via Machine Learning Ensemble Method. IEEE Trans. Power Deliv. 2019, 34, 1478–1489. [Google Scholar] [CrossRef]
- Tian, J.; Song, H.; Sheng, G.; Jiang, X. Knowledge-Driven Recognition Methodology of Partial Discharge Patterns in GIS. IEEE Trans. Power Deliv. 2022, 37, 3335–3344. [Google Scholar] [CrossRef]
- Bartnikas, R. Partial Discharges: Their Mechanism, Detection and Measurement. IEEE Trans. Dielectr. Electr. Insul. 2002, 9, 763–808. [Google Scholar] [CrossRef]
- Cheng, Y.; Wang, T.; Xu, C.; Guo, Q.; Peng, G.-D. Measurement and simulation of partial discharge using optical signal based on crystal fluorescent fiber. Opt. Fiber Technol. 2024, 82, 103626. [Google Scholar] [CrossRef]
- Romano, P.; Imburgia, A.; Rizzo, G.; Ala, G.; Candela, R. A New Approach to Partial Discharge Detection Under DC Voltage Application to Different Materials. IEEE Electr. Insul. Mag. 2021, 37, 18–32. [Google Scholar] [CrossRef]
- Rostaghi-Chalaki, M.; Yousefpour, K.; Klüss, J.; Kurum, M.; Donohoe, J.P.; Park, C. Classification and comparison of AC and DC partial discharges by pulse waveform analysis. Int. J. Electr. Power Energy Syst. 2021, 125, 106518. [Google Scholar] [CrossRef]
- Cochran, W.T.; Cooley, J.W.; Favin, D.L.; Helms, H.D.; Kaenel, R.A.; Lang, W.W. What is the fast Fourier transform? Proc. IEEE 1967, 55, 1664–1674. [Google Scholar] [CrossRef]
- Rajaby, E.; Sayedi, S.M. A structured review of sparse fast Fourier transform algorithms. Digit. Signal Process. 2022, 123, 103403. [Google Scholar] [CrossRef]
- Lu, L.; Ren, W.-X.; Wang, S.-D. Fractional Fourier transform: Time-frequency representation and structural instantaneous frequency identification. Mech. Syst. Signal Process. 2022, 178, 109305. [Google Scholar] [CrossRef]
- Carvalho, I.F.; da Costa, E.G.; Nobrega, L.A.M.M.; Silva, A.D.D.C. Identification of Partial Discharge Sources by Feature Extraction from a Signal Conditioning System. Sensors 2024, 24, 2226. [Google Scholar] [CrossRef]
- Chen, Y.; Hao, Y.; Huang, T.; Xiao, J.; Hui, B.; Chen, Y. Voltage Equivalence of Partial Discharge Tests for XLPE Insulation Defects. IEEE Trans. Dielectr. Electr. Insul. 2022, 29, 683–692. [Google Scholar] [CrossRef]
- Xu, Z.; Zheng, L.; Liu, R.; Peng, C.; Zhang, Z.; Gao, P.; Liang, L.; Lei, Z. Research on Characteristics of Typical Partial Discharge Pattern in GIS Based on SiPM. In Proceedings of the 2024 IEEE 5th ICD, Toulouse, France, 30 June–4 July 2024. [Google Scholar]
- Chang, C.-K.; Chang, H.-H.; Boyanapalli, B.K. Application of Pulse Sequence Partial Discharge Based Convolutional Neural Network in Pattern Recognition for Underground Cable Joints. IEEE Trans. Dielectr. Electr. Insul. 2022, 29, 1070–1078. [Google Scholar] [CrossRef]
- Sarathi, R.; Umamaheswari, R. Understanding the partial discharge activity generated due to particle movement in a composite insulation under AC voltages. Int. J. Electr. Power Energy Syst. 2013, 48, 1–9. [Google Scholar] [CrossRef]
- Seitz, S.; Götz, T.; Lindenberg, C.; Tetzlaff, R.; Schlegel, S. Towards Generalizable Classification of Partial Discharges in Gas-Insulated HVDC Systems Using Neural Networks: Protrusions and Particle. IEEE Trans. Power Deliv. 2024, 39, 1491–1499. [Google Scholar] [CrossRef]
- Gupta, A.; Sahoo, R.; Rao, C.V.; Karmakar, S. Partial Discharge Source Classification Using Random Forest Model. In Proceedings of the 2024 IEEE International Conference on Smart Power Control and Renewable Energy (ICSPCRE), Rourkela, India, 19–21 July 2024. [Google Scholar]

















| Types of PD Defect Models | 1st Half Cycle | 2nd Half Cycle | Frequency | |||||||||
|---|---|---|---|---|---|---|---|---|---|---|---|---|
| 1-RT | 1-FT | 1-PW | 1-KUR | 1-SKE | 2-RT | 2-FT | 2-PW | 2-KUR | 2-SKE | 1st Pk | 2nd Pk | |
| FMP | 2.98 ns | 7.51 ns | 4.89 ns | −1.13 | 0.2 | 1.51 ns | 1.86 ns | 2.22 ns | −0.49 | 0.53 | 34.65 MHz | 30.42 MHz |
| POC | 7.43 ns | 7.96 ns | 6.42 ns | −0.93 | −0.41 | 7.46 ns | 7.24 ns | 8.48 ns | −1.2 | −0.21 | 34.13 MHz | 35.25 MHz |
| POE | 5.79 ns | 7.18 ns | 5.93 ns | −1.24 | −0.09 | 10.57 ns | 5.96 ns | 10.96 ns | −0.44 | −0.23 | 34.03 MHz | 30.53 MHz |
| Delamination | 25.12 ns | 37.74 ns | 39.48 ns | −1.1 | −0.01 | 21.42 ns | 36.86 ns | 38.23 ns | −1.02 | 0.06 | 8.02 MHz | 7.18 MHz |
| Types of PD Defect Models | Positive Half Cycle | Negative Half Cycle | ||||||||||||||
|---|---|---|---|---|---|---|---|---|---|---|---|---|---|---|---|---|
| PO-1 | PO-2 | PO-3 | PO-4 | PO-5 | PO-6 | PO-KUR | PO-SKE | NE-1 | NE-2 | NE-3 | NE-4 | NE-5 | NE-6 | NE-KUR | NE-SKE | |
| FMP | 5.1% | 6.3% | 10.1% | 10.5% | 9.1% | 7.6% | 7.62 | 2.62 | 5.2% | 6.5% | 10.3% | 11.2% | 10.0% | 7.7% | 7.00 | −2.51 |
| POC | 0.0% | 1.0% | 53.5% | 45.4% | 0.0% | 0.0% | 2.08 | 1.78 | - | |||||||
| POE | - | 0.0% | 0.0% | 1.7% | 43.0% | 55.3% | 0.0% | 15.44 | −3.57 | |||||||
| Delamination | 16.8% | 31.5% | 0.5% | 0.1% | 0.1% | 0.0% | 11.04 | 2.71 | 26.4% | 21.0% | 2.8% | 0.5% | 0.3% | 0.0% | 8.90 | −2.58 |
Disclaimer/Publisher’s Note: The statements, opinions and data contained in all publications are solely those of the individual author(s) and contributor(s) and not of MDPI and/or the editor(s). MDPI and/or the editor(s) disclaim responsibility for any injury to people or property resulting from any ideas, methods, instructions or products referred to in the content. |
© 2025 by the authors. Licensee MDPI, Basel, Switzerland. This article is an open access article distributed under the terms and conditions of the Creative Commons Attribution (CC BY) license (https://creativecommons.org/licenses/by/4.0/).
Share and Cite
Lee, G.-Y.; Kil, G.-S. Insulation Defect Diagnosis Using a Random Forest Algorithm with Optimized Feature Selection in a Gas-Insulated Line Breaker. Electronics 2025, 14, 1940. https://doi.org/10.3390/electronics14101940
Lee G-Y, Kil G-S. Insulation Defect Diagnosis Using a Random Forest Algorithm with Optimized Feature Selection in a Gas-Insulated Line Breaker. Electronics. 2025; 14(10):1940. https://doi.org/10.3390/electronics14101940
Chicago/Turabian StyleLee, Gyeong-Yeol, and Gyung-Suk Kil. 2025. "Insulation Defect Diagnosis Using a Random Forest Algorithm with Optimized Feature Selection in a Gas-Insulated Line Breaker" Electronics 14, no. 10: 1940. https://doi.org/10.3390/electronics14101940
APA StyleLee, G.-Y., & Kil, G.-S. (2025). Insulation Defect Diagnosis Using a Random Forest Algorithm with Optimized Feature Selection in a Gas-Insulated Line Breaker. Electronics, 14(10), 1940. https://doi.org/10.3390/electronics14101940

