Abstract
Under partial-shading conditions (PSCs), the output P-V curve of the photovoltaic array shows a multi-peak shape. This poses a challenge for traditional maximum power point tracking (MPPT) algorithms to accurately track the global maximum power point (GMPP). Single intelligent algorithms such as PSO and ABC have difficulty balancing tracking speed and tracking accuracy. Additionally, there is significant power oscillation during the tracking process. Therefore, this paper proposes a new hybrid method called the Cuckoo Search Algorithm and Artificial Bee Colony algorithm (CSA-ABC) for photovoltaic MPPT. The CSA-ABC algorithm combines the local random walk and the global levy flight mechanism of the cuckoo algorithm, by probability selection, to decide whether to group the population, and introduces adaptive weight factors and gravitational mechanisms between adjacent individuals, incorporating an algorithm restart mechanism to track new MPPs in response to changes in the external environment. The algorithm is implemented in MATLAB/Simulink using a photovoltaic power-generation system model. Simulation verification is performed under different PSC scenarios. The results show that the proposed MPPT algorithm is 6.2–78.6% faster than the PSO, CSA, and ABC algorithms and two other hybrid algorithms, with a smaller power oscillation during the tracking process and zero power oscillation during the steady process.
1. Introduction
In order to cope with the energy crisis and achieve the “double carbon” goal, renewable energy sources such as solar, wind, and hydro have achieved a leapfrog development in recent years around the world, and the photovoltaic power generation is taking up a growing proportion of the clean energy movement with the improvement of technology []. Enhancing the conversion efficiency of solar photovoltaic power generation is a crucial aspect of building an intelligent and sustainable green energy network []. Photovoltaic cells exhibit strong nonlinear characteristics, which necessitate the use of effective MPPT controllers to track the maximum power under various working environments []. Photovoltaic MPPT-control methods can be categorized into traditional MPPT algorithms, MPPT algorithms based on biologically inspired (BI) optimization techniques, and MPPT algorithms that combine BI optimization techniques with other technologies []. The P-V characteristic curve of the photovoltaic array follows a single-peak pattern under uniform illumination conditions, and traditional photovoltaic MPPT technologies such as the constant voltage method, the perturbation and observation method (P&O), and the incremental conductivity method (INC) can efficiently track the GMPP []. However, under PSCs, the power output characteristic curve of the photovoltaic array becomes multi-peaked, rendering traditional MPPT-control methods incapable of discerning the GMPP. As a result, these methods often converge to a local maximum power point, leading to decreased power generation []. Swarm-intelligence-based optimization techniques, which are a subset of BI optimization technology [], offer a solution. These methods find the optimal global solution by constantly comparing a lot of solutions, including particle swarm optimization (PSO) [], Ant Colony Optimization (ACO) [], Cuckoo Search Algorithms (CSAs) [], Artificial Bee Colony (ABC) [], Gray Wolf Optimization (GWO) [], and Salp Swarm Optimization (SSO) [], among others. Compared to other technologies, MPPT technology based on swarm-intelligence optimization exhibits faster response speeds and higher efficiency in achieving the GMPPT under PSCs. Consequently, applying various swarm-intelligence optimization algorithms, as well as their combination and enhancements to MPPT under PSCs, has emerged as a new research trend [].
In [], a combination of PSO and P&O methods is employed to achieve photovoltaic MPPT. The author introduces a shrinkage factor and random weight, effectively enhancing the convergence speed of the algorithm. In [], the slime-mold optimization algorithm is enhanced by initializing the population using a normal distribution, which increases population diversity. Furthermore, the application of levy flight and spiral search strategies improves the algorithm’s global search capability. The authors of [] proposed a hybrid method of PSO and the Fireworks Algorithm. It utilizes the speed operator of PSO and FWA mutation to balance the tracking speed and accuracy. However, there are significant oscillations during the search process. In [], a hybrid algorithm of the SSO and GWO method is proposed, in this paper, the leader structure of the GWO algorithm is introduced into the SSO algorithm and enhances the global search capability. The authors of [] combine the ANN and P&O method to achieve a photovoltaic MPPT. However, ANN requires amounts of specific training data to produce accurate results, which demands high computational resources. In [], the overall performance of the algorithm is improved by enhancing the ABC.
The CSA is a simple optimization algorithm that simulates the behavior of certain cuckoos to effectively solve optimization problems. It has gained attention from scholars due to its simplicity, convenience, ease of implementation, and versatility. When it comes to tracking the GMPP, the CSA outperforms the traditional MPPT algorithm. However, the CSA utilizes a levy flight-search mechanism, which introduces some randomness and blindness, potentially leading to unnecessary oscillations during the search process. ABC is an optimization method proposed by simulating the behavior of bees. It is a particular application of swarm intelligence. One of its key features is that it does not require specific problem information, but rather compares the advantages and disadvantages of potential solutions to achieve the global optimal value within the population. There have been limited studies on the application of the CSA and ABC to the GMPPT, with most focusing on separately improving these two algorithms or combining them with traditional MPPT control algorithms, such as the combination of the CSA with INC [] or ABC with P&O []; there is a scarcity of research that directly combines the CSA and ABC, and the relevant literature shows that the hybrid approach can improve system performance []. To choose a suitable combination method, we need to consider the advantages and disadvantages of each method and combine the strengths of each method to achieve better results []. Otherwise, there is a risk of slower convergence and falling into a local optimum. Therefore, the primary consideration for the combination method is to balance the convergence speed and accuracy []. Studies have shown that the principle of the CSA algorithm is to remove the worst individual in the population according to the probability, so that the entire population can quickly converge next to the global optimal individual []. ABC uses grouping and roulette-following mechanisms to improve search accuracy []. Therefore, by combining these two methods, CSA-ABC combines the advantages of these two algorithms, takes into account the search speed and accuracy of the algorithm, and improves the performance of the MPPT.
In this new algorithm, the ABC algorithm is integrated into the CSA. The new CSA-ABC algorithm overcomes the problems of the slow convergence speed of the ABC algorithm and the low convergence accuracy of the CSA in the later stage; it achieves a balance between a global search and local search, and reduces the oscillation during the search process.
In this paper, the CSA-ABC algorithm is implemented using MATLAB/Simulink and is applied to the solve the photovoltaic MPPT. Comparisons are made with the CSA, ABC, PSO, PSO-P&O, and CSA-INC algorithms under different shading conditions. We evaluate the speed and accuracy of these algorithms in tracking the maximum power. The main contributions as follows:
- (1)
- Development of the CSA-ABC algorithm: This paper introduces a novel algorithm that combines the strengths of the CSA and ABC. The hybrid algorithm achieves a balance between a global search and local search. This addresses the slow convergence speed of ABC and the low convergence accuracy of the CSA in the later stages;
- (2)
- Implementation and application: The CSA-ABC algorithm is implemented using MATLAB/Simulink, providing a practical and executable solution for the photovoltaic MPPT problem;
- (3)
- Comparative analysis: The proposed algorithm is compared with the CSA, ABC, PSO, PSO-P&O, and CSA-INC algorithms. The results highlight the advantages of the CSA-ABC algorithm over the other algorithms in terms of achieving a balance between tracking speed and accuracy, a smaller power oscillation during the tracking process, and zero power oscillation during the steady process.
The other arrangements for this article are as follows. Section 2 studies the power characteristics of the PV system under PSCs. Section 3 introduces the traditional CSA, the traditional ABC algorithm, and the CSA-ABC hybrid algorithm. Section 4 presents the simulation results of the MPPT based on CSA-ABC and the MPPT based on the CSA, ABC, PSO, CSA-INC, and PSO-P&O hybrid algorithms, and compares and analyzes them. Section 5 concludes this paper.
2. Power Output Characteristics of Photovoltaic Systems under Partial-Shading Conditions
Photovoltaic cells work by utilizing the photovoltaic effect of the semiconductor PN junction, which functions as a diode. According to the principles of electronics [], the equivalent circuit of photovoltaic cells can be depicted as shown in Figure 1.

Figure 1.
Equivalent circuit of photovoltaic cell single diode model.
In the above formula, Isat is the reverse saturation current of the PN junction; q is the unit charge, with a value of 1.6 × 10−19 C; VJ is the PN junction voltage of the cell; and A is the diode ideality coefficient of performance. K is a constant, and the value is 1.38 × 10−23 J/K; T is the absolute temperature.
By substituting Equations (2)–(4) into Equation (1), it can be obtained as
As the parallel resistance Rsh of the photovoltaic cell is very large, Equation (5) can be simplified as
Output Characteristics of Photovoltaic Array
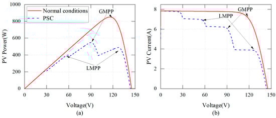
In practical applications, multiple photovoltaic cells are commonly interconnected in series and in parallel to form photovoltaic modules. Bypass diodes are installed in parallel at both ends of the photovoltaic cells to mitigate the damage caused by the hot-spot effect []. The output power curve of a photovoltaic array exhibits multiple peaks when it is under PSCs due to its nonlinear characteristics. At least 20% of the efficiency of such photovoltaic panels can be lost []. And, with the uneven distribution of shadows, the number of peaks will also increase, which determines whether the GMPP will be more challenging, and there is a higher risk of tracking a local maximum power point.
Figure 2 illustrates the P-V and I-V curves under different shading conditions. The curves consist of multiple data points, which correspond to the local or global maximum power points (LMPPs or GMPPs) of the PV system. Table 1 provides the parameters of the photovoltaic cells.

Figure 2.
P-V and I-Vcurves in different shadow mode: (a) Normal conditions; (b) under PSC.

Table 1.
Photovoltaic cell parameters.
Photovoltaic systems typically use a boost converter to regulate the duty cycle. The MPPT controller changes the output of the PV system by changing the switching frequency of the boost converter. In this study, a conventional boost converter is integrated into the photovoltaic system’s configuration, as shown in Figure 3.

Figure 3.
Photovoltaic system model.
The output voltage Vout is given by Equation (7).
3. Proposed Techniques for MPPT
3.1. Introduction of Cuckoo Search Algorithm
This paper proposes a hybrid algorithm based on Cuckoo and Artificial Bee Colony to solve the MPPT problem. This method can effectively improve the tracking accuracy and speed under local shadows.
The CSA is visualized by simulating the cuckoo’s search for a parasitic nest, where each cuckoo egg represents a potential solution. The positions of these cuckoo eggs are updated in each iteration to improve their fitness values.
The main idea of the CSA is based on two points: (1) a cuckoo seeks parasitic nests by levy flight. (2) The cuckoo then searches for new nests by random walking when its eggs are discovered.
The new position of the ith cuckoo is obtained by updating the levy-flight strategy according to Equation (8).
where α is the step-size scaling factor, is the position of the best nest individual in the current population, s is the levy-flight expression, and its moving step follows approximately the levy-probability distribution, as shown in Equation (9).
u~N(0,σ2), v~N(0,1), the expression of σ is given by the following, Equation (10).
The behavior of cuckoos invading the nest will be detected and eliminated by the host with probability Pa, and the eliminated individuals will generate new solutions through random walking strategies according to Equation (11).
and are two different random individuals in the tth generation of the population; r1 and r2 are random numbers; H(*) is the Heaviside step function; and Pa is the probability of the host bird discovering the parasitic cuckoo eggs, which is fixed at 0.25 in this paper.
In this paper, we introduce a control factor. The control factor is selected as the distance difference between the current individual and the optimal individual in the population to make full use of the advantages of elite individuals; Equation (11) can be updated to Equation (12).
3.2. Introduction of Artificial Bee Colony Algorithm
ABC is a method that identifies the optimal honey source by facilitating information exchange, bee-type transformations, and task allocation among the three types of bees within the colony: employed bees, onlooker bees, and scout bees.
Employed bees are individuals in the optimal position in the population, and their main role is to guide other individuals in the population to move closer to the optimal position. The behavior of employed bees searching for honey sources is expressed by Equation (13).
represents the position of the new honey source, is a random value between (−1 and 1). In this paper, a is an adaptive weight factor, which decreases linearly with the increase in the number of iterations. The value of a is given by Equation (14), and represents the nectar source randomly selected in generation t, and i ≠ k.
Iteration denotes the current number of iterations, and max_itera is the maximum iterations allowed. The adaptive weight factor a is reduced for the next iterative update, which reduces the value range of , accelerates the convergence speed, and reduces the oscillation in the iterative process.
Onlooker bees follow the employed bees to find a better honey-source locations, use the roulette-wheel strategy to select employed bees to follow, and then conduct local searches to find new honey sources. In other words, the probability of each employed bee being selected is shown in Equation (15).
represents the probability that the ith employed bee of the tth generation is selected. It can be seen from Equation (15) that the employed bees with better nectar sources are more likely to be selected. The position-update method of onlooker bees is shown in Equation (16).
Nnum denotes the population size, which is four in this paper. After the search stage of employed bees and onlooker bees, if a certain honey-source location has not been updated for many iterations, and is not the current optimal honey source, the abandonment parameter trial value is accumulated until it exceeds the threshold parameter limit. This indicates that the honey source has been depleted. Once depleted, the bees at that nectar-source location employ the levy-flight method to move to a new nectar source.
In order to enhance the information exchange of bees in the population and reduce the oscillations during the search process, a gravitational mechanism is introduced to constrain the positions of adjacent bees. If the distance between adjacent bees exceeds the predefined limit S, the adjacent bees are randomly induced to move towards each other.
3.3. Cuckoo Search and Artificial Bee Colony Hybrid Algorithm (CSA-ABC)
In this paper, the CSA-ABC algorithm is applied to the GMPPT in a photovoltaic system. The voltage and current output from the photovoltaic array serve as inputs for the algorithm, while the duty cycle and the number of iterations act as outputs. According to the clustering and grouping idea of the ABC algorithm, it is integrated with the CSA.
First, initialize the population sizes to Nnum, and the initial duty cycle of Nnum populations is set to a uniformly distributed number with an interval of 0.15 and an initial value of 0.2. The initial ratio can be expressed by Equation (18).
After the initial fitness evaluation, the fitness values are compared, and the global optimal fitness value Gbest and the current best location Xbest in the population are refreshed. The iteration process then begins. The entity with the lowest fitness value in the current population is removed when the likelihood Pa is less than 0.25. New individuals are generated using Equations (8) and (12). Otherwise, group the population using the Artificial Bee Colony method, assign the better half of the individuals the role of employed bees, and the remaining half of individuals the role of onlooker bees, cancel the mechanism of scout bees, and update the position through Equations (13), (16) and (17).
To avoid unnecessary iterations of the algorithm, the following convergence rule is set. The algorithm is considered to converge when the difference ratio between the best and the worst individuals in the population is less than the threshold. The convergence condition can be expressed by Equation (19).
The flag is the convergence flag, the initial value is 0, and the flag is set to 1 only when Equation (19) is established. Similarly, when the number of iterations reaches the max_itera, it will be forced to converge to the optimal fitness found. When the convergence limit is not reached, the CSA-ABC algorithm will continue to run and obtain the output power. Therefore, based on the strategy used, the proposed hybrid CSA-ABC algorithm is described in detail to achieve GMPPT for photovoltaic systems under PSC.
In summary, the CSA-ABC algorithm is shown in Figure 4. In CSA-ABC, the inferior individuals in the population are removed by the CSA to accelerate the population-convergence speed, and then the population is grouped by the ABC method, and the search range is expanded by a roulette follow-up, so as to improve the convergence accuracy so that CSA-ABC can take into account the advantages of speed and accuracy, and a flowchart for the CSA-ABC is implemented for MPPT in Figure 5.

Figure 4.
Schematic diagram of the working principle of CSA-ABC.

Figure 5.
Flowchart for the CSA-ABC implemented for MPPT.
3.4. Algorithm Restart Conditions
When the light intensity of the photovoltaic array changes, the position of the MPP will also change accordingly, when, according to the convergence condition of Equation (19), the following is true:
When Equation (19) is established, and Equation (20) is also true, it is considered that the lighting conditions have changed; restart the algorithm, re-initialize the initial duty cycle of Nnum individuals, and express the duty cycle according to Equation (21) again.
We assigned a random number within [0.2, 0.5] as the re-initial duty cycle, and reset the values of Gbest, Xbest, and the flag to zero.
4. Simulation Setup and Results
4.1. Simulation Setting
Use the CSA-ABC algorithm proposed in this paper to compare with the CSA, ABC, and PSO algorithms. All four algorithms have undergone parameter tuning. The number of populations is set to four. Except for the initial duty cycle of the initial four individuals, assign the same value at the beginning of the algorithm; the random seed will always be used when using the random number method, and the GMPP will not be generated in the initial duty cycle stage.
The entire photovoltaic system was built using MATLAB/Simulink, and the proposed CSA-ABC algorithm was simulated and verified. The MPPT control algorithm is implemented using the MATLAB function module. The photovoltaic array is composed of four photovoltaic panels connected in series. The MPPT control algorithm outputs a PWM signal corresponding to the duty cycle to adjust the boost circuit so that the photovoltaic system works at the MPP. In this system, the voltage and current signals from the photovoltaic array are sampled every 10 ms, and each duty cycle is maintained for 10 ms to ensure that the voltage and current are in a stable state during sampling. In this boost converter, the inductor and capacitor play the role of energy storage and filtering. In order to ensure that the boost conversion circuit works in CCM mode and reduces the output voltage and current ripple, the parameter selection of the inductor and capacitor must meet the corresponding conditions []. The boost conversion circuit parameters are shown in Table 2. A well-designed boost circuit can effectively reduce inaccurate sampling voltages and currents from the photovoltaic array, thus affecting the credibility of the MPPT-algorithm tracking results.

Table 2.
Boost converter parameters.
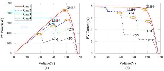
This study only considers the effect of irradiance on the output power of the photovoltaic array. Therefore, all photovoltaic cells operate at 25 °C. Six case studies are performed to test the performance of the proposed CSA-ABC. The detailed photovoltaic array shadow distribution is shown in Table 3. Case1 to Case4 are used to indicate that the photovoltaic array is in a static shadow-obstruction state, where Case1 indicates that all components of the photovoltaic array are in the same shadow, and Case2 to Case4 indicate that the components on the photovoltaic array are in different shadows. The four corresponding output P-V curves and the location of the photovoltaic array output MPP of the four static PSCs are shown in Figure 6. From Figure 6, we can see that there is only one MPP in Case1. In Case2 to Case4, the GMPP is on the right, middle, and left locations of all the MPPs, respectively. In Case5 and Case6, dynamic-shading conditions are set, and in Case5, PSC2-PSC3 are used to represent the MPP of the PV array shifted from the right position to the left. In Case 6, the shading change from PSC4 to PSC1 indicates that the PV array changes from a shading state to an unshaded occlusion state, and the MPP of the PV array moves from the left position to the right. This article has verified the MPPT performance of all algorithms by setting up these cases.

Table 3.
Photovoltaic-array shadow distribution and its maximum output power.

Figure 6.
The output characteristic curves of four shading cases: (a) P-V curves; (b) I-V curves.
4.2. Simulation Result
The power, voltage, and duty cycle obtained in these cases are shown in Figure 7, Figure 8, Figure 9 and Figure 10 below. To measure the power efficiency tracked by the algorithm, consider two power values, which are from the maximum power Pmpp obtained by the PV panel, and the maximum power Ppv that the algorithm is able to track, and the efficiency of the GMPPT can be computed using Equation (22).

Figure 7.
Tracking results of four algorithms under Case1.

Figure 8.
Tracking results of four algorithms under Case2.

Figure 9.
Tracking results of four algorithms under Case3.

Figure 10.
Tracking results of four algorithms under Case4.
Table 3 presents the peak output power and shadow pattern of the photovoltaic, which are obtained under different partial-shading conditions; these cases are used to simulate a scenario where the PV array is partially obscured by dust or shade. Under these six kinds of shading conditions, CSA-ABC, the CSA, ABC, and PSO are used for the photovoltaic MPPT, respectively, and the tracked PV power (W), PV voltage (V), and duty cycle are shown in Figure 7, Figure 8, Figure 9, Figure 10, Figure 11 and Figure 12.

Figure 11.
Simulation results of four algorithms under PSC2-PSC3.

Figure 12.
Simulation results of four algorithms under PSC4-PSC1.
In Case1, CSA-ABC, ABC, the CSA, and PSO obtained 851.7 W, 851.6 W, 848.1 W, and 845.4 W, and 99.9%, 99.8%, 99.5%, and 99.1% tracking efficiencies, respectively, with the tracking times of 0.12 s, 0.26 s, 0.19 s, and 0.5 s, respectively. Compared to ABC, CSA-ABC achieved a higher power while reducing the tracking time by 53.8%. Compared with the CSA, CSA-ABC obtains higher power and shortens the tracking time by 36.8%, which is more efficient and faster than the PSO. From the perspective of the power curve, CSA-ABC has small power fluctuations during tracking, while the CSA and PSO have multiple large power oscillations during tracking.
In Case 2, CSA-ABC, ABC, the CSA, and PSO obtained 661.1 W, 660.6 W, 660.8 W, and 655.8 W, respectively, as well as efficiencies of 100%, 99.8%, 99.9%, and 99.2%, with tracking times of 0.15 s, 0.40 s, 0.16 s, and 0.7 s, respectively. Compared to ABC, CSA-ABC achieved a higher power while reducing the tracking time by 60%. Compared with the CSA, CSA-ABC obtains a higher power and shortens the tracking time by 6.2%, which is more efficient and faster than the PSO, and shortens the tracking time by 78.6% from the perspective of the power curve. After starting tracking, CSA-ABC can quickly find the vicinity of the maximum power point and converge quickly, and there is no sudden change in power fluctuation during tracking. The power oscillation of ABC from 0.26 s to 0.4 s is caused by the reconnaissance peak mechanism, but from the tracking results, this is an unnecessary oscillation which affects the tracking speed. In this case, the CSA also suffers from abrupt power-curve changes and large power oscillations. The PSO tracks near to the maximum power point at 0.4 s, but there are small power oscillations between 0.4 s and 0.7 s, resulting in a longer tracking time.
Case3 and Case4 are both complex shadow scenes, with four peak points on the P-V characteristic curve. In Case3, CSA-ABC, ABC, the CSA, and PSO obtained 542.4 W, 542.4 W, 508.6 W, and 542.4 W power and efficiencies of 99.1%, 99.1%, 92.9%, and 99.1%, respectively, with tracking times of 0.13 s, 0.29 s, 0.22 s, and 0.6 s, respectively. Compared to ABC, CSA-ABC achieved higher powers while reducing the tracking time by 55.2%. Compared with CSA, CSA-ABC obtains a higher power and shortens the tracking time by 40.9%, which is more efficient and faster than the PSO, and shortens the tracking time by 78.3%. In case 3, the CSA is the least efficient because the CSA is too dependent on the power tracked by the best individuals in the population, and the CSA abandons the worst individuals in the population to accelerate the convergence of the algorithm, and once the optimal individuals do not find a useful solution, the entire population will converge to a lower level. For ABC, there are many obvious large oscillations in ABC during the tracking process, and there are also slight power oscillations when converging with the MPP.
In Case4, CSA-ABC, ABC, the CSA, and the PSO obtained 386.8 W, 386.8 W, 372.3 W, 380.8 W, respectively and 99.9%, 99.9%, 96.2%, and 98.4% efficiency, respectively, and tracking times of 0.15 s, 0.19 s, 0.32 s, and 0.61 s, respectively. Compared to ABC, CSA-ABC achieved a higher power while reducing the tracking time by 21.1%. Compared with the CSA, CSA-ABC obtains a higher power and shortens the tracking time by 53.1%%, which is more efficient and faster than PSO, and shortens the tracking time by 75.4%. In Case4, ABC, the CSA, and the PSO all have small power oscillations in the MPP, and there is a large power mutation in the CSA during the tracking process.
Overall, among the four static cases, the CSA has the least tracking efficiency in Case1, Case3, and Case4. The PSO is affected by the balance relationship between inertia weight and learning factor during the particle iteration process, and has the slowest convergence speed. ABC uses information interactions between different populations and the unique transformation and division of labor cooperation mechanism of bees, which can significantly improve the tracking efficiency of the algorithm, but it is inferior to the CSA in terms of convergence speed, and there is a significant gap. The CSA-ABC algorithm proposed in this article absorbs the advantages of the CSA and ABC, and has the fastest tracking speed among these four cases, and is 6.2–78.5% faster than the other three methods and has the highest tracking efficiency. And due to the influence of the gravitational mechanism between populations, the power oscillation during the tracking process of the proposed CSA-ABC is smaller.
Figure 11 and Figure 12 show the tracking curves of the four algorithms when the shadow scene changes. The shadow scene change stages are shown in Case5 and Case6. As can be seen from Figure 11 and Figure 12, The CSA-ABC algorithm proposed in this article can still track the MPP in the changing shadow scenes from PSC2 to PSC3 and PSC4 to PSC1, and it can be intuitively seen that the tracking speed of CSA-ABC is faster. In Figure 11, CSA-ABC takes only 0.13 s to re-track the new power point, which is 67.5% faster than other methods. In Figure 12, CSA-ABC takes 0.14 s to re-track, which is 58.8% faster than other methods, and the power oscillation during tracking is minimal, indicating that CSA-ABC also has stronger responsiveness in the face of changing shadows.
Judging from all the above simulation results, the success of CSA-ABC may be attributed to the population-grouping cooperation mechanism and the active abandonment of supplementary strategies, which enable the population to maintain good individual solutions. At the same time, the gravitational mechanism between individuals in adjacent populations effectively reduces power oscillations during the tracking process, and these mechanisms enable CSA-ABC to exhibit faster speeds and higher efficiencies on the photovoltaic MPPT, as well as smaller power oscillations during tracking.
Compared to the PSO, the strategy of the PSO algorithm is to keep the entire population until the next iteration. From the above PV power and duty cycle curves, it can be seen that when weak particles continue to persist in the population, the convergence speed slows down.
Compared to the CSA, the core idea of the CSA algorithm is to abandon disadvantaged individuals and move the entire group towards the dominant individual. This mechanism accelerates the algorithm’s convergence, but heavily relies on the current optimal individual, resulting in a lack of vitality within the entire group. As a consequence, the algorithm’s late-stage convergence accuracy is not high. From the PV power curves in Figure 7, Figure 8, Figure 9 and Figure 10, it can be seen that under the complex shadow conditions of Case3 and Case4, the CSA only converges near the GMPP, and even under Case1, it does not accurately track the GMPP. This reduction in accuracy adversely affects the efficiency of photovoltaic power generation to some extent.
Compared to ABC, the ABC algorithm employs a strategy of grouping the population, where the dominant group guides the disadvantaged group towards GMPP convergence. ABC introduces a scout-bee mechanism that allows bees to explore beyond local solutions, resulting in higher tracking efficiency compared to the CSA. However, this mechanism also slows down the ABC algorithm, causing its convergence speed to be slower than that of the CSA. Additionally, in Case2, the fluctuation of the PV power curve can be attributed to the scout-bee mechanism.
In order to comprehensively and further compare the performance of the proposed algorithm, we also conducted a comparative analysis with two additional hybrid algorithms, the PSO-P&O hybrid method proposed in the literature [] and the CSA-INC hybrid method proposed in the literature [].
In Case1, CSA-INC tracked the maximum power point in 0.18 s. Compared with the CSA, the power tracked by CSA-INC increased to an average of 851.1 W. Compared with PSO, the tracking speed of PSO-P&O is increased from 0.5 s to 0.3 s, which is a 40% increase in speed, and the tracked power is increased from 845.4 W to an average of 851.1 W. Compared with these two hybrid algorithms, the tracking speed of CSA-ABC is still at least 33.3% faster, but the gap in tracking efficiency has been reduced. Judging from the local amplification curve in Figure 13, both CSA-INC and PSO-P&O have periodic power oscillations in the steady state, and PSO-P&O has larger oscillations than CSA-INC. This is due to the fact that P&O and INC caused by the two methods. In contrast, CSA-ABC does not have any power oscillation during the steady state.

Figure 13.
Comparison of the results of CSA-ABC and the hybrid algorithm in the proposed literature under Case1.
Figure 14 is a comparison of the output results of CSA-ABC and the two hybrid algorithms under Case2. In Figure 14, we can see that the tracking speed of CSA-ABC is 0.15 s, the tracking speed of CSA-INC is 0.17 s, and the tracking speed of PSO-P&O Compared with PSO, the tracking speed increased from 0.7 s to 0.35 s, and the tracking power increased from 655.8 W to an average of 660.2 W. Compared with the two hybrid algorithms, CSA-ABC has the fastest speed improvement of 11.7%. During the tracking process, CSA-INC and PSO-P&O still have large power oscillations, and there are also periodic power fluctuations in the steady state.

Figure 14.
Comparison of the results of CSA-ABC and the hybrid algorithm in the proposed literature under Case2.
Figure 15 and Figure 16 are the simulation results under Case3 and Case4. In Figure 15, compared with the CSA, CSA-INC has improved the tracking speed by 31.8%, the tracking power has increased from 508.6 W to an average of 542.4 W, and the tracking efficiency has increased by 6.2%. Compared with the PSO, PSO-P&O has improved the tracking speed from 0.6 s to 0.35 s, an increase of 41.7%. Compared with CSA-ABC, CSA-ABC is the fastest in terms of tracking speed, which is 13.3% faster than the two hybrid algorithms.

Figure 15.
Comparison of the results of CSA-ABC and the hybrid algorithm in the proposed literature under Case3.

Figure 16.
Comparison of the results of CSA-ABC and the hybrid algorithm in the proposed literature under Case4.
In Figure 16, compared with CSA, the tracking speed of CSA-INC increased from 0.32 s to 0.18 s, an increase of 43.7%, and the tracking power increased from 372.3 W to average 386.8 W. Compared with PSO, the tracking speed of PSO-P&O increased from 0.61 s to 0.4 s, an increase of 34.4%. Compared with CSA-ABC, CSA-ABC is the fastest in terms of tracking speed, which is 16.6% faster than the two hybrid algorithms.
Analyzing Figure 13, Figure 14, Figure 15 and Figure 16, both two hybrid methods CSA-INC and PSO- P&O track the maximum power point, and CSA-INC has a higher tracking efficiency and faster tracking speed than the CSA, and the same is true for PSO- P&O compared to PSO. However, compared with CSA-ABC, both hybrid algorithms have periodic power oscillations at the MPP, and their power-curve oscillations are not improved from the single algorithm that composed them in the process of tracking. This is because both hybrid algorithms find the vicinity of the MPP through CSA or PSO, and then use another method to move the working point of the photovoltaic system to the MPP. In this process, after running for a period of time, the CSA or the PSO switches to INC or P&O work, which can effectively reduce the number of CSA or PSO iterations, accurately find the MPP, and speed up the tracking speed and efficiency of the algorithm. However, the two single algorithms that make up the two hybrid algorithms only complete the MPPT through sequential execution. Therefore, these two hybrid algorithms also combine the shortcomings of a single algorithm. The CSA and the PSO have large power oscillations during the tracking process, and INC and P&O have periodic steady-state oscillations at the MPP. These steady-state oscillations will cause a power loss and thus a lower system efficiency []. CSA-ABC organically combines the two methods of CSA and ABC. During the tracking process, CSA and ABC support each other and have complementary advantages. They have faster tracking speeds while ensuring a high level of tracking efficiency. At the same time, they effectively reduce the power oscillation during the tracking process, and there will be no power oscillation at the MPP. Therefore, the CSA-ABC performs better on photovoltaic MPPT.
Figure 17 and Figure 18 are the simulation results of CSA-ABC and the two hybrid algorithms under varying shades. In Figure 17, CSA-INC has a large power oscillation after the shadow change. Both PSO-P&O and CSA-ABC can quickly re-track the new maximum power point when facing the shadow change. In Figure 18, the tracking conditions of CSA-INC and PSO-P&O are opposite to those in Figure 17, but the proposed CSA-ABC performs best in both cases.

Figure 17.
Simulation results of three hybrid algorithms under PSC2-PSC3.

Figure 18.
Simulation results of three hybrid algorithms under PSC4-PSC1.
It can be seen from Figure 13, Figure 14, Figure 15, Figure 16, Figure 17 and Figure 18 that PSO- P&O and CSA-INC improve the tracking speed and tracking efficiency compared with the PSO and the CSA, but there are power oscillations in their steady states. Judging from these circumstances, the steady-state oscillation of CSA-INC is smaller than that of PSO- P&O, and generally speaking, the two hybrid algorithms of CSA-INC and PSO- P&O are limited by the algorithm-switching conditions. In photovoltaic systems, the higher the output power, the more obvious the power lost by these steady-state oscillations, which is very unfavorable for some high-power photovoltaic systems. From the results, compared with CSA-ABC, these two hybrid algorithms perform better in terms of tracking speed and tracking efficiency, and there is no steady-state oscillation. All tracking results from Case1 to Case4 are recorded in Table 4.

Table 4.
Tracking results of six algorithms in different shadow modes.
However, compared with the single algorithm, the hybrid algorithm is more complex than the CSA and ABC and requires more adjustment parameters. Correspondingly, the hybrid algorithm can also produce better performance. With the current technology and improvement of manufacturing technology, CSA-ABC is also acceptable in solving actual MPPT problems.
5. Conclusions
This paper proposes a new photovoltaic maximum power point tracking (MPPT) algorithm, namely the CSA-ABC algorithm. The algorithm combines the random-walk and global Levy-flight mechanism of the Cuckoo algorithm, and achieves a balance between global search and local search capabilities by promoting information interactions between different populations of the Artificial Bee Colony, bee species transformation, and by employing a division of labor and co-operation mechanism. Additionally, several techniques are employed to enhance the convergence speed and precision of the algorithm, and to reduce oscillations during the search process. These include the adoption of adaptive full weighting factors, the implementation of a gravitational mechanism between adjacent individuals, and the incorporation of a restart mechanism. Simulation results indicate that compared to the CSA, ABC, PSO, CSA-INC, and PSO-P&O algorithms, the proposed CSA-ABC algorithm achieves the fastest tracking speed while ensuring the highest tracking accuracy, with smaller power oscillations during the tracking process and zero power oscillations during the steady state. Furthermore, when shade conditions change, the proposed CSA-ABC algorithm can quickly and accurately restart and re-track to the new maximum output power. In our future research, the proposed MPPT algorithm will be implemented in practical solar energy systems and tested under more complex environmental conditions to further validate its effectiveness and enhance the method.
Author Contributions
P.Q.: Methodology, Writing—Original Draft, Software, Validation, Formal analysis; H.X.: Methodology, Writing—Original Draft, Software, Validation, Formal analysis; X.C.: Methodology, Writing—Original Draft, Software, Validation, Formal analysis; M.Y.: Software, validation; N.J.: Resources, Writing—Review and Editing; Y.D.: Conceptualization, Resources, Supervision, Writing—Review and Editing. All authors have read and agreed to the published version of the manuscript.
Funding
The authors would like to extend their thanks to the Basic Public Welfare Research Program of Zhejiang Province (LTGY23H170004), National Natural Science Foundation of China (62301494), and Natural Science Foundation of Zhejiang Provincial (LQ22F010006) for supporting this research work.
Data Availability Statement
Data is contained within the article.
Conflicts of Interest
The authors declare no conflicts of interest.
References
- Seyedmahmoudian, M.; Horan, B.; Soon, T.K.; Rahmani, R.; Oo, A.M.T.; Mekhilef, S.; Stojcevski, A. State of the art artificial intelligence-based MPPT techniques for mitigating partial shading effects on PV systems—A review. Renew. Sustain. Energy Rev. 2016, 64, 435–455. [Google Scholar] [CrossRef]
- Mohapatra, A.; Nayak, B.; Das, P.; Mohanty, K.B. A review on MPPT techniques of PV system under partial shading condition. Renew. Sustain. Energy Rev. 2017, 80, 854–867. [Google Scholar] [CrossRef]
- Mansoor, M.; Mirza, A.F.; Ling, Q.; Javed, M.Y. Novel Grass Hopper optimization based MPPT of PV systems for complex partial shading conditions. Sol. Energy 2020, 198, 499–518. [Google Scholar] [CrossRef]
- Bollipo, R.B.; Mikkili, S.; Bonthagorla, P.K. Hybrid, optimal, intelligent and classical PV MPPT techniques: A review. CSEE J. Power Energy Syst. 2020, 7, 9–33. [Google Scholar] [CrossRef]
- Vijayakumari, A. A non-iterative MPPT of PV array with online measured short circuit and open circuit quantities. J. King Saud Univ. Eng. Sci. 2021, 33, 176–185. [Google Scholar] [CrossRef]
- Chalh, A.; Chaibi, R.; Hammoumi, A.E.; Motahhir, S.; Ghzizal, A.E.; Al-Dhaifallah, M. A novel MPPT design based on the seagull optimization algοrithm for phοtovοltaic systems operating under partial shading. Sci. Rep. 2022, 12, 21804. [Google Scholar] [CrossRef] [PubMed]
- Webb, B. Swarm intelligence: From natural to artificial systems. Connect. Sci. 2002, 14, 163–164. [Google Scholar] [CrossRef]
- Kaced, K.; Larbes, C.; Ait-Chikh, S.M.; Bounabi, M.; Dahmane, Z.E. FPGA implementation of PSO based MPPT for PV systems under partial shading conditions. In Proceedings of the 2017 6th International Conference on Systems and Control (ICSC), Batna, Algeria, 7–9 May 2017; IEEE: Piscataway, NJ, USA, 2017; pp. 150–155. [Google Scholar] [CrossRef]
- Jiang, L.L.; Maskell, D.L. A uniform implementation scheme for evolutionary optimization algorithms and the experimental implementation of an ACO based MPPT for PV systems under partial shading. In Proceedings of the 2014 IEEE Symposium on Computational Intelligence Applications in Smart Grid (CIASG), Orlando, FL, USA, 9–12 December 2014; IEEE: Piscataway, NJ, USA, 2014; pp. 1–8. [Google Scholar] [CrossRef]
- Enany, M.A. Cuckoo search–based maximum power point tracking controller for PV water pumping system. J. Renew. Sustain. Energy 2017, 9, 063501. [Google Scholar] [CrossRef]
- González-Castaño, C.; Restrepo, C.; Kouro, S.; Rodriguez, J. MPPT algorithm based on artificial bee colony for PV system. IEEE Access 2021, 9, 43121–43133. [Google Scholar] [CrossRef]
- Mohanty, S.; Subudhi, B.; Ray, P.K. A new MPPT design using grey wolf optimization technique for photovoltaic system under partial shading conditions. IEEE Trans. Sustain. Energy 2015, 7, 181–188. [Google Scholar] [CrossRef]
- Mirza, A.F.; Mansoor, M.; Ling, Q.; Yin, B.; Javed, M.Y. A Salp-Swarm Optimization based MPPT technique for harvesting maximum energy from PV systems under partial shading conditions. Energy Convers. Manag. 2020, 209, 112625. [Google Scholar] [CrossRef]
- Dalila, F.; Mohamed, F.; Immad, S.; Mekhilef, S. A novel global MPPT technique based on squirrel search algorithm for PV module under partial shading conditions. Energy Convers. Manag. 2021, 230, 113773. [Google Scholar] [CrossRef]
- Figueiredo, S.; Silva, R.N.A.L. Hybrid mppt technique PSO-P&O applied to photovoltaic systems under uniform and partial shading conditions. IEEE Lat. Am. Trans. 2021, 19, 1610–1617. [Google Scholar] [CrossRef]
- Fu, C.; Zhang, L.; Dong, W. Research and Application of MPPT Control Strategy Based on Improved Slime Mold Algorithm in Shaded Conditions. Electronics 2022, 11, 2122. [Google Scholar] [CrossRef]
- Chai, L.G.K.; Gopal, L.; Juwono, F.H.; Chiong, C.W.; Ling, H.-C.; Basuki, T.A. A novel global MPPT technique using improved PS-FW algorithm for PV system under partial shading conditions. Energy Convers. Manag. 2021, 246, 114639. [Google Scholar] [CrossRef]
- Wan, Y.; Mao, M.; Zhou, L.; Zhang, Q.; Xi, X.; Zheng, C. A Novel Nature-Inspired Maximum Power Point Tracking (MPPT) Controller Based on SSA-GWO Algorithm for Partially Shaded Photovoltaic Systems. Electronics 2019, 8, 680. [Google Scholar] [CrossRef]
- Bouselham, L.; Hajji, M.; Hajji, B.; Bouali, H. A new MPPT-based ANN for photovoltaic system under partial shading conditions. Energy Procedia 2017, 111, 924–933. [Google Scholar] [CrossRef]
- Hassan, S.; Abdelmajid, B.; Mourad, Z.; Aicha, S.; Abdenaceur, B. An advanced MPPT based on artificial bee colony algorithm for MPPT photovoltaic system under partial shading condition. Int. J. Power Electron. Drive Syst. 2017, 8, 647–653. [Google Scholar] [CrossRef]
- Hou, T.; Wang, S. Research on the MPPT of Photovoltaic Power Generation Based on the CSA-INC Algorithm. Energy Eng. 2023, 120, 87–106. [Google Scholar] [CrossRef]
- Pilakkat, D.; Kanthalakshmi, S. An improved P&O algorithm integrated with artificial bee colony for photovoltaic systems under partial shading conditions. Sol. Energy 2019, 178, 37–47. [Google Scholar] [CrossRef]
- Belhachat, F.; Larbes, C. Comprehensive review on global maximum power point tracking techniques for PV systems subjected to partial shading conditions. Sol. Energy 2019, 183, 476–500. [Google Scholar] [CrossRef]
- Gao, L.; Dougal, R.A.; Liu, S.; Iotova, A.P. Parallel-connected solar PV system to address partial and rapidly fluctuating shadow conditions. IEEE Trans. Ind. Electron. 2009, 56, 1548–1556. [Google Scholar] [CrossRef]
- Mirza, A.F.; Mansoor, M.; Ling, Q. A novel MPPT technique based on Henry gas solubility optimization. Energy Convers. Manag. 2020, 225, 113409. [Google Scholar] [CrossRef]
- Mareli, M.; Twala, B. An adaptive Cuckoo search algorithm for optimization. Appl. Comput. Inform. 2018, 14, 107–115. [Google Scholar] [CrossRef]
- Omkar, S.N.; Senthilnath, J.; Khandelwal, R.; Naik, G.N.; Gopalakrishnan, S. Artificial Bee Colony (ABC) for multi-objective design optimization of composite structures. Appl. Soft Comput. 2011, 11, 489–499. [Google Scholar] [CrossRef]
- Kim, W.; Choi, W. A novel parameter extraction method for the one-diode solar cell model. Solar Energy 2010, 84, 1008–1019. [Google Scholar] [CrossRef]
- Fathy, A.; Rezk, H.; Yousri, D. A robust global MPPT to mitigate partial shading of triple-junction solar cell-based system using manta ray foraging optimization algorithm. Solar Energy 2020, 207, 305–316. [Google Scholar] [CrossRef]
- Hajighorbani, S.; Radzi, M.A.M.; Ab Kadir, M.Z.A.; Shafie, S.; Khanaki, R.; Maghami, M.R. Evaluation of Fuzzy Logic Subsets Effects on Maximum Power Point Tracking for Photovoltaic System. Int. J. Photoenergy 2014, 2014, 719126. [Google Scholar] [CrossRef]
- Charaabi, A.; Barambones, O.; Zaidi, A.; Zanzouri, N. A Novel Two Stage Controller for a DC-DC Boost Converter to Harvest Maximum Energy from the PV Power Generation. Actuators 2020, 9, 29. [Google Scholar] [CrossRef]
- Ishaque, K.; Salam, Z.; Amjad, M.; Mekhilef, S. An improved particle swarm optimization (PSO)–based MPPT for PV with reduced steady-state oscillation. IEEE Trans. Power Electron. 2012, 27, 3627–3638. [Google Scholar] [CrossRef]
Disclaimer/Publisher’s Note: The statements, opinions and data contained in all publications are solely those of the individual author(s) and contributor(s) and not of MDPI and/or the editor(s). MDPI and/or the editor(s) disclaim responsibility for any injury to people or property resulting from any ideas, methods, instructions or products referred to in the content. |
© 2024 by the authors. Licensee MDPI, Basel, Switzerland. This article is an open access article distributed under the terms and conditions of the Creative Commons Attribution (CC BY) license (https://creativecommons.org/licenses/by/4.0/).