Evaluation and Mitigation of Weight-Related Single Event Upsets in a Convolutional Neural Network
Abstract
1. Introduction
2. Fault Injection
2.1. Simulation Framework
| Algorithm 1 Inject-Fault |
![]() |
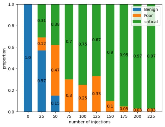
2.2. Results before Hardening
3. Hardening Methods and Validation
3.1. Weight Limiting
3.2. Selective TMR
4. Conclusions
Author Contributions
Funding
Data Availability Statement
Conflicts of Interest
References
- Motamedi, M.; Gysel, P.; Akella, V.; Ghiasi, S. Design space exploration of FPGA-based Deep Convolutional CNNs. In Proceedings of the 2016 21st Asia and South Pacific Design Automation Conference (ASP-DAC), Macao, China, 25–28 January 2016; pp. 575–580. [Google Scholar]
- Wu, T.; Yang, X.; Song, B.; Wang, N. T-SCNN: A Two-Stage Convolutional CNN for Space Target Recognition. In Proceedings of the IGARSS 201-2019 IEEE International Geoscience and Remote Sensing Symposium, Yokohama, Japan, 28 July–2 August 2019; pp. 1334–1337. [Google Scholar]
- Zou, A.-M.; Kumar, K.D.; Hou, Z.-G. Quaternion-based adaptive output feedback attitude control of spacecraft using chebyshev neural networks. IEEE Trans. Neural Networks 2010, 21, 1457–1471. [Google Scholar] [CrossRef]
- Gao, H.; Cheng, B.; Wang, J.; Li, K.; Zhao, J.; Li, D. Object classification using CNN-based fusion of vision and LIDAR in autonomous vehicle environment. IEEE Trans. Ind. Inform. 2018, 14, 4224–4231. [Google Scholar] [CrossRef]
- Sierawski, B.D.; Pellish, J.A.; Reed, R.A.; Schrimpf, R.D.; Warren, K.M.; Weller, R.A.; Mendenhall, M.H.; Black, J.D.; Tipton, A.D.; Xapsos, M.A.; et al. Impact of Low-Energy Proton Induced Upsets on Test Methods and Rate Predictions. IEEE Trans. Nucl. Sci. 2009, 56, 3085–3092. [Google Scholar] [CrossRef]
- Warren, K.; Weller, R.; Mendenhall, M.; Reed, R.; Ball, D.; Howe, C.; Olson, B.; Alles, M.; Massengill, L.; Schrimpf, R.; et al. The contribution of nuclear reactions to heavy ion single event upset cross-section measurements in a high-density SEU hardened SRAM. IEEE Trans. Nucl. Sci. 2005, 52, 2125–2131. [Google Scholar] [CrossRef]
- Su, F.; Liu, C.; Stratigopoulos, H.-G. Testability and dependability of AI hardware: Survey, trends, challenges, and perspectives. IEEE Des. Test 2023, 40, 8–58. [Google Scholar] [CrossRef]
- Ibrahim, Y.; Wang, H.; Liu, J.; Wei, J.; Chen, L.; Rech, P.; Adam, K.; Guo, G. Soft errors in DNN accelerators: A comprehensive review. Microelectron. Reliab. 2020, 115, 113969. [Google Scholar] [CrossRef]
- Santos, F.F.D.; Draghetti, L.; Weigel, L.; Carro, L.; Navaux, P.; Rech, P. Evaluation and Mitigation of Soft-Errors in CNN-Based Object Detection in Three GPU Architectures. In Proceedings of the 2017 47th Annual IEEE/IFIP International Conference on Dependable Systems and CNNs Workshops (DSN-W), Denver, CO, USA, 26–29 June 2017; pp. 169–176. [Google Scholar]
- Libano, F.; Wilson, B.; Anderson, J.; Wirthlin, M.; Cazzaniga, C. Selective Hardening for CNNs in FPGAs. IEEE Trans. Nucl. Sci. 2019, 66, 216–222. [Google Scholar] [CrossRef]
- Blower, S.; Rech, P.; Cazzaniga, C.; Kastriotou, M.; Frost, C.D. Evaluating and Mitigating Neutrons Effects on COTS EdgeAI Accel-erators. IEEE Trans. Nucl. Sci. 2021, 68, 1719–1726. [Google Scholar] [CrossRef]
- Kchaou, A.; EL Hadj Youssef, W.; Tourki, R. SEUs Mitigation on Program Counter of the LEON3 Soft Processor. Int. J. Adv. Comput. Sci. Appl. 2017, 8, 080737. [Google Scholar] [CrossRef][Green Version]
- Saleh, A.; Serrano, J.; Patel, J. Reliability of scrubbing recovery-techniques for memory systems. IEEE Trans. Reliab. 1990, 39, 114–122. [Google Scholar] [CrossRef]
- Sabena, D.; Reorda, M.S.; Sterpone, L.; Rech, P.; Carro, L. On the evaluation of soft-errors detection techniques for GPGPUs. In Proceedings of the 2013 8th IEEE Design and Test Symposium, Marrakesh, Morocco, 16–18 December 2013; pp. 1–6. [Google Scholar]
- Oliveira, D.A.G.; Rech, P.; Quinn, H.M.; Fairbanks, T.D.; Monroe, L.; Michalak, S.E.; Anderson-Cook, C.; Navaux, P.O.A.; Carro, L. Modern GPUs radiation sensitivity evaluation and mitigation through duplication with comparison. IEEE Trans. Nucl. Sci. 2014, 61, 3115–3122. [Google Scholar] [CrossRef]
- Kwon, S.; Lee, K.; Kim, Y.; Kim, K.; Lee, C.; Ro, W.W. Measuring error-tolerance in SRAM architecture on hardware accelerated CNN. In Proceedings of the 2016 IEEE International Conference on Consumer Electronics-Asia (ICCE-Asia), Seoul, Republic of Korea, 26–28 October 2016; pp. 1–4. [Google Scholar]
- Libano, F.; Wilson, B.; Wirthlin, M.; Rech, P.; Brunhaver, J. Understanding the Impact of Quantization, Accuracy, and Radiation on the Reliability of Convolutional CNNs on FPGAs. IEEE Trans. Nucl. Sci. 2020, 67, 1478–1484. [Google Scholar] [CrossRef]
- Wang, H.B.; Wang, Y.S.; Xiao, J.H.; Wang, S.L.; Liang, T.J. Impact of Single-Event Upsets on Convolutional CNNs in Xilinx Zynq FPGAs. IEEE Trans. Nucl. Sci. 2021, 68, 394–401. [Google Scholar] [CrossRef]
- Arechiga, A.P.; Michaels, A.J. The Robustness of Modern Deep Learning Architectures against Single Event Upset Errors. In Proceedings of the 2018 IEEE High Performance Extreme Computing Conference (HPEC), Waltham, MA, USA, 25–27 September 2018; pp. 1–6. [Google Scholar]
- Rech, P.; Aguiar, C.; Frost, C.; Carro, L. An efficient and experimen tally tuned software-based hardening strategy for matrix mul-tiplication on gpus. IEEE Trans. Nucl. Sci. 2013, 60, 2797–2804. [Google Scholar] [CrossRef]
- Ruospo, A.; Gavarini, G.; de Sio, C.; Guerrero, J.; Sterpone, L.; Reorda, M.S.; Sanchez, E.; Mariani, R.; Aribido, J.; Athavale, J. Assessing Convolutional Neural Networks Reliability through Statistical Fault Injections. In Proceedings of the 2023 Design, Automation & Test in Europe Conference & Exhibition (DATE), Antwerp, Belgium, 17–19 April 2023; pp. 1–6. [Google Scholar]
- Huang, Z.; Shao, W.; Wang, X.; Lin, L.; Luo, P. Rethinking the pruning criteria for convolutional neural network. Adv. Neural Inf. Process. Syst. 2021, 34, 16305–16318. [Google Scholar]












| Layer | All | Layer 1 | Layer 2 | Layer 3 | Layer 4 | Layer 5 | Layer 6 | Layer 7 |
|---|---|---|---|---|---|---|---|---|
| Number of weights | 44,426 | 156 | 0 | 2416 | 0 | 30,840 | 10,164 | 850 |
Disclaimer/Publisher’s Note: The statements, opinions and data contained in all publications are solely those of the individual author(s) and contributor(s) and not of MDPI and/or the editor(s). MDPI and/or the editor(s) disclaim responsibility for any injury to people or property resulting from any ideas, methods, instructions or products referred to in the content. |
© 2024 by the authors. Licensee MDPI, Basel, Switzerland. This article is an open access article distributed under the terms and conditions of the Creative Commons Attribution (CC BY) license (https://creativecommons.org/licenses/by/4.0/).
Share and Cite
Cai, Y.; Cai, M.; Wu, Y.; Lu, J.; Bian, Z.; Liu, B.; Cui, S. Evaluation and Mitigation of Weight-Related Single Event Upsets in a Convolutional Neural Network. Electronics 2024, 13, 1296. https://doi.org/10.3390/electronics13071296
Cai Y, Cai M, Wu Y, Lu J, Bian Z, Liu B, Cui S. Evaluation and Mitigation of Weight-Related Single Event Upsets in a Convolutional Neural Network. Electronics. 2024; 13(7):1296. https://doi.org/10.3390/electronics13071296
Chicago/Turabian StyleCai, Yulong, Ming Cai, Yanlai Wu, Jian Lu, Zeyu Bian, Bingkai Liu, and Shuai Cui. 2024. "Evaluation and Mitigation of Weight-Related Single Event Upsets in a Convolutional Neural Network" Electronics 13, no. 7: 1296. https://doi.org/10.3390/electronics13071296
APA StyleCai, Y., Cai, M., Wu, Y., Lu, J., Bian, Z., Liu, B., & Cui, S. (2024). Evaluation and Mitigation of Weight-Related Single Event Upsets in a Convolutional Neural Network. Electronics, 13(7), 1296. https://doi.org/10.3390/electronics13071296

