Software-Defined Time-Sensitive Networking for Cross-Domain Deterministic Transmission
Abstract
1. Introduction
- (1)
- We propose an SD-TSN framework that builds end-to-end transmission across non-TSN domains for time-sensitive traffic flows. It exploits the coordination between the coordinated controller and different domain controllers to bound queuing delays in non-TSN domains to provide deterministic guarantees.
- (2)
- Within SD-TSN, we design a multi-domain, time-aware traffic scheduling model that harmonizes the TAS in TSN domains and time slots in non-TSN domains based on the global view to generate transmission schedules for time-sensitive traffic flows in each domain.
- (3)
- We conducted extensive experiments in the simulation environment and prototype testbed. The experimental results demonstrate that the proposed method can provide bounded delay and low delay variation guarantees for transmission across non-TSN domains.
2. Related Work
3. Software-Defined Time-Sensitive Networking Framework
3.1. Physical Infrastructure Plane
3.2. Orchestration and Configuration Plane
- Topology discovery: This module exploits and collects the Link Layer Discovery Protocol (LLDP) to discover the network topology of the domain to support the path computation. Moreover, it sends LLDP messages periodically in a way that ensures the real-time discovery of the changes in topology, such as node addition and deletion.
- Path computation: Based on the topology information, it is responsible for computing the transmission path for each traffic flow according to the strategies from the coordinated controller. Various routing algorithms can be used for path computation, such as the Dijkstra shortest-path algorithm.
- Traffic scheduling: It is in charge of generating schedules for the domain to indicate the transmission behavior of traffic flows, such that it guarantees determinism. Based on the requirements from the CUC and strategies from the coordinated controller, this module leverages scheduling algorithms to compute the schedules, such as integer linear programming (ILP)-based and heuristic-based algorithms.
- Resource pool: It records all flows’ transmission behavior (e.g., sending time on the node) and the network state (e.g., bandwidth, throughput, and utilization) in the domain, and it updates them to the coordinated controller to form the global view.
- Resource management: This module records the network resources from all domain controllers and formulates a global view of all network domains.
- Topology management: This module collects the topology information of each domain to build the topology of all network domains.
- Path management: It computes the path for the end-to-end connection across multiple domains based on the global topology information.
- Connection management: It builds the end-to-end connection for services across multiple network domains and manages the connections.
- Time synchronization: It manages and configures the time synchronization functions between multiple network domains.
- Traffic policy: Based on the global view of the network, it coordinates the transmission schedules among network domains.
3.3. Application Plane
4. Multi-Domain Time-Aware Traffic Scheduling
4.1. System Model
4.2. Problem Formulation
4.3. Scheduling Algorithm
| Algorithm 1 Tabu search-based multiple-domain scheduling algorithm |
Input: Flow set F, Network domain set Output: Schedule set S
|
5. Performance Evaluation
5.1. Evaluation in Simulated Environments
5.1.1. Simulation Setup
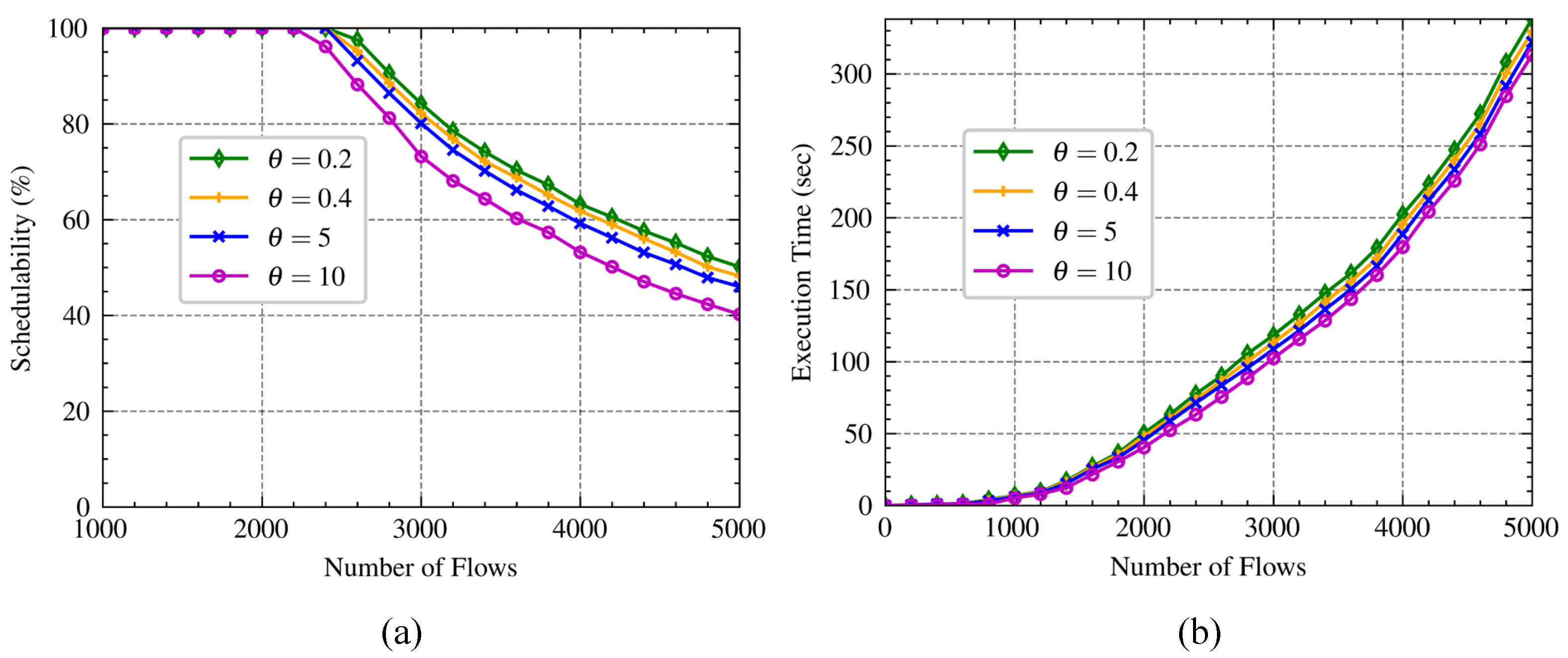
5.1.2. Simulation Results
5.2. Evaluation on Testbed in Real Environment
5.2.1. Experimental Setup
5.2.2. Experimental Results
6. Conclusions and Future Works
Author Contributions
Funding
Data Availability Statement
Conflicts of Interest
Abbreviations
| TSN | Time-Sensitive Networking |
| SDN | Software-Defined Networking |
| SD-TSN | Software-Defined Time-Sensitive Networking |
| TAS | Time-Aware Shaper |
| BE | Best-Effort |
| GCL | Gate Control List |
| IT | Information Technology |
| OT | Operational Technology |
| DetNet | Deterministic Networking |
| LDN | Large-scale Deterministic Network |
| DIP | Deterministic IP |
| URLLC | Ultra-Reliable and Ultra-Low Latency Communications |
| SRv6 | Segment Routing IPv6 |
| DS-TT | Device-Side TSN Translator |
| NW-TT | Network-Side TSN Translator |
| DDN | Deterministic Dynamic Networks |
| CUC | Centralized User Configuration |
| CNC | Centralized Network Configuration |
| LLDP | Link Layer Discovery Protocol |
| ILP | Integer Linear Programming |
| SMT | Satisfiability Modulo Theories |
| WCD | Worst-Case Delay |
| PCP | Priority Code Point |
| VLAN | Virtual Local Area Network |
| API | Application Programming Interface |
References
- Wollschlaeger, M.; Sauter, T.; Jasperneite, J. The future of industrial communication: Automation networks in the era of the internet of things and industry 4.0. IEEE Ind. Electron. Mag. 2017, 11, 17–27. [Google Scholar] [CrossRef]
- Yang, H.; Alphones, A.; Zhong, W.D.; Chen, C.; Xie, X. Learning-based energy-efficient resource management by heterogeneous RF/VLC for ultra-reliable low-latency industrial IoT networks. IEEE Trans. Ind. Inform. 2019, 16, 5565–5576. [Google Scholar] [CrossRef]
- Moyne, J.R.; Tilbury, D.M. The emergence of industrial control networks for manufacturing control, diagnostics, and safety data. Proc. IEEE 2007, 95, 29–47. [Google Scholar] [CrossRef]
- Atallah, A.A.; Hamad, G.B.; Mohamed, O.A. Routing and scheduling of time-triggered traffic in time-sensitive networks. IEEE Trans. Ind. Inform. 2019, 16, 4525–4534. [Google Scholar] [CrossRef]
- Bruckner, D.; Stănică, M.P.; Blair, R.; Schriegel, S.; Kehrer, S.; Seewald, M.; Sauter, T. An introduction to OPC UA TSN for industrial communication systems. Proc. IEEE 2019, 107, 1121–1131. [Google Scholar] [CrossRef]
- Bello, L.L.; Steiner, W. A perspective on IEEE time-sensitive networking for industrial communication and automation systems. Proc. IEEE 2019, 107, 1094–1120. [Google Scholar] [CrossRef]
- Xue, J.; Shou, G.; Li, H.; Liu, Y. Enabling deterministic communications for end-to-end connectivity with software-defined time-sensitive networking. IEEE Netw. 2022, 36, 34–40. [Google Scholar] [CrossRef]
- Leonardi, L.; Bello, L.L.; Patti, G. Bandwidth partitioning for Time-Sensitive Networking flows in automotive communications. IEEE Commun. Lett. 2021, 25, 3258–3261. [Google Scholar] [CrossRef]
- Nasrallah, A.; Thyagaturu, A.S.; Alharbi, Z.; Wang, C.; Shao, X.; Reisslein, M.; ElBakoury, H. Ultra-low latency (ULL) networks: The IEEE TSN and IETF DetNet standards and related 5G ULL research. IEEE Commun. Surv. Tutor. 2018, 21, 88–145. [Google Scholar] [CrossRef]
- Kalør, A.E.; Guillaume, R.; Nielsen, J.J.; Mueller, A.; Popovski, P. Network slicing in industry 4.0 applications: Abstraction methods and end-to-end analysis. IEEE Trans. Ind. Inform. 2018, 14, 5419–5427. [Google Scholar] [CrossRef]
- Tan, W.; Wu, B.; Wang, S.; Huang, T. Large-scale Deterministic Transmission among IEEE 802.1 Qbv Time-Sensitive Networks. In Proceedings of the ICC 2022-IEEE International Conference on Communications, Seoul, Republic of Korea, 16–20 May 2022; IEEE: Piscataway, NJ, USA, 2022; pp. 2315–2320. [Google Scholar]
- Kreutz, D.; Ramos, F.M.; Verissimo, P.E.; Rothenberg, C.E.; Azodolmolky, S.; Uhlig, S. Software-defined networking: A comprehensive survey. Proc. IEEE 2014, 103, 14–76. [Google Scholar] [CrossRef]
- Bello, L.L.; Lombardo, A.; Milardo, S.; Patti, G.; Reno, M. Experimental assessments and analysis of an SDN framework to integrate mobility management in industrial wireless sensor networks. IEEE Trans. Ind. Inform. 2020, 16, 5586–5595. [Google Scholar] [CrossRef]
- Wang, C.; Zhang, L.; Li, Z.; Jiang, C. SDCoR: Software defined cognitive routing for internet of vehicles. IEEE Internet Things J. 2018, 5, 3513–3520. [Google Scholar] [CrossRef]
- Sun, S.; Gong, L.; Rong, B.; Lu, K. An intelligent SDN framework for 5G heterogeneous networks. IEEE Commun. Mag. 2015, 53, 142–147. [Google Scholar] [CrossRef]
- Craciunas, S.S.; Oliver, R.S.; Chmelík, M.; Steiner, W. Scheduling real-time communication in IEEE 802.1 Qbv time sensitive networks. In Proceedings of the 24th International Conference on Real-Time Networks and Systems, Brest, France, 19–21 October 2016; pp. 183–192. [Google Scholar]
- Pop, P.; Raagaard, M.L.; Craciunas, S.S.; Steiner, W. Design optimisation of cyber-physical distributed systems using IEEE time-sensitive networks. IET Cyber-Phys. Syst. Theory Appl. 2016, 1, 86–94. [Google Scholar] [CrossRef]
- Dürr, F.; Nayak, N.G. No-wait packet scheduling for IEEE time-sensitive networks (TSN). In Proceedings of the 24th International Conference on Real-Time Networks and Systems, Brest, France, 19–21 October 2016; pp. 203–212. [Google Scholar]
- Vlk, M.; Hanzálek, Z.; Brejchová, K.; Tang, S.; Bhattacharjee, S.; Fu, S. Enhancing schedulability and throughput of time-triggered traffic in IEEE 802.1 Qbv time-sensitive networks. IEEE Trans. Commun. 2020, 68, 7023–7038. [Google Scholar] [CrossRef]
- Nasrallah, A.; Thyagaturu, A.S.; Alharbi, Z.; Wang, C.; Shao, X.; Reisslein, M.; Elbakoury, H. Performance comparison of IEEE 802.1 TSN time aware shaper (TAS) and asynchronous traffic shaper (ATS). IEEE Access 2019, 7, 44165–44181. [Google Scholar] [CrossRef]
- Zhao, L.; Pop, P.; Gong, Z.; Fang, B. Improving latency analysis for flexible window-based GCL scheduling in TSN networks by integration of consecutive nodes offsets. IEEE Internet Things J. 2020, 8, 5574–5584. [Google Scholar] [CrossRef]
- Gavriluţ, V.; Pop, P. Scheduling in time sensitive networks (TSN) for mixed-criticality industrial applications. In Proceedings of the 2018 14th IEEE International Workshop on Factory Communication Systems (WFCS), Imperia, Italy, 13–15 June 2018; IEEE: Piscataway, NJ, USA, 2018; pp. 1–4. [Google Scholar]
- Böhm, M.; Wermser, D. Multi-domain time-sensitive networks—Control plane mechanisms for dynamic inter-domain stream configuration. Electronics 2021, 10, 2477. [Google Scholar] [CrossRef]
- Leonardi, L.; Bello, L.L.; Patti, G. Exploiting Software-Defined Networking to improve runtime reconfigurability of TSN-based networks. In Proceedings of the 2022 IEEE 27th International Conference on Emerging Technologies and Factory Automation (ETFA), Stuttgart, Germany, 6–9 September 2022; IEEE: Piscataway, NJ, USA, 2022; pp. 1–4. [Google Scholar]
- Peng, G.; Wang, S.; Huang, Y.; Huo, R.; Huang, T.; Liu, Y. Traffic shaping at the edge: Enabling bounded latency for large-scale deterministic networks. In Proceedings of the 2021 IEEE International Conference on Communications Workshops (ICC Workshops), Montreal, QC, Canada, 14–23 June 2021; IEEE: Piscataway, NJ, USA, 2021; pp. 1–6. [Google Scholar]
- Krolikowski, J.; Martin, S.; Medagliani, P.; Leguay, J.; Chen, S.; Chang, X.; Geng, X. Joint routing and scheduling for large-scale deterministic IP networks. Comput. Commun. 2021, 165, 33–42. [Google Scholar] [CrossRef]
- Tian, W.; Gu, C.; Guo, M.; He, S.; Kang, J.; Niyato, D.; Chen, J. Large-Scale Deterministic Networks: Architecture, Enabling Technologies, Case Study and Future Directions. IEEE Netw. 2024. [Google Scholar] [CrossRef]
- Huang, Y.; Wang, S.; Huang, T.; Liu, Y. Cycle-based time-sensitive and deterministic networks: Architecture, challenges, and open issues. IEEE Commun. Mag. 2022, 60, 81–87. [Google Scholar] [CrossRef]
- Zhong, X.; Zhu, J.; Guo, B.; Li, Q.; Huang, S. An SDN-enabled Optical Transport Network Simulation Platform for Cross-domain TSN Service. In Proceedings of the 2021 Asia Communications and Photonics Conference (ACP), Shanghai, China, 24–27 October 2021; IEEE: Piscataway, NJ, USA, 2021; pp. 1–3. [Google Scholar]
- IEEE Std 802-2014 (Revision to IEEE Std 802-2001); IEEE Standard for Local and Metropolitan Area Networks: Overview and Architecture. IEEE: New York, NY, USA, 2014; pp. 1–74.
- Cavalcanti, D.; Perez-Ramirez, J.; Rashid, M.M.; Fang, J.; Galeev, M.; Stanton, K.B. Extending accurate time distribution and timeliness capabilities over the air to enable future wireless industrial automation systems. Proc. IEEE 2019, 107, 1132–1152. [Google Scholar] [CrossRef]
- Seijo, Ó.; Iturbe, X.; Val, I. Tackling the Challenges of the Integration of Wired and Wireless TSN with a Technology Proof-of-Concept. IEEE Trans. Ind. Inform. 2021, 18, 7361–7372. [Google Scholar] [CrossRef]
- Miranda, G.; Municio, E.; Haxhibeqiri, J.; Hoebeke, J.; Moerman, I.; Marquez-Barja, J.M. Enabling Time-Sensitive Network Management Over Multi-Domain Wired/Wi-Fi Networks. IEEE Trans. Netw. Serv. Manag. 2023, 20, 2386–2399. [Google Scholar] [CrossRef]
- Wang, X.; Yao, H.; Mai, T.; Guo, S.; Liu, Y. Reinforcement Learning-Based Particle Swarm Optimization for End-to-End Traffic Scheduling in TSN-5G Networks. IEEE/ACM Trans. Netw. 2023, 31, 3254–3268. [Google Scholar] [CrossRef]
- Atiq, M.K.; Muzaffar, R.; Seijo, Ó.; Val, I.; Bernhard, H.P. When IEEE 802.11 and 5G meet time-sensitive networking. IEEE Open J. Ind. Electron. Soc. 2021, 3, 14–36. [Google Scholar] [CrossRef]
- Larrañaga, A.; Lucas-Estañ, M.C.; Martinez, I.; Val, I.; Gozalvez, J. Analysis of 5G-TSN integration to support industry 4.0. In Proceedings of the 2020 25th IEEE International conference on emerging technologies and factory automation (ETFA), Vienna, Austria, 8–11 September 2020; IEEE: Piscataway, NJ, USA, 2020; Volume 1, pp. 1111–1114. [Google Scholar]
- IEEE Std 802.1 Qcc-2018 (Amendment to IEEE Std 802.1 Q-2018 as amended by IEEE Std 802.1 Qcp-2018); IEEE Standard for Local and Metropolitan Area Networks–Bridges and Bridged Networks–Amendment 31: Stream Reservation Protocol (SRP’18) Enhancements and Performance Improvements. IEEE: Piscataway, NJ, USA, 2018; Volume 2018, pp. 1–208.
- Varga, B.; Farkas, J.; Fejes, F.; Ansari, J.; Moldován, I.; Máté, M. Robustness and Reliability Provided by Deterministic Packet Networks (TSN and DetNet). IEEE Trans. Netw. Serv. Manag. 2023, 20, 2309–2318. [Google Scholar] [CrossRef]
- Benzaoui, N.; Gonzalez, M.S.; Estarán, J.M.; Mardoyan, H.; Lautenschlaeger, W.; Gebhard, U.; Dembeck, L.; Bigo, S.; Pointurier, Y. Deterministic dynamic networks (DDN). J. Light. Technol. 2019, 37, 3465–3474. [Google Scholar] [CrossRef]
- Wang, S.; Wu, B.; Zhang, C.; Huang, Y.; Huang, T.; Liu, Y. Large-scale deterministic IP networks on CENI. In Proceedings of the IEEE INFOCOM 2021-IEEE Conference on Computer Communications Workshops (INFOCOM WKSHPS), Vancouver, BC, Canada, 10–13 May 2021; IEEE: Piscataway, NJ, USA, 2021; pp. 1–6. [Google Scholar]
- Nayak, N.G.; Dürr, F.; Rothermel, K. Incremental flow scheduling and routing in time-sensitive software-defined networks. IEEE Trans. Ind. Inform. 2017, 14, 2066–2075. [Google Scholar] [CrossRef]
- Nayak, N.G.; Dürr, F.; Rothermel, K. Time-sensitive software-defined network (TSSDN) for real-time applications. In Proceedings of the 24th International Conference on Real-Time Networks and Systems, Brest, France, 19–21 October 2016; pp. 193–202. [Google Scholar]
- Li, H.; Shou, G.; Hu, Y.; Liu, Y. SDN/NFV enhanced time synchronization in packet networks. IEEE Syst. J. 2020, 15, 5634–5645. [Google Scholar] [CrossRef]
- Kim, M.; Hyeon, D.; Paek, J. ETAS: Enhanced time-aware shaper for supporting nonisochronous emergency traffic in time-sensitive networks. IEEE Internet Things J. 2021, 9, 10480–10491. [Google Scholar] [CrossRef]
- Pang, Z.; Huang, X.; Li, Z.; Zhang, S.; Xu, Y.; Wan, H.; Zhao, X. Flow scheduling for conflict-free network updates in time-sensitive software-defined networks. IEEE Trans. Ind. Inform. 2020, 17, 1668–1678. [Google Scholar] [CrossRef]
- IEEE 802.1 Working Group. IEC/IEEE 60802 TSN Profile for Industrial Automation. Available online: https://1.ieee802.org/tsn/iec-ieee-60802/ (accessed on 6 March 2024).
- Guo, M.; Shou, G.; Xue, J.; Hu, Y.; Liu, Y.; Guo, Z. Cross-domain Interconnection with Time Synchronization in Software-defined Time-Sensitive Networks. In Proceedings of the Asia Communications and Photonics Conference, Beijing, China, 24–27 October 2020; Optica Publishing Group: Washington, DC, USA, 2020. [Google Scholar]
- Zhang, Y.; Xu, Q.; Xu, L.; Chen, C.; Guan, X. Efficient flow scheduling for industrial time-sensitive networking: A divisibility theory-based method. IEEE Trans. Ind. Inform. 2022, 18, 9312–9323. [Google Scholar] [CrossRef]







| Solution | Key Non-TSN Technology | Reference | Short Description |
|---|---|---|---|
| Wire-based | DetNet | [25] | Design an LFS mechanism that guarantees deterministic worst-case latency and zero packet loss for time-sensitive flows in Large-scale Deterministic Networks. |
| [26] | Formulates the Deterministic Networking (DN) planning problem and presents an effective solution based on column generation and dynamic programming for Large-Scale Deterministic Networks. | ||
| DIP | [11] | Proposes a hierarchical network containing access networks and a core network, in which access networks perform TAS to aggregate time-sensitive traffic and the core network exploits DIP to achieve long-distance deterministic transmission. | |
| [28] | Proposes the C-TSDN that enables cycle-based end-to-end deterministic transmission with multi-layer collaboration supported by the source routing and network slicing. | ||
| SDN | [7] | Proposes an interconnection scheme following a software-defined TSN (SD-TSN) paradigm to enable deterministic communications among multiple closed networks. | |
| OTN | [29] | Proposes an SDN-enable optical transport network simulation platform to support the end-to-end service resource prejudge in cross-domain TSN. | |
| Wireless-based | 5G | [34] | Constructs a TSN-5G architecture, where the 5G system acts as a logical TSN-capable bridge, and then designs a Double Q-learning-based hierarchical particle swarm optimization algorithm (DQHPSO) to search for the optimal scheduling solution. |
| [35] | Describes the recent standardization and developments in TSN and 5G and discusses the integration between TSN and 5G to enable bounded low-latency communications. | ||
| [36] | Discusses current research and standardization work on 5G-TSN integration and quantifies, for a closed loop control application, the 5GS bridge delay. | ||
| IEEE 802.11 | [31] | Describes the approaches to extend TSN to wireless with IEEE 802.11, containing the wireless network management model, wireless time synchronization, time-aware scheduling, wireless link reliability, etc. | |
| [32] | Discusses the integration challenges of wired TSN and wireless local area network technologies and proposes a hybrid TSN device architecture. | ||
| [33] | Presents a modular, multi-domain controller architecture to provide end-to-end TSN-enabled control over LAN and WLAN domains |
| Symbol | Definition |
|---|---|
| the nth network domain | |
| the set of network nodes in | |
| the set of network links in | |
| the ath network node in | |
| the link that connects source node and destination node | |
| F | the set of time-sensitive traffic flow |
| the ith flow in F | |
| the destination node of | |
| the deadline requirement of | |
| the period of | |
| the length of | |
| the path of | |
| the path segment of in | |
| the path of in before in | |
| the egress node of | |
| the ingress node of | |
| the set of time-sensitive traffic flows routed through link | |
| the propagation delay on | |
| the transmission delay of at | |
| the processing delay of at | |
| the queuing delay of on | |
| the sum of the transmission delay, processing delay, and propagation delay of on | |
| the end-to-end delay between the ingress node and the egress node of | |
| B | the link bandwidth |
| the mth queue at of | |
| the open time of the gate for | |
| the open window of the gate for | |
| the gating cycle at node of | |
| the ingress timestamps on | |
| the egress timestamps on | |
| the difference in transmission delay between and . | |
| the worst-case end-to-end delay of on | |
| the starting time of in |
| Unit | Module | Configuration |
|---|---|---|
| TSN switch | ETX TSN Switch (Beijing University of Posts and Communications, Beijing, China) | NETCONF, GE |
| OpenFLow switch | Centec V350 (Centec, Suzhou, China) | Openflow1.3, GE |
| Grand master | OSA 5421 (Oscilloquartz, Neuchâtel, Switzerland) | GE, Rubidium |
| Talker/Listner | VIAVI MTS 5800 (VIAVI, Beijing, China) | GE |
| Approach | Flow Number | Case 1 | Case 2 | ||||
|---|---|---|---|---|---|---|---|
| Schedulability (%) | Response Time (ms) | Bandwidth Utilization (%) | Schedulability (%) | Response Time (ms) | Bandwidth Utilization (%) | ||
| TMDS | 10 | 100 | 79.602 | 0.47 | 100 | 181.201 | 0.51 |
| 30 | 100 | 139.033 | 1.37 | 100 | 242.589 | 1.36 | |
| 50 | 100 | 271.356 | 2.35 | 100 | 379.265 | 2.41 | |
| 70 | 100 | 334.203 | 3.38 | 100 | 445.621 | 3.4 | |
| 90 | 100 | 413.025 | 5.01 | 100 | 528.624 | 4.98 | |
| SMT-based | 10 | 100 | 1025.621 | 0.51 | 100 | 1159.325 | 0.5 |
| 30 | 100 | 4253.625 | 1.38 | 100 | 4401.389 | 1.38 | |
| 50 | 100 | 7358.251 | 2.33 | 100 | 7468.256 | 2.39 | |
| 70 | 100 | 10,254.163 | 3.4 | 100 | 10,373.673 | 3.43 | |
| 90 | 100 | 15,425.025 | 5.03 | 100 | 15,626.674 | 5.02 | |
Disclaimer/Publisher’s Note: The statements, opinions and data contained in all publications are solely those of the individual author(s) and contributor(s) and not of MDPI and/or the editor(s). MDPI and/or the editor(s) disclaim responsibility for any injury to people or property resulting from any ideas, methods, instructions or products referred to in the content. |
© 2024 by the authors. Licensee MDPI, Basel, Switzerland. This article is an open access article distributed under the terms and conditions of the Creative Commons Attribution (CC BY) license (https://creativecommons.org/licenses/by/4.0/).
Share and Cite
Guo, M.; Shou, G.; Liu, Y.; Hu, Y. Software-Defined Time-Sensitive Networking for Cross-Domain Deterministic Transmission. Electronics 2024, 13, 1246. https://doi.org/10.3390/electronics13071246
Guo M, Shou G, Liu Y, Hu Y. Software-Defined Time-Sensitive Networking for Cross-Domain Deterministic Transmission. Electronics. 2024; 13(7):1246. https://doi.org/10.3390/electronics13071246
Chicago/Turabian StyleGuo, Mengjie, Guochu Shou, Yaqiong Liu, and Yihong Hu. 2024. "Software-Defined Time-Sensitive Networking for Cross-Domain Deterministic Transmission" Electronics 13, no. 7: 1246. https://doi.org/10.3390/electronics13071246
APA StyleGuo, M., Shou, G., Liu, Y., & Hu, Y. (2024). Software-Defined Time-Sensitive Networking for Cross-Domain Deterministic Transmission. Electronics, 13(7), 1246. https://doi.org/10.3390/electronics13071246
