Design of a Short Reference Differential Chaotic Shift Keying Communication System Based on Reference Signal Scrambling Transformation
Abstract
1. Introduction
2. System Model of RSST-SR-DCSK
2.1. Chaotic Signal Generator
2.2. Signal Slot Structure of RSST-SR-DCSK
2.3. Transmitter Structure of RSST-SR-DCSK
2.4. Receiver Structure of RSST-SR-DCSK
3. Bit Error Rate Analysis of RSST-SR-DCSK System
4. Analysis of Anti-Jamming Performance
5. Experimental Simulation Analysis
5.1. Energy Efficiency of the RSST-SR-DCSK System
5.2. Confidentiality Analysis
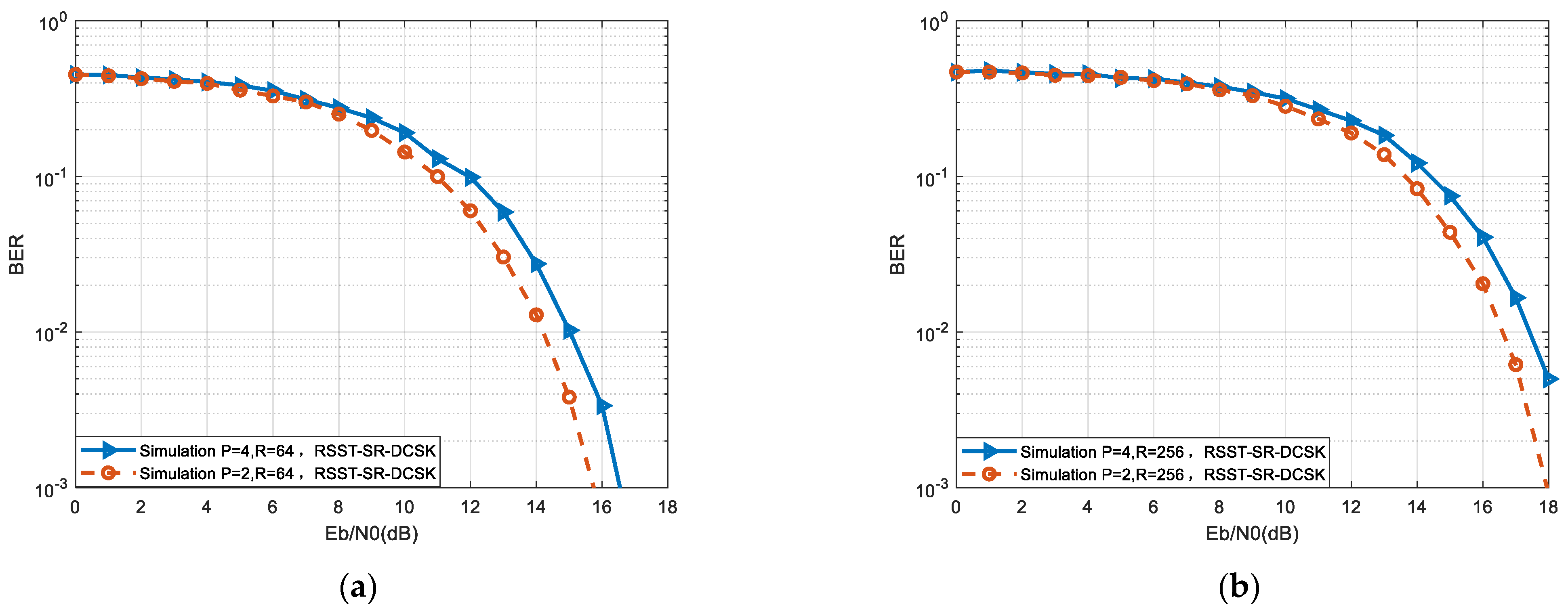
5.3. The Impact of Different Replication Times P on the System
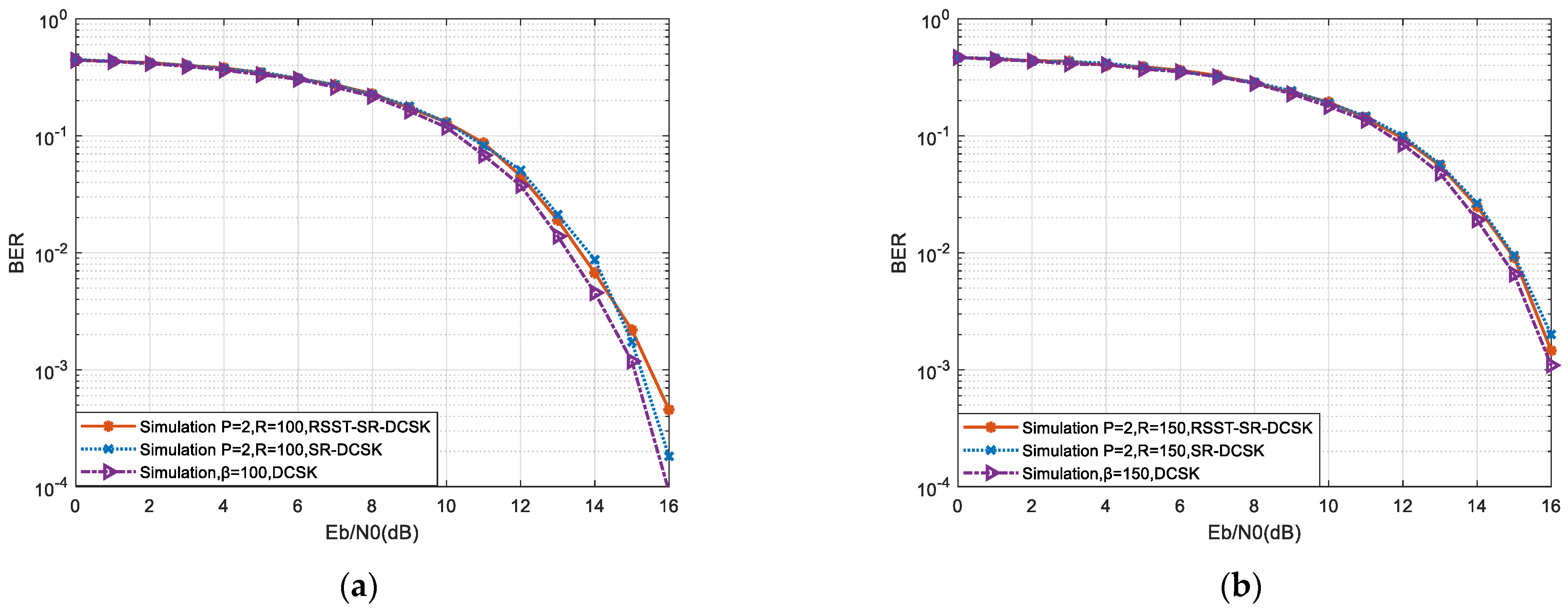
5.4. Effect of Spread Spectrum Factor on System Performance
6. Conclusions
Author Contributions
Funding
Data Availability Statement
Conflicts of Interest
References
- Kolumbán, G.; Kennedy, M.P.; Chua, L.-O. The role of synchronization in digital communications using chaos—Part I: Fundamentals of digital communications. IEEE Trans. Circuits Syst. I Fundam. Theory Appl 1997, 44, 927–936. [Google Scholar] [CrossRef]
- Lau, F.C.M.; Tse, C.-K. Chaos-Based Digital Communication Systems; Springer: Berlin/Heidelberg, Germany, 2003. [Google Scholar]
- Hu, W.; Wang, L.; Kaddoum, G. Design and performance analysis of a differentially spatial modulated chaos shift keying modulation system. IEEE Trans. Circuits Syst. II Express Briefs 2017, 64, 1302–1306. [Google Scholar] [CrossRef]
- Liu, F.; Feng, Y.-X. Dynamic Multimapping Composite Chaotic Sequence Generator Algorithm. Int. J. Electron. Commun. 2019, 107, 231–238. [Google Scholar] [CrossRef]
- Kolumbán, G.; Vizvári, B.; Schwarz, W.; Abel, A. Differential chaos shift keying: A robust coding for chaotic communication. In Proceedings of the 4th International Workshop on Nonlinear Dynamics of Electronic Systems, Sevilla, Spain, 27–28 June 1996; Volume 6, pp. 87–92. [Google Scholar]
- Yang, H.; Jiang, G.-P. High-efficiency differential-chaos-shift-keying scheme for chaos-based noncoherent communication. IEEE Trans. Circuits Syst. II Express Briefs 2012, 59, 312–316. [Google Scholar] [CrossRef]
- Kaddoum, G.; Richardson, F.-D.; Gagnon, F. Design and analysis of a Multi-Carrier differential chaos shift keying communication system. IEEE Trans. Commun. 2013, 61, 3281–3291. [Google Scholar] [CrossRef]
- Sui, T.; Feng, Y.; Qian, B.; Liu, F.; Jiang, Q.; Li, X. Design and Analysis of a Multi−Carrier Orthogonal Double Bit Rate Differential Chaotic Shift Keying Communication System. Electronics 2023, 12, 1785. [Google Scholar] [CrossRef]
- Chen, Z.-W.; Zhang, L.; Wu, Z.-Q.; Wang, L.; Xu, W. Reliable and efficient sparse code spreading aided MC-DCSK transceiver design for multiuser transmissions. IEEE Trans. Commun. 2021, 69, 1480–1495. [Google Scholar] [CrossRef]
- Kaddoum, G.; Soujeri, E.; Nijsure, Y. Design of a Short Reference Noncoherent Chaos-Based Communication Systems. IEEE Trans. Commun. 2016, 64, 680–689. [Google Scholar] [CrossRef]
- Kaddoum, G.; Tran, H.-V.; Kong, L.; Atallah, M. Design of Simultaneous Wireless Information and Power Transfer Scheme for Short Reference DCSK Communication Systems. IEEE Trans. Commun. 2017, 65, 431–443. [Google Scholar] [CrossRef]
- Xu, W.; Wang, L. CIM-DCSK: A differential chaos shift keying scheme with code-index modulation. In Proceedings of the 2016 16th International Symposium on Communications and Information Technologies (ISCIT), Qingdao, China, 26–28 September 2016; Volume 16, pp. 100–104. [Google Scholar]
- Guo, R.; Li, M.; Liu, X.; Wei, Z. Research on Space Laser Hybrid Chaotic Shift Keying Secure Communication System. In Proceedings of the 2020 International Conference on Wireless Communications and Smart Grid (ICWCSG), Qingdao, China, 12–14 June 2020; pp. 14–17. [Google Scholar]
- Sui, T.; Feng, Y.-X.; Jiang, Q.; Liu, F.; Zhang, T. Design and Analysis of a Short Reference Orthogonal Double Bit Rate Differential Chaotic Shift Keying Communication Scheme. Electronics 2022, 11, 2020. [Google Scholar] [CrossRef]
- Zhang, G.; Lai, R.-C.; Jiang, Z.-J. A Noise Reducing Multi-carrier DCSK Communication System Based on Carrier Phase and Code Index Modulation. Wirel. Pers. Commun. 2023, 130, 1295–1316. [Google Scholar] [CrossRef]
- Zhang, G.; He, P.; He, L. Multi-carrier multi-level DCSK communication system based on time-reversal. Ann. Telecommun. 2023, 78, 235–247. [Google Scholar] [CrossRef]
- Qiu, W.; Yang, Y.; Feng, Y.; Zhang, L.; Wu, Z. Secure MIMO Communication System with Frequency Hopping Aided OFDM-DCSK Modulation. Electronics 2022, 11, 3029. [Google Scholar] [CrossRef]
- Kaddoum, G. Design and performance analysis of a multi-user OFDM based differential chaos shift keying communication system. IEEE Trans. Commun. 2016, 64, 249–260. [Google Scholar] [CrossRef]
- Liu, Z.-F.; Cheung, S.-H.; Zhang, L.-L.; Xiao, P. Robust Receiver for OFDM-DCSK Modulation via Rank-1 Modeling and ℓp-Minimization. Signal Process. 2021, 188, 108219. [Google Scholar] [CrossRef]
- Zhu, Z.-Q.; Chen, P.-P.; Lin, Z.-J.; Chen, H.-Y.; Fang, Y. DPI DCSK Modulation with BCJR Decoding. Int. J. Bifurc. Chaos 2023, 33, 2350042. [Google Scholar] [CrossRef]
- Cai, X.-M.; Xu, W.-K.; Hong, S.-H.; Wang, L. A Trinal-Code Shifted Differential Chaos Shift Keying System. IEEE Commun. Lett. 2021, 25, 1000–1004. [Google Scholar] [CrossRef]
- Ma, H.; Cai, G.-F.; Fang, I.; Chen, P.-P.; Chen, G.-R. Design of a Superposition Coding PPM-DCSK System for Downlink Multi-User Transmission. IEEE Trans. Veh. Technol. 2020, 69, 1666–1678. [Google Scholar] [CrossRef]
- Chen, M.-L.; Xu, W.-K.; Wang, D.-Q.; Wang, L. Multi-carrier chaotic communication scheme for underwater acoustic communications. IET Commun. 2019, 13, 2097–2105. [Google Scholar] [CrossRef]
- Sahin, M.-E.; Kolumbán, G.; Hamamci, S.-E.; Guler, H. Use of memristor-based chaotic circuits in AM-DCSK and FM-DCSK modulation. Phys. Scr. 2023, 98, 105228. [Google Scholar] [CrossRef]
- Cai, X.-M.; Xu, W.-K.; Hong, S.-H.; Wang, L. Discrete W Transform Based Index-Keying M-Ary DCSK for Non-Coherent Chaotic Communications. IEEE Commun. Lett. 2021, 25, 3104–3108. [Google Scholar] [CrossRef]
- Biswas, N.; Mohamed, I.-R. DCSK performance analysis of a chaos-based communication using a newly designed chaotic system. Int. J. Nonlinear Sci. Numer. Simul. 2021, 23, 579–592. [Google Scholar] [CrossRef]
- Sushchik, M.; Tsimring, L.-S.; Volkovskii, A.-R. Performance analysis of correlation-based communication schemes utilizing chaos. IEEE Trans. Circuits Syst. I Fundam. Theory Appl. 2000, 47, 1684–1691. [Google Scholar] [CrossRef]














Disclaimer/Publisher’s Note: The statements, opinions and data contained in all publications are solely those of the individual author(s) and contributor(s) and not of MDPI and/or the editor(s). MDPI and/or the editor(s) disclaim responsibility for any injury to people or property resulting from any ideas, methods, instructions or products referred to in the content. |
© 2024 by the authors. Licensee MDPI, Basel, Switzerland. This article is an open access article distributed under the terms and conditions of the Creative Commons Attribution (CC BY) license (https://creativecommons.org/licenses/by/4.0/).
Share and Cite
Sui, T.; Yu, Q.; Qian, B.; Feng, Y.; Liu, F. Design of a Short Reference Differential Chaotic Shift Keying Communication System Based on Reference Signal Scrambling Transformation. Electronics 2024, 13, 1245. https://doi.org/10.3390/electronics13071245
Sui T, Yu Q, Qian B, Feng Y, Liu F. Design of a Short Reference Differential Chaotic Shift Keying Communication System Based on Reference Signal Scrambling Transformation. Electronics. 2024; 13(7):1245. https://doi.org/10.3390/electronics13071245
Chicago/Turabian StyleSui, Tao, Qihao Yu, Bo Qian, Yongxin Feng, and Fang Liu. 2024. "Design of a Short Reference Differential Chaotic Shift Keying Communication System Based on Reference Signal Scrambling Transformation" Electronics 13, no. 7: 1245. https://doi.org/10.3390/electronics13071245
APA StyleSui, T., Yu, Q., Qian, B., Feng, Y., & Liu, F. (2024). Design of a Short Reference Differential Chaotic Shift Keying Communication System Based on Reference Signal Scrambling Transformation. Electronics, 13(7), 1245. https://doi.org/10.3390/electronics13071245

