Adaptive Prescribed Performance Control for Flexible-Joint Robotic Manipulators with Unknown Deadzone and Actuator Faults
Abstract
1. Introduction
- (i)
- Few previous works have considered the mixed impact of unknown input deadzone and actuator faults during the controller design for flexible-joint robotic manipulators. In this work, such a mixed impact will be taken into account during the prescribed performance adaptive backstepping neural network controller design for flexible-joint robotic manipulators.
- (ii)
- In the design process of the performance controller, a new construction scheme of the prescribed performance function is proposed, which has clearer specified attenuation performance than the existing design schemes. In our scheme, the value of the prescribed performance function remains constant after the preset time point. By contrast, in many existing results, unless the time reaches infinity, the value of the prescribed performance function cannot reach the preset value. Hence, our proposed prescribed performance function can provide clearer prescribed attenuation performance than existing ones.
- (iii)
2. Problem Formulation
3. Main Results
3.1. Smooth Inverse Model for Actuator Deadzone
3.2. Backstepping Controller Design
3.3. Convergence Analysis
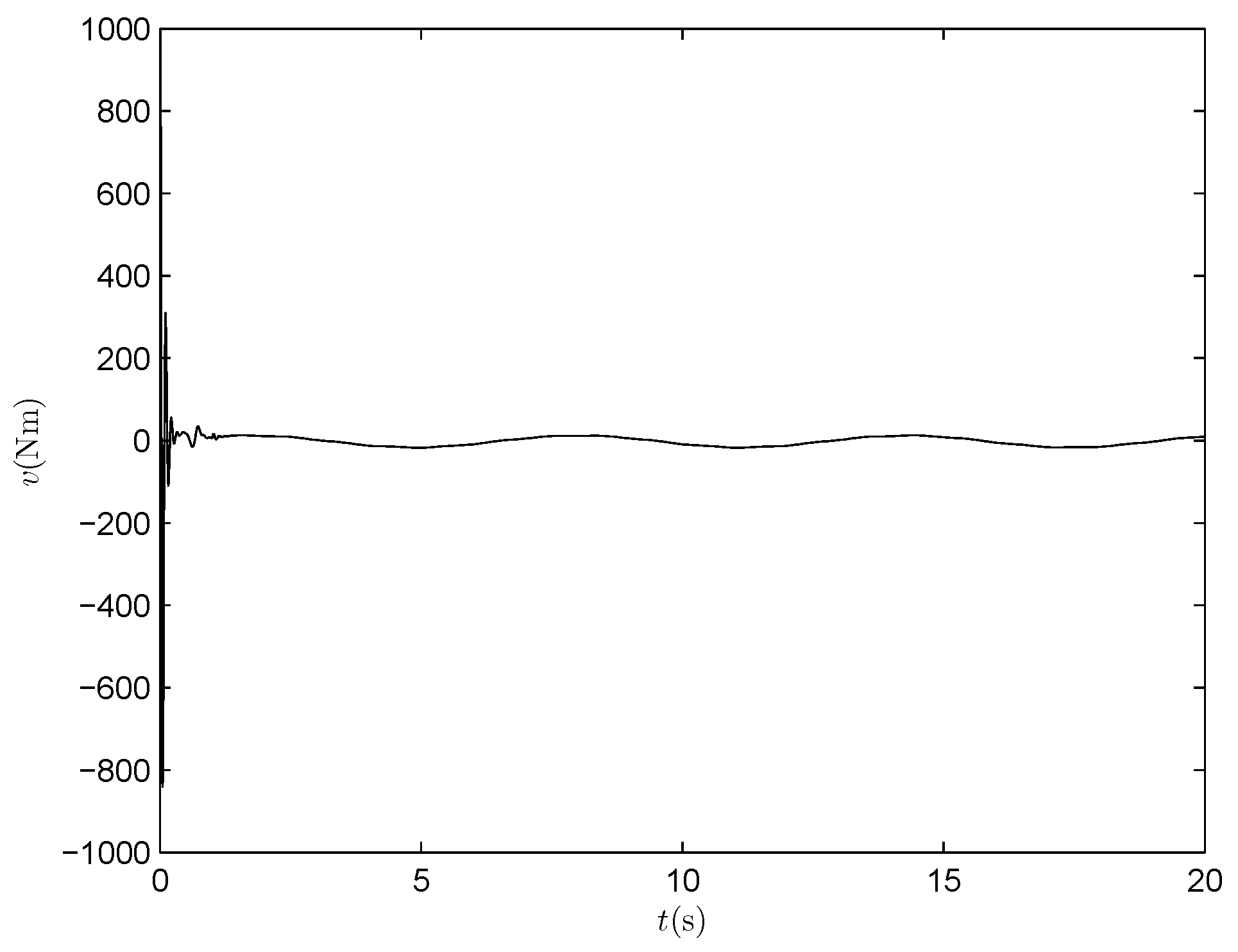
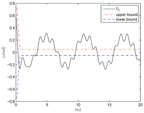
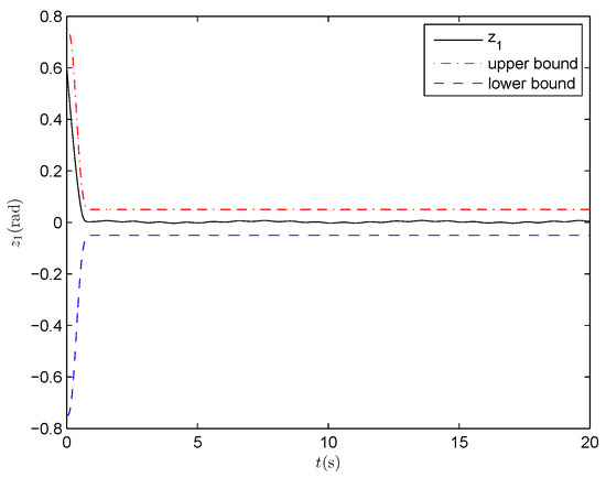
4. Numerical Simulation
5. Conclusions
Author Contributions
Funding
Data Availability Statement
Conflicts of Interest
References
- Ruderman, M. Compensation of nonlinear torsion in flexible joint robots: Comparison of two approaches. IEEE Trans. Ind. Electron. 2016, 63, 5744–5751. [Google Scholar] [CrossRef]
- Rsetam, K.; Cao, Z.; Man, Z. Design of robust terminal sliding mode control for underactuated flexible joint robot. IEEE Trans. Syst. Man Cybern. Syst. 2022, 52, 4272–4285. [Google Scholar] [CrossRef]
- Sun, L.; Yin, W.; Wang, M.; Liu, J. Position Control for Flexible Joint Robot Based on Online Gravity Compensation with Vibration Suppression. IEEE Trans. Ind. Electron. 2018, 65, 4840–4848. [Google Scholar] [CrossRef]
- Chatlatanagulchai, W.; Meckl, P.H. Model-independent control of a flexible-joint robot manipulator. J. Dyn. Syst. Meas. Control 2009, 131, 442–447. [Google Scholar] [CrossRef]
- O’Dwyer, A. A summary of PI and PID controller tuning rules for processes with time delay. Part 1: PI controller tuning rules. IFAC Proc. Vol. 2000, 33, 159–164. [Google Scholar] [CrossRef]
- Åström, K.J.; Hägglund, T. PID control. IEEE Control Syst. Mag. 2006, 26, 30–31. [Google Scholar]
- Wrat, G.; Ranjan, P.; Bhola, M.; Mishra, S.K.; Das, J. Position control and performance analysis of hydraulic system using two pump-controlling strategies. Proc. Inst. Mech. Eng. Part I J. Syst. Control Eng. 2019, 233, 1093–1105. [Google Scholar] [CrossRef]
- Tomei, P. A simple PD controller for robots with elastic joints. IEEE Trans. Autom. Control 1991, 36, 1208–1213. [Google Scholar] [CrossRef]
- De Luca, A.; Siciliano, B.; Zollo, L. P97D control with on-line gravity compensation for robots with elastic joints: Theory and experiments. Automatica 2005, 41, 1809–1819. [Google Scholar] [CrossRef]
- Dehghani, A. Self-tuning PID controller design using fuzzy logic for a single-link flexible joint robot manipulator. J. Teknol. 2016, 78, 6–13. [Google Scholar] [CrossRef]
- Alam, W.; Ali, N.; Wahaj Aziz, H.M.; Iqbal, J. Control of Flexible Joint Robotic Manipulator: Design and Prototyping. In Proceedings of the 2018 International Conference on Electrical Engineering (ICEE), Lahore, Pakistan, 15–16 February 2018; pp. 1–6. [Google Scholar]
- Cheng, X.; Zhang, Y.; Liu, H.; Wollherr, D.; Buss, M. Adaptive neural backstepping control for flexible-joint robot manipulator with bounded torque inputs. Neurocomputing 2021, 458, 70–86. [Google Scholar] [CrossRef]
- Oh, J.H.; Lee, J.S. Control of flexible joint robot system by backstepping design approach. Intell. Autom. Soft Comput. 1999, 54, 267–278. [Google Scholar] [CrossRef]
- Qi, R.; Lam, H.K.; Liu, J.; Yu, J. Adaptive fuzzy finite-time singular perturbation control for flexible joint manipulators with state constraints. IEEE Trans. Syst. Man Cybern. Syst. 2024, 54, 7521–7527. [Google Scholar] [CrossRef]
- Pan, C.; Fei, X.; Xiao, J.; Huang, J.; Yang, Z. Model-assisted reduced-order ESO based command filtered tracking control of flexible-joint manipulators with matched and mismatched disturbances. Appl. Sci. 2022, 12, 8511. [Google Scholar] [CrossRef]
- Bilal, H.; Yin, B.; Aslam, M.S.; Anjum, Z.; Rohra, A.; Wang, Y. A practical study of active disturbance rejection control for rotary flexible joint robot manipulator. Soft Comput. 2023, 27, 4987–5001. [Google Scholar] [CrossRef]
- Wang, H.; Zhang, Q.; Sun, Z.; Tang, X.; Chen, I.-M. Continuous Terminal Sliding-Mode Control for FJR Subject to Matched/Mismatched Disturbances. IEEE Trans. Cybern. 2022, 52, 10479–10489. [Google Scholar] [CrossRef]
- Soltanpour, M.R.; Moattari, M. Voltage based sliding mode control of flexible joint robot manipulators in presence of uncertainties. Robot. Auton. Syst. 2019, 118, 204–219. [Google Scholar]
- Cheng, X.; Liu, H.; Lu, W. Chattering-suppressed sliding mode control for flexible-joint robot manipulators. Actuators 2021, 10, 288. [Google Scholar] [CrossRef]
- Wang, X.S.; Su, C.Y.; Hong, H. Robust adaptive control of a class of nonlinear systems with unknown dead-zone. Automatica 2004, 40, 407–413. [Google Scholar] [CrossRef]
- Lewis, F.L.; Tim, W.K.; Wang, L.Z.; Li, Z.X. Deadzone compensation in motion control systems using adaptive fuzzy logic control. IEEE Trans. Control. Syst. Technol. 1999, 7, 731–742. [Google Scholar] [CrossRef]
- Zhou, J.; Wen, C.; Zhang, Y. Adaptive output control of nonlinear systems with uncertain dead-zone nonlinearity. IEEE Trans. Autom. Control 2006, 51, 504–511. [Google Scholar] [CrossRef]
- Wang, H.; Kang, S. Adaptive Neural Command Filtered Tracking Control for Flexible Robotic Manipulator with Input Dead-Zone. IEEE Access 2019, 7, 22675–22683. [Google Scholar] [CrossRef]
- Yan, Z.; Lai, X.; Meng, Q.; Zhang, P.; Wu, M. Tracking control of single-link flexible-joint manipulator with unmodeled dynamics and dead zone. Int. J. Robust Nonlinear Control 2021, 31, 1270–1287. [Google Scholar] [CrossRef]
- Shen, J.; Zhang, W.; Zhou, S.; Ye, X. Fuzzy adaptive compensation control for space manipulator with joint flexibility and dead zone based on neural network. Int. J. Aeronaut. Space Sci. 2023, 24, 876–889. [Google Scholar] [CrossRef]
- Liu, Y.; Yao, X.; Zhao, W. Distributed neural-based fault-tolerant control of multiple flexible manipulators with input saturations. Automatica 2023, 156, 111202. [Google Scholar] [CrossRef]
- Chen, Y.; Guo, B. Sliding mode fault tolerant tracking control for a single-link flexible joint manipulator system. IEEE Access 2019, 7, 83046–83057. [Google Scholar] [CrossRef]
- Elghoul, A.; Tellili, A.; Abdelkrim, M.N. Reconfigurable control of flexible joint robot with actuator fault and uncertainty. J. Electr. Eng. 2019, 70, 876–889. [Google Scholar] [CrossRef]
- Ren, Y.; Zhu, P.C.; Zhao, Z.J.; Yang, J.; Zou, T. Adaptive fault-tolerant boundary control for a flexible string with unknown dead zone and actuator fault. IEEE Trans. Cybern. 2021, 52, 7084–7093. [Google Scholar] [CrossRef]
- Zhao, Z.J.; Tan, Z.F.; Liu, Z.J.; Efe, M.O.; Ahn, C.K. Adaptive inverse compensation fault-tolerant control for a flexible manipulator with unknown dead-zone and actuator faults. IEEE Trans. Ind. Electron. 2023, 70, 12698–12707. [Google Scholar] [CrossRef]
- Yu, Y.; Wang, L. Adaptive fault-tolerant finite-time flight-path angle control for aircraft systems with unknown deadzone and actuator faults. IEEE Access 2024, 12, 94205–94215. [Google Scholar] [CrossRef]
- Yan, L.; Hsu, L.; Xiuxia, S. A variable structure MRAC with expected transient and steady-state performance. Automatica 2006, 42, 805–813. [Google Scholar] [CrossRef]
- Xie, S.; Chen, Q.; He, X. Predefined-Time Approximation-Free Attitude Constraint Control of Rigid Spacecraft. IEEE Trans. Aerosp. Electron. Syst. 2023, 59, 347–358. [Google Scholar] [CrossRef]
- Bechlioulis, C.P.; Rovithakis, G.A. Adaptive control with guaranteed transient and steady state tracking error bounds for strict feedback systems. Automatica 2009, 45, 532–538. [Google Scholar] [CrossRef]
- Kostarigka, A.K.; Doulgeri, Z.; Rovithakis, G.A. Prescribed performance tracking for flexible joint robots with unknown dynamics and variable elasticity. Automatica 2013, 49, 1137–1147. [Google Scholar] [CrossRef]
- Ma, H.; Zhou, Q.; Li, H.; Lu, R. Adaptive Prescribed Performance Control of A Flexible-Joint Robotic Manipulator With Dynamic Uncertainties. IEEE Trans. Cybern. 2022, 52, 12905–12915. [Google Scholar] [CrossRef]
- Zhang, Y.; Lei, Y.; Zhang, T.; Song, R.; Li, Y.; Du, F. Robust command-filtered control with prescribed performance for flexible-joint robots. IEEE Trans. Instrum. Meas. 2023, 72, 1–13. [Google Scholar] [CrossRef]
- Ge, S.S.; Hong, F.; Lee, T.H. Robust adaptive control of nonlinear systems with unknown time delays. Automatica 2005, 41, 1181–1190. [Google Scholar] [CrossRef]
- Lai, G.; Liu, Z.; Zhang, Y.; Chen, C.L.P.; Xie, S.; Liu, Y. Fuzzy Adaptive Inverse Compensation Method to Tracking Control of Uncertain Nonlinear Systems With Generalized Actuator Dead Zone. IEEE Trans. Fuzzy Syst. 2017, 25, 191–204. [Google Scholar] [CrossRef]
- Fang, Y.M.; Xu, Y.Z.; Li, J.X. Adaptive dynamic surface control for electro-hydraulic servo position system with input saturation. Control Theory Appl. 2014, 31, 511–518. [Google Scholar]
- Krstic, M.; Kanellakopoulos, I.; Kokotovic, P.V. Nonlinear and Adaptive Control Design; John Wiley & Sons: New York, NY, USA, 1995. [Google Scholar]
- Liu, J.K. Robot Control System Design and MATLAB Simulation: The Advanced Design Method; Tsinghua University Press: Beijing, China, 2023. [Google Scholar]












Disclaimer/Publisher’s Note: The statements, opinions and data contained in all publications are solely those of the individual author(s) and contributor(s) and not of MDPI and/or the editor(s). MDPI and/or the editor(s) disclaim responsibility for any injury to people or property resulting from any ideas, methods, instructions or products referred to in the content. |
© 2025 by the authors. Licensee MDPI, Basel, Switzerland. This article is an open access article distributed under the terms and conditions of the Creative Commons Attribution (CC BY) license (https://creativecommons.org/licenses/by/4.0/).
Share and Cite
Xu, H.; Yang, Q.; Cai, J.; Zhu, C.; Mei, C. Adaptive Prescribed Performance Control for Flexible-Joint Robotic Manipulators with Unknown Deadzone and Actuator Faults. Electronics 2025, 14, 1917. https://doi.org/10.3390/electronics14101917
Xu H, Yang Q, Cai J, Zhu C, Mei C. Adaptive Prescribed Performance Control for Flexible-Joint Robotic Manipulators with Unknown Deadzone and Actuator Faults. Electronics. 2025; 14(10):1917. https://doi.org/10.3390/electronics14101917
Chicago/Turabian StyleXu, Haiying, Qiyao Yang, Jianping Cai, Chen Zhu, and Congli Mei. 2025. "Adaptive Prescribed Performance Control for Flexible-Joint Robotic Manipulators with Unknown Deadzone and Actuator Faults" Electronics 14, no. 10: 1917. https://doi.org/10.3390/electronics14101917
APA StyleXu, H., Yang, Q., Cai, J., Zhu, C., & Mei, C. (2025). Adaptive Prescribed Performance Control for Flexible-Joint Robotic Manipulators with Unknown Deadzone and Actuator Faults. Electronics, 14(10), 1917. https://doi.org/10.3390/electronics14101917

