An Energy Management System for Distributed Energy Storage System Considering Time-Varying Linear Resistance
Abstract
1. Introduction
- (1)
- The proposed strategy can achieve impedance detection without additional hardware, which is more stable and practical. The strategy effectively utilizes high-frequency ripple, a characteristic of power electronic converters. The calculation of line impedance values using characteristics and microgrid topology compensates for bus voltage drops caused by line impedance.
- (2)
- An inverse tangent function is introduced as an SOC information state factor. By adjusting one parameter of the function, the accuracy and speed of SOC balance can be improved, thereby simplifying the complexity of the design.
2. DC Microgrid Droop Control
2.1. Structure of Island Microgrid
2.2. Downsides of Droop Control
3. An Energy Management System for DESS
3.1. Line Impedance Detection Method
3.2. Cooperative Control
3.3. Parametric Analysis
4. Stability Analysis
5. Simulation Results
5.1. Simulation Analysis of Changing the Third Battery Capacity
5.2. Simulation Analysis of Changing the Line Impedance of the Third Converter
5.3. Simulation Analysis of Changing the Load Power
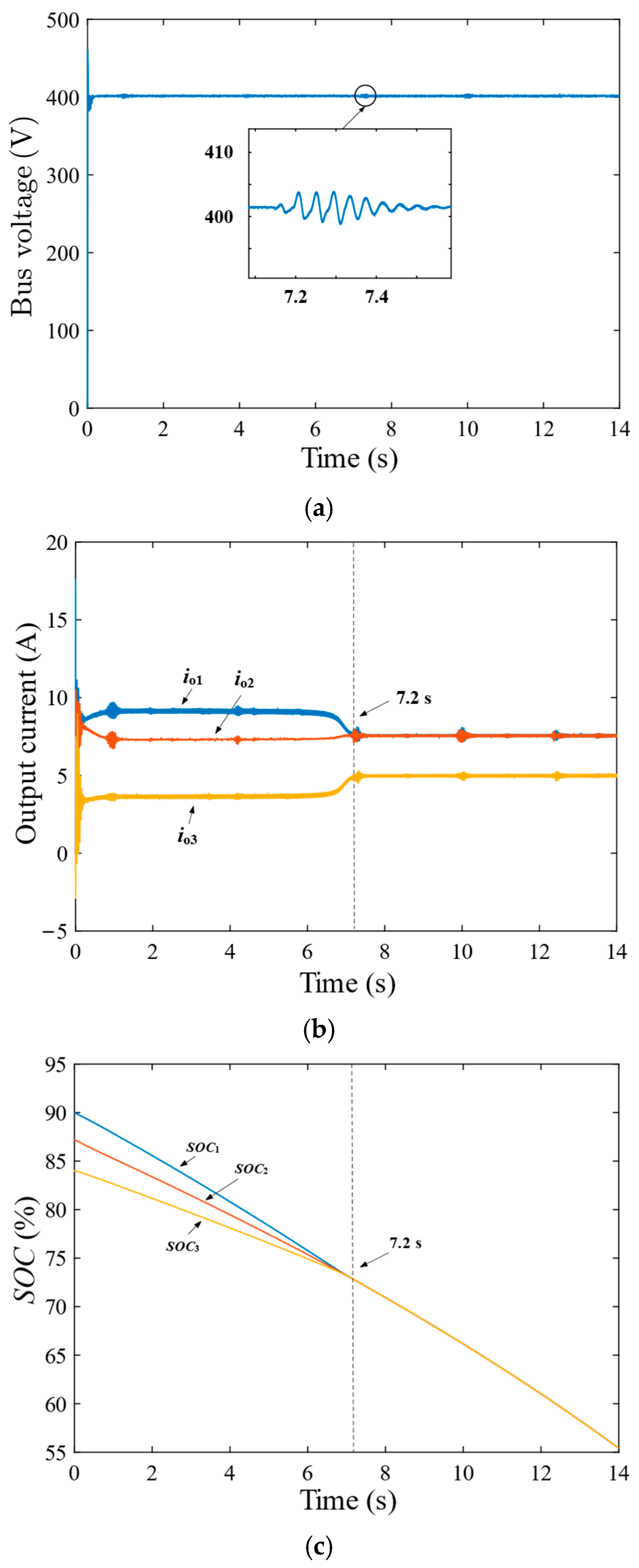
6. Experiment Results
6.1. Experimental Case I: Normal Discharge Mode and Its Comparison Experiment with Existing Methods
6.2. Experimental Case II: Line Impedance Change
6.3. Experimental Case III: Load Switching in ESSs
6.4. Experimental Case IV: DESU Exits Randomly
7. Conclusions
- (1)
- The ripple signal on the PWM carrier frequency of the controller can be overlaid onto the output current of the converter. This frequency can be unaffected and can stably transmit information about the line impedance. By analyzing the ripple signal, the impedance value of the circuit can be obtained.
- (2)
- The speed of SOC equalization is improved by using the advantage of the arctan function and a designed acceleration factor.
- (3)
- By analyzing the acceleration factor, the SOC can maintain the equalization quickly when the acceleration factor c is 5 ~ 25.
Author Contributions
Funding
Data Availability Statement
Conflicts of Interest
References
- Ban, C.; Huang, S.; Xiong, L.; Zhou, Y.; Wang, Q.; Song, R.; Wang, L.; Li, F. Distributed model predictive control based on bus voltage derivative and SoC dynamic model for shipboard DC microgrids. Electronics 2024, 13, 2880. [Google Scholar] [CrossRef]
- Yang, Z.; Wang, C.; Han, J.; Yang, F.; Shen, Y.; Min, H.; Hu, W.; Song, H. Analysis of voltage control strategies for DC microgrid with multiple types of energy storage systems. Electronics 2023, 12, 1661. [Google Scholar] [CrossRef]
- Magaldi, G.L.; Serra, F.M.; de Angelo, C.H.; Montoya, O.D.; Giral-Ramírez, D.A. Voltage regulation of an isolated DC microgrid with a constant power load: A passivity-based control design. Electronics 2021, 10, 2085. [Google Scholar] [CrossRef]
- Lv, J.; Wang, X.; Wang, G.; Song, Y. Research on control strategy of isolated DC microgrid based on SOC of energy storage system. Electronics 2021, 10, 834. [Google Scholar] [CrossRef]
- Ma, F.; Kuang, Y.; Wang, Z.; Huang, G.; Kuang, D.; Zhang, C. Multi-port and -functional power conditioner and its control strategy with renewable energy access for a railway traction system. Energies 2021, 14, 6146. [Google Scholar] [CrossRef]
- Chen, J.; Zhao, Y.; Lin, H.; Wei, Y.; Liu, W.; Guo, Q. Analysis and control of cascaded energy storage system for energy efficiency and power quality improvement in electrified railways. IEEE Trans. Transp. Electrif. 2024, 10, 1299–1313. [Google Scholar] [CrossRef]
- El-Shahat, A.; Sumaiya, S. DC-microgrid system design, control, and analysis. Electronics 2019, 8, 124. [Google Scholar] [CrossRef]
- Lu, X.; Sun, K.; Guerrero, J.M.; Vasquez, J.C.; Huang, L. State-of-charge balance using adaptive droop control for distributed energy storage systems in DC microgrid applications. IEEE Trans. Ind. Electron. 2014, 61, 2804–2814. [Google Scholar] [CrossRef]
- Lu, X.; Sun, K.; Guerrero, J.M.; Vasquez, J.C.; Huang, L. Double-quadrant state-of-charge-based droop control method for distributed energy storage systems in autonomous DC microgrids. IEEE Trans. Smart Grid 2015, 6, 147–157. [Google Scholar] [CrossRef]
- Guan, J.; Vasquez, J.C.; Guerrero, J.M. Coordinated secondary control for balanced discharge rate of energy storage system in islanded AC microgrids. IEEE Trans. Ind. Appl. 2016, 52, 5019–5028. [Google Scholar] [CrossRef]
- Hoang, K.D.; Lee, H.H. Accurate power sharing with balanced battery state of charge in distributed DC microgrid. IEEE Trans. Ind. Electron. 2019, 66, 1883–1893. [Google Scholar] [CrossRef]
- Tian, Y.; Peng, F.; Zhu, X.; Wang, Y. Frequency dividing coordinated control strategy for hybrid energy storage system of DC micro-grid. High Volt. Eng. 2020, 46, 2316–2328. [Google Scholar]
- Morstyn, T.; Savkin, A.; Hredzak, B.; Agelidis, V.G. Multi-agent sliding mode control for state of charge balancing between battery energy storage systems distributed in a DC microgrid. IEEE Trans. Smart Grid 2018, 9, 4735–4743. [Google Scholar] [CrossRef]
- Zhang, Q.; Zeng, Y.; Liu, Y. Consensus-based state of charge dynamic equilibrium strategy in isolated DC microgrid with bus voltage regulation. Sustain. Energy Technol. 2022, 54, 102830. [Google Scholar] [CrossRef]
- Khorsandi, A.; Ashourloo, M.; Mokhtari, H. A decentralized control method for a low-voltage DC microgrid. IEEE Trans. Energy Conver. 2014, 29, 793–801. [Google Scholar] [CrossRef]
- Liu, C.; Zhao, J.; Wang, S.; Qu, K.; Li, F. A line impedance identification based on single pulse injection in DC microgrid. Trans. China Electrotech. Soc. 2018, 33, 2584–2591. [Google Scholar]
- Xing, L.; Mishra, Y.; Guo, F.; Lin, P.; Yang, Y.; Ledwich, G.; Tian, Y. Distributed secondary control for current sharing and voltage restoration in DC microgrid. IEEE Trans. Smart Grid 2020, 11, 2487–2497. [Google Scholar] [CrossRef]
- Han, Y.; Ning, X.; Li, L.; Yang, P.; Blaabjerg, F. Droop coefficient correction control for power sharing and voltage restoration in hierarchical controlled DC microgrids. Int. J. Electr. Power Energy Syst. 2021, 133, 107277. [Google Scholar] [CrossRef]
- Mohammed, N.; Callegaro, L.; Ciobotaru, M.; Guerrero, J.M. Accurate power sharing for islanded DC microgrids considering mismatched feeder resistances. Appl. Energy 2023, 340, 121060. [Google Scholar] [CrossRef]
- Bin Shaheed, M.N.; Sozer, Y. Adaptive line impedance estimation algorithm for DC microgrid systems. In Proceedings of the IEEE Applied Power Electronics Conference and Exposition (APEC), Phoenix, AZ, USA, 14–17 June 2021; pp. 62–67. [Google Scholar]
- Liu, C.; Zhao, J.; Wang, S.; Lu, W.; Qu, K. Active identification method for line resistance in DC microgrid based on single pulse injection. IEEE Trans. Power Electron. 2018, 33, 5561–5564. [Google Scholar] [CrossRef]
- Chowdhury, S.; Shaheed, M.N.B.; Sozer, Y. State-of-charge balancing control for modular battery system with output DC bus regulation. IEEE Trans. Transp. Electrif. 2021, 7, 2181–2193. [Google Scholar] [CrossRef]
- Gu, Y.; Xiang, X.; Li, W.; He, X. Mode-adaptive decentralized control for renewable DC microgrid with enhanced reliability and flexibility. IEEE Trans. Power Electron. 2014, 29, 5072–5080. [Google Scholar] [CrossRef]
- Yang, L.; Luo, D.; Liu, Y.; Chen, S.; Wen, X.; Lai, L. A novel energy control strategy for distributed energy storage system based on virtual current. Int. J. Electr. Power Energy Syst. 2024, 158, 109979. [Google Scholar] [CrossRef]
- Zhang, Q.; Zeng, Y.; Liu, Y.; Zhuang, X.; Zhang, H.; Hu, W. An improved distributed cooperative control strategy for multiple energy storages parallel in islanded DC microgrid. IEEE J. Emerg. Sel. Topics Power Electron. 2022, 10, 455–468. [Google Scholar] [CrossRef]






















| Item | Symbol | Unit | Value |
|---|---|---|---|
| Nominal voltage | uref | V | 400 |
| Rline1 | Ω | 0.3 | |
| Line resistance of ESU | Rline2 | Ω | 0.33 |
| Rline3 | Ω | 0.36 | |
| Common load resistance | Rload | Ω | 20 |
| Cbat1 | Ah | 6 | |
| Capacity of ESU | Cbat2 | Ah | 6 |
| Cbat3 | Ah | 4 | |
| Switching frequency | fk | kHz | 20 |
| Inductance of DC/DC converter | L | mH | 2 |
Disclaimer/Publisher’s Note: The statements, opinions and data contained in all publications are solely those of the individual author(s) and contributor(s) and not of MDPI and/or the editor(s). MDPI and/or the editor(s) disclaim responsibility for any injury to people or property resulting from any ideas, methods, instructions or products referred to in the content. |
© 2024 by the authors. Licensee MDPI, Basel, Switzerland. This article is an open access article distributed under the terms and conditions of the Creative Commons Attribution (CC BY) license (https://creativecommons.org/licenses/by/4.0/).
Share and Cite
Fan, Y.; Li, Z.; Huang, X.; Luo, D.; Lin, J.; Chen, W.; Li, L.; Yang, L. An Energy Management System for Distributed Energy Storage System Considering Time-Varying Linear Resistance. Electronics 2024, 13, 4327. https://doi.org/10.3390/electronics13214327
Fan Y, Li Z, Huang X, Luo D, Lin J, Chen W, Li L, Yang L. An Energy Management System for Distributed Energy Storage System Considering Time-Varying Linear Resistance. Electronics. 2024; 13(21):4327. https://doi.org/10.3390/electronics13214327
Chicago/Turabian StyleFan, Yuanliang, Zewen Li, Xinghua Huang, Dongtao Luo, Jianli Lin, Weiming Chen, Lingfei Li, and Ling Yang. 2024. "An Energy Management System for Distributed Energy Storage System Considering Time-Varying Linear Resistance" Electronics 13, no. 21: 4327. https://doi.org/10.3390/electronics13214327
APA StyleFan, Y., Li, Z., Huang, X., Luo, D., Lin, J., Chen, W., Li, L., & Yang, L. (2024). An Energy Management System for Distributed Energy Storage System Considering Time-Varying Linear Resistance. Electronics, 13(21), 4327. https://doi.org/10.3390/electronics13214327

