Effects of Diffusion Barrier Layers on the Performance of Lattice-Mismatched Metamorphic In0.83Ga0.17As Photodetectors
Abstract
1. Introduction
2. Materials and Methods
3. Results
3.1. The Energy Band Diagram
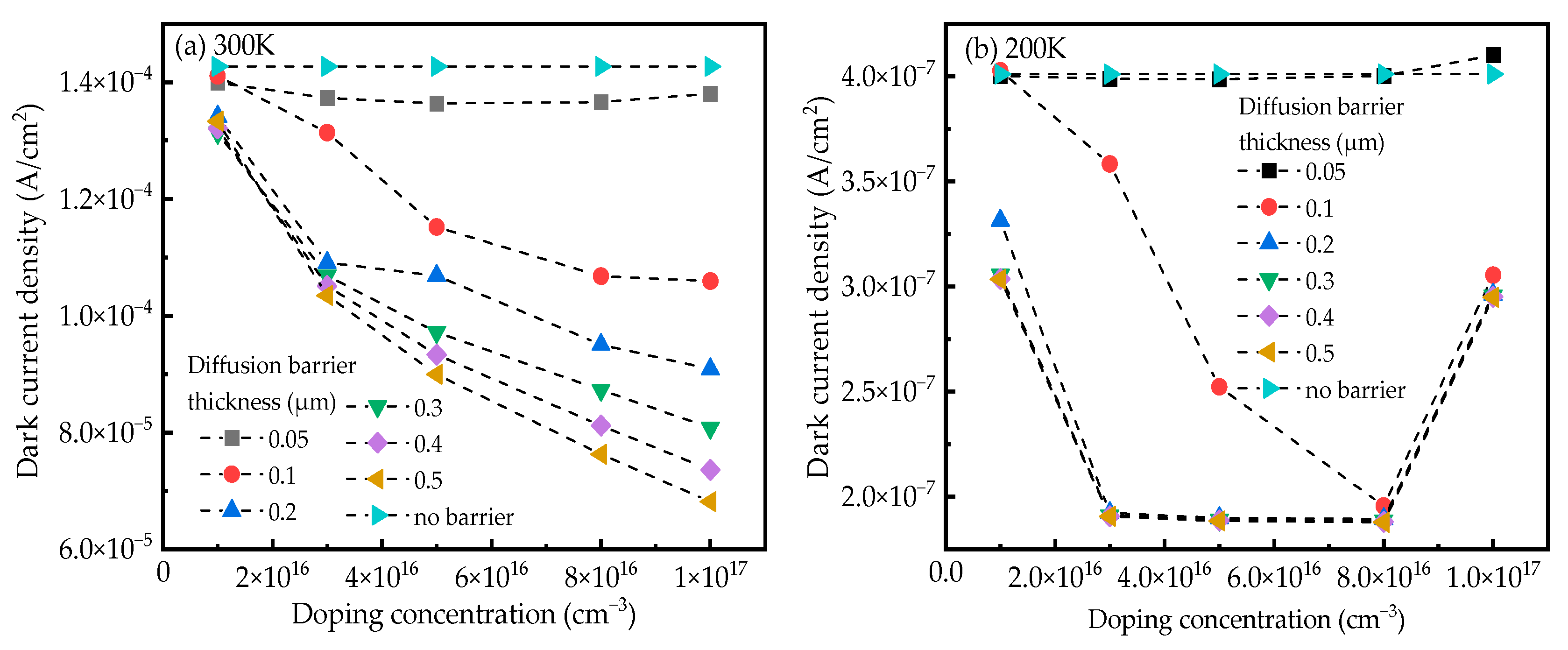
3.2. Dark Current Density
3.3. Quantum Efficiency
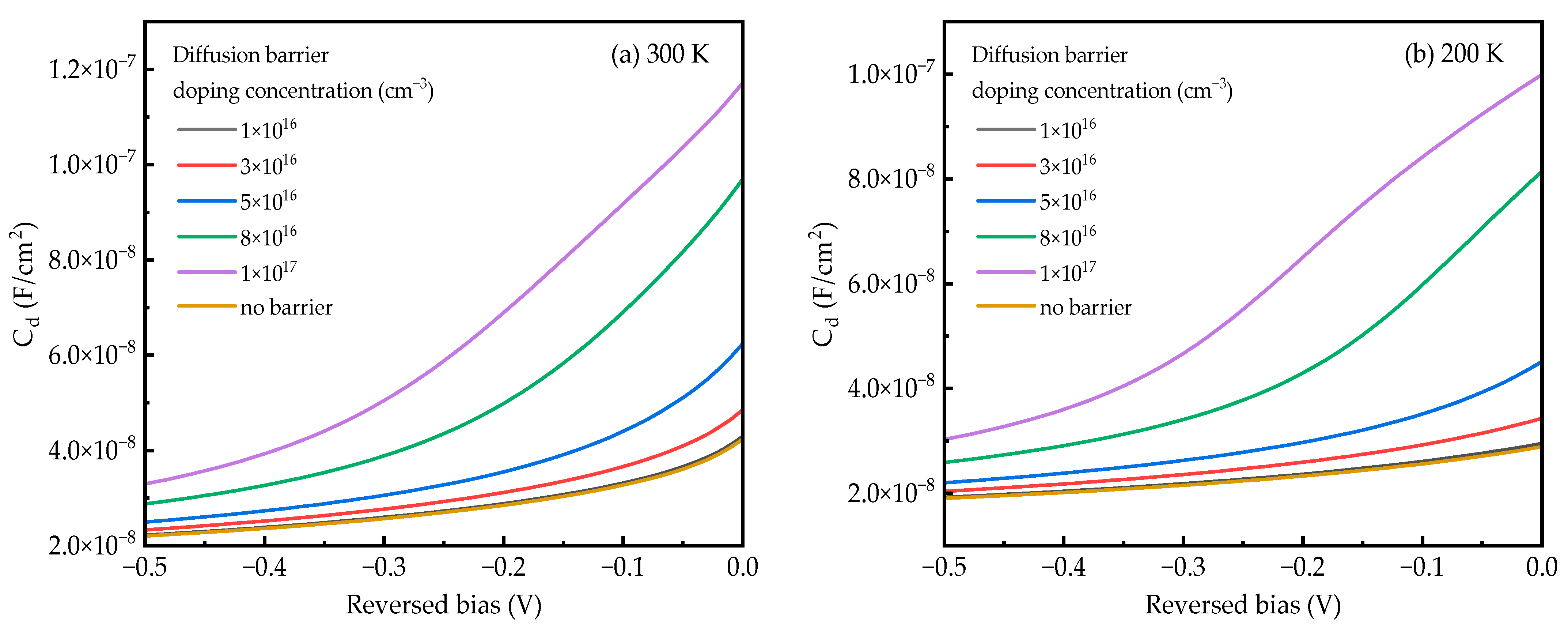
3.4. Capacitance
4. Conclusions
Author Contributions
Funding
Data Availability Statement
Conflicts of Interest
References
- Malchow, D.; Battaglia, J.; Brubaker, R.; Ettenberg, M. High speed short wave infrared (SWIR) imaging and range gating cameras. In Proceedings of the Thermosense XXIX, Orlando, FL, USA, 9–12 April 2007; SPIE: Bellingham, WA, USA, 2007; Volume 6541, p. 654106. [Google Scholar]
- Zha, J.; Luo, M.; Ye, M.; Ahmed, T.; Yu, X.; Lien, D.H.; He, Q.; Lei, D.; Ho, J.C.; Bullock, J.; et al. Infrared Photodetectors Based on 2D Materials and Nanophotonics. Adv. Funct. Mater. 2021, 32, 2111970. [Google Scholar] [CrossRef]
- Thimsen, E.; Sadtler, B.; Berazin, M.Y. Shortwave-infrared (SWIR) emitters for biological imaging: A review of challenges and opportunities. Nanophotonics 2017, 6, 1043–1054. [Google Scholar] [CrossRef]
- Liu, H.Z.; Wang, J.Y.; Guo, D.Q.; Shen, K.; Chen, B.L.; Wu, J. Design and Fabrication of High Performance InGaAs near Infrared Photodetector. Nanomaterials 2023, 13, 2895. [Google Scholar] [CrossRef]
- Hoogeveen, R.W.M.; Van der A, R.J.; Goede, A.P.H. Extend wavelength InGaAs infrared (1.0–2.4 μm) detector arrays on SCIAMACHY for space-based spectrometry of the Earth atmosphere. Infrared Phys. Technol. 2001, 42, 1–16. [Google Scholar] [CrossRef]
- Smiri, B.; Arbia, M.B.; Ilkay, D.; Saidi, F.; Othmen, Z.; Dkhil, B.; Ismail, A.; Sezai, E.; Hassen, M. Optical and structural properties of In-rich InxGa1-xAs epitaxial layers on (100) InP for SWIR detectors. Mater. Sci. Eng. B 2020, 262, 114769. [Google Scholar] [CrossRef]
- Kwan, C.; Chou, B.; Yang, J.; Rangamani, A.; Tran, T.; Zhang, J.; Etienne-Cummings, R. Target tracking and classification using compressive sensing camera for SWIR videos. Signal Image Video Process. 2019, 13, 1629–1637. [Google Scholar] [CrossRef]
- Adomeit, U.; Krieg, J. Shortwave infrared for night vision applications: Illumination levels and sensor performance. In Proceedings of the Optics in Atmospheric Propagation and Adaptive Systems XVIII, Toulouse, France, 22 September 2015; SPIE: Bellingham, WA, USA, 2015; Volume 9641, pp. 16–27. [Google Scholar]
- Hoffman, A.; Sessler, T.; Rosbeck, J.; Acton, D.; Ettenberg, M. Megapixel InGaAs arrays for low background applications. In Proceedings of the Infrared Technology and Applications XXXI, Orlando, FL, USA, 28 March–1 April 2005; SPIE: Bellingham, WA, USA, 2005; Volume 5783, pp. 32–38. [Google Scholar]
- Jurczak, P.; Sablon, K.A.; Gutierrez, M.; Liu, H.Y.; Wu, J. 2.5-μm InGaAs photodiodes grown on GaAs substrates by interfacial misfit array technique. Infrared Phys. Technol. 2017, 81, 320–324. [Google Scholar] [CrossRef]
- D’Hondt, M.; Moerman, I.; Demeester, P. Dark current optimization for MOVPE grown 2.5 μm wavelength InGaAs photodetectors. Electron. Lett. 1998, 34, 910–912. [Google Scholar] [CrossRef]
- Qu, X.; Bao, H.; Hanieh, S.; Xiong, L.; Zhen, H. An InGaAs graded buffer layer in solar cells. J. Semicond. 2014, 35, 014011. [Google Scholar] [CrossRef]
- Park, S.; Kim, Y.; Nguyen, P.D.; Jeon, J.; Chun, B.S.; Lee, S.J. Toward Ga-free wavelength extended 2.6 μm InAsP photodetectors with high performance. Adv. Funct. Mater. 2023, 34, 2309897. [Google Scholar] [CrossRef]
- Cao, P.; Wang, T.C.; Peng, H.L.; Zhuang, Q.D.; Zheng, W.H. Growth and dark current analysis of GaSb- and InP-Based metamorphic In0.8Ga0.2As photodetectors. Materials 2023, 16, 4538. [Google Scholar] [CrossRef] [PubMed]
- Lv, J.B.; Chen, J. Simulation of dark current suppression in p-i-n InGaAs photodetector with In0.66Ga0.34As/InAs superlattice electron barrier. Infrared Phys. Technol. 2016, 77, 335–338. [Google Scholar] [CrossRef]
- Zhong, H.; Li, C.; Guo, D.Q.; Cheng, K.M.; Tang, X.Y.; Shen, K.; Wu, J. High performance InAs0.91Sb0.09 MWIR detectors with an AlAs1-ySby graded barrier. Infrared Phys. Technol. 2023, 130, 104584. [Google Scholar] [CrossRef]
- Yuan, Q.; Guo, D.Q.; Cui, X.Y.; Tang, X.Y.; Shen, K.; Wu, J.; Wang, Z.M. High-performance midwave type-II superlattice infrared photodetectors with a stepped InAs/GaSb absorber. IEEE Trans. Electron Devices 2023, 70, 2347–2351. [Google Scholar] [CrossRef]
- Cao, J.S.; Li, T.; Wang, H.Z.; Yu, C.L.; Yang, B.; Ma, Y.J.; Shao, X.M.; Li, X.; Gong, H.M. Study on InP/InGaAs hetero-structure detector with unintentionally doping absorption layer. Infrared Laser Eng. 2021, 50, 20210073. [Google Scholar]
- Cao, J.S.; Yu, Y.Z.; Li, T.; Yu, C.L.; Gu, Y.; Yang, B.; Ma, Y.J.; Shao, X.M.; Li, X.; Gong, H.M. Lightly doped In0.53Ga0.47As/InP SWIR photodetectors with diffusion barrier structure. Infrared Phys. Technol. 2024, 137, 105112. [Google Scholar] [CrossRef]
- Ettenberg, M.H.; Lange, M.J.; Sugg, A.R.; Cochen, M.J.; Olsen, G.H. Zinc diffusion in InAsP/InGaAs heterostructures. J. Electron. Mater. 1999, 28, 1433–1439. [Google Scholar] [CrossRef]
- Zhou, L.; Zhang, Y.G.; Gu, Y.; Ma, Y.J.; Chen, X.Y.; Xi, S.P.; Li, H.S.B.Y. Effects of material parameters on the temperature dependent spectral response of In0.83Ga0.17As photodetectors. J. Alloys Comp. 2015, 619, 52–57. [Google Scholar] [CrossRef]
- Metzger, W.K.; Wanlass, M.W.; Ellingson, R.J.; Ahrenkiel, R.K.; Carapella, J.J. Auger recombination in low-band-gap n-type InGaAs. Appl. Phys. Lett. 2001, 79, 3272–3274. [Google Scholar] [CrossRef]
- Atlas User’s Manual; SILVACO International: Santa Clara, CA, USA, 2007.
- Vurgaftman, I.; Meyer, J.R.; Ram-Mohan, L.R. Band parameters for III-V compound semiconductors and their alloys. J. Appl. Phys. 2001, 89, 5815–5875. [Google Scholar] [CrossRef]
- Lee, H.J.; Gamel, M.M.A.; Ker, P.J.; Jamaludin, M.Z.; Wong, Y.H.; Yap, K.S.; Willmott, J.R.; Hobbs, M.J.; David, J.P.R.; Tan, C.H. Deriving the absorption coefficients of lattice mismatched InGaAs using genetic algorithm. Mater. Sci. Semicond. Optoelectron. 2008, 153, 107135. [Google Scholar] [CrossRef]
- Kao, Y.C.; Chou, H.M.; Hsu, S.C.; Lin, A.; Lin, C.C.; Shih, Z.H.; Chang, C.L.; Hong, H.F.; Horng, R.H. Performance comparison of III-V//Si and III-V//InGaAs multi-junction solar cells fabricated by the combination of mechanical stacking and wire bonding. Sci. Rep. 2019, 9, 4308. [Google Scholar] [CrossRef] [PubMed]
- Gamel, M.M.A.; Ker, P.J.; Rashid, W.E.S.W.A.; Lee, H.J.; Hannan, M.A.; Jamaludin, M.Z. Performance of Ge and In0.53Ga0.47As thermophotovoltaic cells under different spectral irradiances. IEEE Access 2021, 9, 37091–37102. [Google Scholar] [CrossRef]
- Roura, P.; Lopez-de Miguel, M.; Cornet, A.; Morante, J.R. Determination of the direct band-gap energy of InAlAs matched to InP by photoluminescence excitation spectroscopy. J. Appl. Phys. 1997, 81, 6916–6920. [Google Scholar] [CrossRef]
- Chen, W.; Chen, B.; Yuan, J.; Holmes, A.; Fay, P. Bulk and interfacial deep levels observed in In0.53Ga0.47As/GaAs0.5Sb0.5 multiple quantum well photodiode. Appl. Phys. Lett. 2012, 101, 5. [Google Scholar]
- Besikci, C. Extended short wavelength infrared FPA Technology: Status and trends. In Proceedings of the Quantum Sensing and Nano Electronics And Photonics XV, San Francisco, CA, USA, 28 January–2 February 2018; SPIE: Bellingham, WA, USA, 2018; Volume 10540, pp. 110–125. [Google Scholar]
- Circir, K.; Dolas, M.H.; Kocaman, S. Optimization of in-device depleted passivation layer for InGaAs photodetectors. Infrared Phys. Technol. 2019, 97, 360–364. [Google Scholar] [CrossRef]
- Cheng, J.F.; Li, X.; Shao, X.M.; Li, T.; Ma, Y.J.; Gu, Y.; Deng, S.Y.; Zhang, Y.G.; Gong, H.M. 2.45-μm 1280 × 1024 InGaAs focal plane array with 15-μm pitch for extend SWIR imaging. IEEE Photon. Technol. Lett. 2022, 34, 231–234. [Google Scholar] [CrossRef]
- Geske, J.; Hood, A.; Thomas, J.; MacDougal, M. Low-capacitance InGaAs detectors for high-speed, wide field-of-view sensing applications. In Proceedings of the Infrared Technology and Applications XLV, Baltimore, MD, USA, 14–18 April 2019; SPIE: Bellingham, WA, USA, 2019; p. 11002. [Google Scholar]
- Zhang, Y.G.; Gu, Y.; Tian, Z.B.; Li, A.Z.; Zhu, X.R.; Zhang, Y.L. Wavelength extended 2.4 μm heterojunction InGaAs photodiodes with InAlAs cap and linearly graded buffer layers suitable for both front and back illuminations. Infrared Phys. Technol. 2008, 51, 316–321. [Google Scholar] [CrossRef]
- Djedidi, A.; Rouvie, A.; Reverchon, J.L.; Pires, M.; Chevalier, N.; Mariolle, D. Investigation of the influence of Zn-diffusion profile on the electrical properties of InGaAs/InP photodiodes. In Proceedings of the 2012 International Conference on Indium Phosphide and Related Materials, Santa Barbara, CA, USA, 27–30 August 2012; pp. 110–112. [Google Scholar]










| Layer | Layer Thickness (μm) | Doping Concentration (cm3) |
|---|---|---|
| n-In0.83Al0.17As cap layer | 0.6 | 3 × 1016 |
| n-In0.83Ga0.17As DBL | 0~0.5 | (0.1~1) × 1017 |
| n-In0.83Ga0.17As absorption layer | 2.5 | 5 × 1015 |
| n-InAlAs buffer layer | 2.38 | 6.6 × 1017 |
| InP substrate | 350 | Semi-insulated |
| Material Parameters | InP [23] | In0.83Ga0.17As [24,25,26,27] | In0.83Al0.17As |
|---|---|---|---|
| Bandgap (eV) | 1.34 | 0.48 | 0.79 |
| Electron density of states (cm−3) | 5.66 × 1017 | 1.20 × 1017 | 2.61 × 1017 |
| Hole density of states (cm−3) | 2.03 × 1017 | 6.99 × 1018 | 1.14 × 1019 |
| Electron mobility (cm2/Vs) | 4600 | 8000 | 3000 |
| Hole mobility (cm2/Vs) | 150 | 112 | 100 |
| SRH lifetime electron (s) | 1 × 10−8 | 2 × 10−7 | 1 × 10−8 |
| SRH lifetime hole (s) | 1 × 10−8 | 2 × 10−7 | 1 × 10−8 |
| Permittivity | 12.5 | 14.63 | 13.96 |
| hν (eV) | 0.47 | 0.48 | 0.49 | 0.53 | 0.55 | 0.6 | 0.7 | 0.8 |
| α (103 cm−1) | 0.6 | 2.3 | 3.75 | 6.15 | 7 | 8.98 | 12.4 | 16.8 |
Disclaimer/Publisher’s Note: The statements, opinions and data contained in all publications are solely those of the individual author(s) and contributor(s) and not of MDPI and/or the editor(s). MDPI and/or the editor(s) disclaim responsibility for any injury to people or property resulting from any ideas, methods, instructions or products referred to in the content. |
© 2024 by the authors. Licensee MDPI, Basel, Switzerland. This article is an open access article distributed under the terms and conditions of the Creative Commons Attribution (CC BY) license (https://creativecommons.org/licenses/by/4.0/).
Share and Cite
Jiao, Z.; Guo, T.; Zhou, G.; Gu, Y.; Liu, B.; Yu, Y.; Yu, C.; Ma, Y.; Li, T.; Li, X. Effects of Diffusion Barrier Layers on the Performance of Lattice-Mismatched Metamorphic In0.83Ga0.17As Photodetectors. Electronics 2024, 13, 1339. https://doi.org/10.3390/electronics13071339
Jiao Z, Guo T, Zhou G, Gu Y, Liu B, Yu Y, Yu C, Ma Y, Li T, Li X. Effects of Diffusion Barrier Layers on the Performance of Lattice-Mismatched Metamorphic In0.83Ga0.17As Photodetectors. Electronics. 2024; 13(7):1339. https://doi.org/10.3390/electronics13071339
Chicago/Turabian StyleJiao, Zhejing, Tianyu Guo, Gaoyu Zhou, Yi Gu, Bowen Liu, Yizhen Yu, Chunlei Yu, Yingjie Ma, Tao Li, and Xue Li. 2024. "Effects of Diffusion Barrier Layers on the Performance of Lattice-Mismatched Metamorphic In0.83Ga0.17As Photodetectors" Electronics 13, no. 7: 1339. https://doi.org/10.3390/electronics13071339
APA StyleJiao, Z., Guo, T., Zhou, G., Gu, Y., Liu, B., Yu, Y., Yu, C., Ma, Y., Li, T., & Li, X. (2024). Effects of Diffusion Barrier Layers on the Performance of Lattice-Mismatched Metamorphic In0.83Ga0.17As Photodetectors. Electronics, 13(7), 1339. https://doi.org/10.3390/electronics13071339

