A Strip Steel Surface Defect Salient Object Detection Based on Channel, Spatial and Self-Attention Mechanisms
Abstract
1. Introduction
- For the encoding stage, a residual self-attention block is proposed to explore semantic information cues of high-level features. In addition, we apply a general residual channel and spatial attention to low-level features, enabling the model to adaptively focus on the key channels and spatial areas of feature maps with high resolutions.
- For the decoding stage, a simple residual decoder block with an upsampling operation is proposed to realize the integration and interaction of feature information between different layers.
- Based on the residual structure and the mechanisms of channel-, spatial-, and self-attention, a novel detector called S3D-SOD is proposed for precise salient object detection of defects on the steel strip surface. The experimental results show that S3D-SOD is better than advanced methods, and it has a strong generalization ability and robustness.
2. Related Work
2.1. Detection Methods
- Traditional detectors heavily rely on hand-designed features and conventional machine learning algorithms. These methods typically use low-level features such as color, texture, and shape to identify targets through algorithms including region growing, graph cuts, and random walking [20]. For instance, Murray et al. [21] proposed a saliency estimation method based on a non-parametric, low-level visual model, which improves detection precision by integrating multiple conventional features. Harel et al. [22] employed a graph-based saliency approach to extract salient targets by constructing a graph structure and applying a graph cut algorithm. Cheng et al. [23] introduced a global contrast-based method for detecting regions by calculating the global contrast of each region in the image. Although these techniques may capture salient regions in an image to some extent, they often struggle with complex backgrounds and multiscale targets. Chang et al. [24] proposed a hybrid defect detection method for identifying and detecting defects in compact camera lenses. The method combines a circular Hough transform, a weighted Sobel filter, and polar coordinate transformation to locate and inspect circular areas within the lens and applies a support vector machine classifier to accurately identify real defects.
- Deep-learning-based detectors utilize deep neural networks, specifically convolutional neural networks, trained on large-scale datasets to automatically acquire high-level features. These methods excel in complex background and multiscale target detection. In recent years, many novel deep learning models and frameworks have been proposed to improve the precision and robustness of models on object detection tasks. For example, Wang et al. [25] proposed a deep learning method for target prediction using image-level supervision, where features are automatically extracted from images through network learning. Lin et al. [26] proposed a lightweight network for the target detection of optical remote sensing images, which achieves accurate detection of targets through the fusion of multiscale context extraction and attention mechanisms, and the model is of moderate size, suitable for deployment on resource constrained devices. Fang et al. [27] proposed an uncertainty-aware deep network. The network aims to solve the uncertainty problem of deep-learning-based models in predicting the probability of contour pixels around targets.
2.2. Attention Mechanism
3. Methods
3.1. Overall Architecture
3.2. Encoder Network
3.2.1. Residual Self-Attention Block
3.2.2. Residual Channel–Spatial Attention
3.3. Decoder Network
3.3.1. Up Block
3.3.2. Decoder Block
3.4. Loss Function
4. Experiment and Results
4.1. Experimental Setup
4.1.1. Datasets
4.1.2. Evaluation Metrics
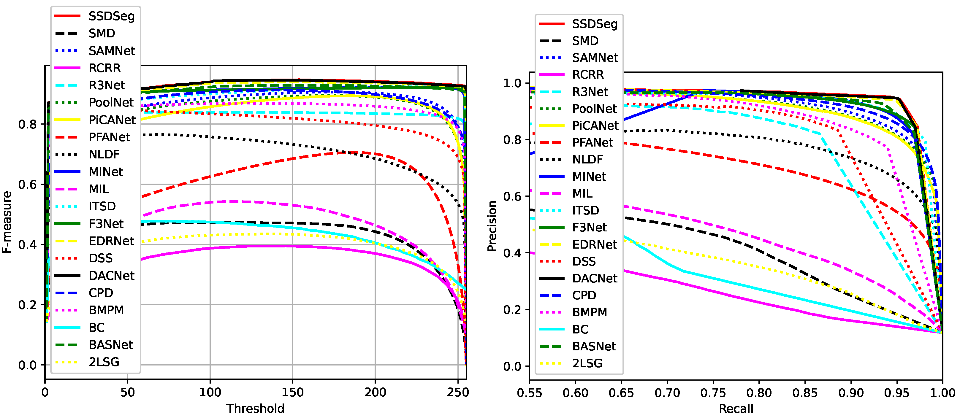
4.2. Comparison with State-of-the-Art Methods
4.3. Visualization Analysis
4.4. Ablation Study
- Baseline: S3D-SOD uses the PVTv2 to extract multiscale feature maps, followed by average pooling layers to generate salience maps, and then fuses the feature maps to obtain the final prediction.
- DB: S3D-SOD uses a decoder block to decode the feature maps in order to generate the segment’s results.
- RCSA: S3D-SOD employs a RCSA to further extract channel and spatial information from the feature maps, followed by average pooling layers to generate final prediction.
- RCSA + RSAB: S3D-SOD employs RCSA and the RSAB to further extract channel, spatial, and self-attention information from the feature maps, followed by average pooling layers to generate final prediction.
- RCSA + RSAB + DB: S3D-SOD uses DB through residual blocks, multi-layer upsampling, and feature fusion, allowing the decoder to progressively restore high-resolution outputs.
- RCSA + RSAB + DB + UB: Our S3D-SOD with all components.
4.5. Robust Validation
5. Conclusions
Author Contributions
Funding
Data Availability Statement
Conflicts of Interest
References
- Chen, H.; Du, Y.; Fu, Y.; Zhu, J.; Zeng, H. DCAM-Net: A Rapid Detection Network for Strip Steel Surface Defects Based on Deformable Convolution and Attention Mechanism. IEEE Trans. Instrum. Meas. 2023, 72, 5005312. [Google Scholar] [CrossRef]
- Li, G.; Bai, Z.; Liu, Z.; Zhang, X.; Ling, H. Salient object detection in optical remote sensing images driven by transformer. IEEE Trans. Image Process. 2023, 32, 5257–5269. [Google Scholar] [CrossRef] [PubMed]
- Feng, H.; Song, K.; Cui, W.; Zhang, Y.; Yan, Y. Cross Position Aggregation Network for Few-Shot Strip Steel Surface Defect Segmentation. IEEE Trans. Instrum. Meas. 2023, 72, 5007410. [Google Scholar] [CrossRef]
- Cui, W.; Song, K.; Feng, H.; Jia, X.; Liu, S.; Yan, Y. Autocorrelation Aware Aggregation Network for Salient Object Detection of Strip Steel Surface Defects. IEEE Trans. Instrum. Meas. 2023, 72, 5019412. [Google Scholar] [CrossRef]
- Zhang, M.; Sun, W.; Wang, J. Steel Surface Defect Detection Based on Adaptive Threshold Gray Transformation. In Proceedings of the 2021 IEEE International Conference on Power, Intelligent Computing and Systems (ICPICS), Shenyang, China, 29–31 July 2021; IEEE: New York, NY, USA, 2021; pp. 280–283. [Google Scholar]
- Achanta, R.; Shaji, A.; Smith, K.; Lucchi, A.; Fua, P.; Süsstrunk, S. SLIC Superpixels Compared to State-of-the-Art Superpixel Methods. IEEE Trans. Pattern Anal. Mach. Intell. 2012, 34, 2274–2282. [Google Scholar] [CrossRef]
- Ma, N.; Gao, X.; Wang, C.; Zhang, Y.; You, D.; Zhang, N. Influence of hysteresis effect on contrast of welding defects profile in magneto-optical image. IEEE Sens. J. 2020, 20, 15034–15042. [Google Scholar] [CrossRef]
- Umar, S.; Qureshi, M.S.; Nawaz, M.U. Thermal Imaging and AI in Solar Panel Defect Identification. Int. J. Adv. Eng. Technol. Innov. 2024, 1, 73–95. [Google Scholar]
- Fang, X.; Luo, Q.; Zhou, B.; Li, C.; Tian, L. Research Progress of Automated Visual Surface Defect Detection for Industrial Metal Planar Materials. Sensors 2020, 20, 5136. [Google Scholar] [CrossRef]
- Zhao, B.; Chen, Y.; Jia, X.; Ma, T. Steel Surface Defect Detection Algorithm in Complex Background Scenarios. Measurement 2024, 237, 115189. [Google Scholar] [CrossRef]
- Dong, H.; Song, K.; He, Y.; Xu, J.; Yan, Y.; Meng, Q. PGA-Net: Pyramid Feature Fusion and Global Context Attention Network for Automated Surface Defect Detection. IEEE Trans. Ind. Inform. 2019, 16, 7448–7458. [Google Scholar] [CrossRef]
- Amirgan, B.; Erener, A. Semantic Segmentation of Satellite Images with Different Building Types Using Deep Learning Methods. Remote Sens. Appl. Soc. Environ. 2024, 34, 101176. [Google Scholar] [CrossRef]
- Xia, X.; Wang, S.; Liu, S.; Ye, L.; Yang, B. Surface Defect Detection Using U-net and transfer learning. In Proceedings of the 2020 13th International Conference on Intelligent Computation Technology and Automation (ICICTA), Xi’an, China, 24–25 October 2020; IEEE: New York, NY, USA, 2020; pp. 249–253. [Google Scholar]
- Tan, M.; Le, Q. EfficientNet: Rethinking Model Scaling for Convolutional Neural Networks. In Proceedings of the International Conference on Machine Learning, Long Beach, CA, USA, 9–15 June 2019; PMLR: Long Beach, CA, USA, 2019; pp. 6105–6114. [Google Scholar]
- Li, K.; Ding, G.; Wang, H. L-FCN: A Lightweight Fully Convolutional Network for Biomedical Semantic Segmentation. In Proceedings of the 2018 IEEE International Conference on Bioinformatics and Biomedicine (BIBM), Madrid, Spain, 3–6 December 2018; IEEE: New York, NY, USA, 2018; pp. 2363–2367. [Google Scholar]
- Wang, W.; Xie, E.; Li, X.; Fan, D.P.; Song, K.; Liang, D.; Lu, T.; Luo, P.; Shao, L. PVT v2: Improved Baselines with Pyramid Vision Transformer. Comput. Vis. Media 2022, 8, 415–424. [Google Scholar] [CrossRef]
- He, K.; Zhang, X.; Ren, S.; Sun, J. Deep Residual Learning for Image Recognition. In Proceedings of the IEEE Conference on Computer Vision and Pattern Recognition, Las Vegas, NV, USA, 27–30 June 2016; pp. 770–778. [Google Scholar]
- Liu, Z.; Lin, Y.; Cao, Y.; Hu, H.; Wei, Y.; Zhang, Z.; Lin, S.; Guo, B. Swin Transformer: Hierarchical Vision Transformer Using Shifted Windows. In Proceedings of the IEEE/CVF International Conference on Computer Vision, Montreal, QC, Canada, 10–17 October 2021; pp. 10012–10022. [Google Scholar]
- Deng, J.; Dong, W.; Socher, R.; Li, L.J.; Li, K.; Fei-Fei, L. ImageNet: A Large-Scale Hierarchical Image Database. In Proceedings of the 2009 IEEE Conference on Computer Vision and Pattern Recognition, Miami, FL, USA, 20–25 June 2009; IEEE: New York, NY, USA, 2009; pp. 248–255. [Google Scholar]
- Rodríguez, R.; Curado, M.; Rodríguez, F.D.; Vicent, J.F. Influential Yield Strength of Steel Materials with Return Random Walk Gravity Centrality. Mathematics 2024, 12, 439. [Google Scholar] [CrossRef]
- Murray, N.; Vanrell, M.; Otazu, X.; Parraga, C.A. Saliency Estimation Using a Non-Parametric Low-Level Vision Model. In Proceedings of the CVPR 2011, Colorado Springs, CO, USA, 20–25 June 2011; IEEE: New York, NY, USA, 2011; pp. 433–440. [Google Scholar]
- Harel, J.; Koch, C.; Perona, P. Graph-Based Visual Saliency. Adv. Neural Inf. Process. Syst. 2006, 19, 433–440. [Google Scholar]
- Cheng, M.M.; Mitra, N.J.; Huang, X.; Torr, P.H.; Hu, S.M. Global Contrast Based Salient Region Detection. IEEE Trans. Pattern Anal. Mach. Intell. 2014, 37, 569–582. [Google Scholar] [CrossRef]
- Chang, C.F.; Wu, J.L.; Chen, K.J.; Hsu, M.C. A hybrid defect detection method for compact camera lens. Adv. Mech. Eng. 2017, 9, 1687814017722949. [Google Scholar] [CrossRef]
- Wang, L.; Lu, H.; Wang, Y.; Feng, M.; Wang, D.; Yin, B.; Ruan, X. Learning to Detect Salient Objects With Image-Level Supervision. In Proceedings of the IEEE Conference on Computer Vision and Pattern Recognition, Honolulu, HI, USA, 21–26 July 2017; pp. 136–145. [Google Scholar]
- Lin, Y.; Sun, H.; Liu, N.; Bian, Y.; Cen, J.; Zhou, H. A Lightweight Multi-Scale Context Network for Salient Object Detection in Optical Remote Sensing Images. In Proceedings of the 2022 26th International Conference on Pattern Recognition (ICPR), Montreal, QC, Canada, 21–25 August 2022; IEEE: New York, NY, USA, 2022; pp. 238–244. [Google Scholar]
- Fang, Y.; Zhang, H.; Yan, J.; Jiang, W.; Liu, Y. UDNet: Uncertainty-Aware Deep Network for Salient Object Detection. Pattern Recognit. 2023, 134, 109099. [Google Scholar] [CrossRef]
- Li, J.; Pan, Z.; Liu, Q.; Wang, Z. Stacked U-Shape Network With Channel-Wise Attention for Salient Object Detection. IEEE Trans. Multimed. 2020, 23, 1397–1409. [Google Scholar] [CrossRef]
- Li, G.; Bai, Z.; Liu, Z. Texture-semantic collaboration network for ORSI salient object detection. IEEE Trans. Circuits Syst. II Express Briefs 2023, 71, 2464–2468. [Google Scholar] [CrossRef]
- Bhattacharjee, S.; Shanmugam, P.; Das, S. Attention-Guided Convolution Neural Network Assisted With Handcrafted Features for Ship Classification in Low-Resolution Sentinel-1 SAR Image Data. IEEE Access 2024, 12, 48668–48685. [Google Scholar] [CrossRef]
- Chen, F.; Ma, S.; Hao, J.; Liu, M.; Gu, Y.; Yi, Q.; Zhang, J.; Zhao, Y. Dual-Path and Multi-Scale Enhanced Attention Network for Retinal Diseases Classification Using Ultra-Wide-Field Images. IEEE Access 2023, 11, 45405–45415. [Google Scholar] [CrossRef]
- Zhou, Y.; Yang, Z.; Bai, X.; Li, C.; Wang, S.; Peng, G.; Li, G.; Wang, Q.; Chang, H. Semantic Segmentation of Surface Cracks in Urban Comprehensive Pipe Galleries Based on Global Attention. Sensors 2024, 24, 1005. [Google Scholar] [CrossRef] [PubMed]
- Zhou, T.; Wang, W. Cross-Image Pixel Contrasting for Semantic Segmentation. IEEE Trans. Pattern Anal. Mach. Intell. 2024. [Google Scholar] [CrossRef] [PubMed]
- Li, G.; Han, C.; Liu, Z. No-service rail surface defect segmentation via normalized attention and dual-scale interaction. IEEE Trans. Instrum. Meas. 2023, 46, 5398–5412. [Google Scholar] [CrossRef]
- Zhong, Y.; Shi, Z.; Zhang, Y.; Zhang, Y.; Li, H. CSAN-UNet: Channel Spatial Attention Nested UNet for Infrared Small Target Detection. Remote Sens. 2024, 16, 1894. [Google Scholar] [CrossRef]
- Feng, Y.; Zhu, X.; Zhang, X.; Li, Y.; Lu, H. PAMSNet: A Medical Image Segmentation Network Based on Spatial Pyramid and Attention Mechanism. Biomed. Signal Process. Control 2024, 94, 106285. [Google Scholar] [CrossRef]
- Li, Y.; Yu, M.; Wu, D.; Li, R.; Xu, K.; Cheng, L. Automatic Pixel-Level Detection Method for Concrete Crack with Channel-Spatial Attention Convolution Neural Network. Struct. Health Monit. 2023, 22, 1460–1477. [Google Scholar] [CrossRef]
- Wu, G.; Sun, Y.; Yin, L.; Song, Z.; Yu, W. High-Definition Image Transmission Through Dynamically Perturbed Multimode Fiber by a Self-Attention Based Neural Network. Opt. Lett. 2023, 48, 2764–2767. [Google Scholar] [CrossRef]
- Zhou, X.; Zhou, S.; Zhang, Y.; Ren, Z.; Jiang, Z.; Luo, H. GDALR: Global Dual Attention and Local Representations in transformer for surface defect detection. Measurement 2024, 229, 114398. [Google Scholar] [CrossRef]
- Song, G.; Song, K.; Yan, Y. Saliency Detection for Strip Steel Surface Defects Using Multiple Constraints and Improved Texture Features. Opt. Lasers Eng. 2020, 128, 106000. [Google Scholar] [CrossRef]
- Perazzi, F.; Krähenbühl, P.; Pritch, Y.; Hornung, A. Saliency Filters: Contrast-Based Filtering for Salient Region Detection. In Proceedings of the 2012 IEEE Conference on Computer Vision and Pattern Recognition, Providence, RI, USA, 16–21 June 2012; IEEE: New York, NY, USA, 2012; pp. 733–740. [Google Scholar]
- Cheng, M.M.; Fan, D.P. Structure-Measure: A New Way to Evaluate Foreground Maps. Int. J. Comput. Vis. 2021, 129, 2622–2638. [Google Scholar] [CrossRef]
- Achanta, R.; Hemami, S.; Estrada, F.; Susstrunk, S. Frequency-Tuned Salient Region Detection. In Proceedings of the 2009 IEEE Conference on Computer Vision and Pattern Recognition, Miami, FL, USA, 20–25 June 2009; IEEE: New York, NY, USA, 2009; pp. 1597–1604. [Google Scholar]
- Fan, D.P.; Gong, C.; Cao, Y.; Ren, B.; Cheng, M.M.; Borji, A. Enhanced-Alignment Measure for Binary Foreground Map Evaluation. arXiv 2018, arXiv:1805.10421. [Google Scholar]
- Zhou, L.; Yang, Z.; Zhou, Z.; Hu, D. Salient Region Detection Using Diffusion Process on a Two-Layer Sparse Graph. IEEE Trans. Image Process. 2017, 26, 5882–5894. [Google Scholar] [CrossRef] [PubMed]
- Zhu, W.; Liang, S.; Wei, Y.; Sun, J. Saliency Optimization From Robust Background Detection. In Proceedings of the IEEE Conference on Computer Vision and Pattern Recognition, Columbus, OH, USA, 23–28 June 2014; pp. 2814–2821. [Google Scholar]
- Peng, H.; Li, B.; Ling, H.; Hu, W.; Xiong, W.; Maybank, S.J. Salient Object Detection Via Structured Matrix Decomposition. IEEE Trans. Pattern Anal. Mach. Intell. 2016, 39, 818–832. [Google Scholar] [CrossRef]
- Huang, F.; Qi, J.; Lu, H.; Zhang, L.; Ruan, X. Salient Object Detection Via Multiple Instance Learning. IEEE Trans. Image Process. 2017, 26, 1911–1922. [Google Scholar] [CrossRef]
- Zhao, T.; Wu, X. Pyramid Feature Attention Network for Saliency Detection. In Proceedings of the IEEE/CVF Conference on Computer Vision and Pattern Recognition, Long Beach, CA, USA, 15–20 June 2019; pp. 3085–3094. [Google Scholar]
- Luo, Z.; Mishra, A.; Achkar, A.; Eichel, J.; Li, S.; Jodoin, P.M. Non-Local Deep Features for Salient Object Detection. In Proceedings of the IEEE Conference on Computer Vision and Pattern Recognition, Honolulu, HI, USA, 21–26 July 2017; pp. 6609–6617. [Google Scholar]
- Hou, Q.; Cheng, M.M.; Hu, X.; Borji, A.; Tu, Z.; Torr, P.H. Deeply Supervised Salient Object Detection With Short Connections. In Proceedings of the IEEE Conference on Computer Vision and Pattern Recognition, Honolulu, HI, USA, 21–26 July 2017; pp. 3203–3212. [Google Scholar]
- Deng, Z.; Hu, X.; Zhu, L.; Xu, X.; Qin, J.; Han, G.; Heng, P.A. R3Net: Recurrent Residual Refinement Network for Saliency Detection. In Proceedings of the 27th International Joint Conference on Artificial Intelligence, Stockholm, Sweden, 13–19 July 2018; AAAI Press: Menlo Park, CA, USA, 2018; Volume 684690. [Google Scholar]
- Zhang, L.; Dai, J.; Lu, H.; He, Y.; Wang, G. A Bi-Directional Message Passing Model for Salient Object Detection. In Proceedings of the IEEE Conference on Computer Vision and Pattern Recognition, Salt Lake City, UT, USA, 18–23 June 2018; pp. 1741–1750. [Google Scholar]
- Liu, J.J.; Hou, Q.; Cheng, M.M.; Feng, J.; Jiang, J. A Simple Pooling-Based Design for Real-Time Salient Object Detection. In Proceedings of the IEEE/CVF Conference on Computer Vision and Pattern Recognition, Long Beach, CA, USA, 15–20 June 2019; pp. 3917–3926. [Google Scholar]
- Liu, N.; Han, J.; Yang, M.H. PiCANet: Learning Pixel-Wise Contextual Attention for Saliency Detection. In Proceedings of the IEEE Conference on Computer Vision and Pattern Recognition, Salt Lake City, UT, USA, 18–23 June 2018; pp. 3089–3098. [Google Scholar]
- Wu, Z.; Su, L.; Huang, Q. Cascaded Partial Decoder for Fast and Accurate Salient Object Detection. In Proceedings of the IEEE/CVF Conference on Computer Vision and Pattern Recognition, Long Beach, CA, USA, 15–20 June 2019; pp. 3907–3916. [Google Scholar]
- Qin, X.; Zhang, Z.; Huang, C.; Gao, C.; Dehghan, M.; Jagersand, M. BASNet: Boundary-Aware Salient Object Detection. In Proceedings of the IEEE/CVF Conference on Computer Vision and Pattern Recognition, Long Beach, CA, USA, 15–20 June 2019; pp. 7479–7489. [Google Scholar]
- Zhou, H.; Xie, X.; Lai, J.H.; Chen, Z.; Yang, L. Interactive Two-Stream Decoder for Accurate and Fast Saliency Detection. In Proceedings of the IEEE/CVF Conference on Computer Vision and Pattern Recognition, Seattle, WA, USA, 14–19 June 2020; pp. 9141–9150. [Google Scholar]
- Wei, J.; Wang, S.; Huang, Q. F3Net: Fusion, Feedback, and Focus for Salient Object Detection. In Proceedings of the AAAI Conference on Artificial Intelligence, New York, NY, USA, 7–12 February 2020; Volume 34, pp. 12321–12328. [Google Scholar]
- Yuan, Y.; Li, C.; Kim, J.; Cai, W.; Feng, D.D. Reversion Correction and Regularized Random Walk Ranking for Saliency Detection. IEEE Trans. Image Process. 2017, 27, 1311–1322. [Google Scholar] [CrossRef]
- Pang, Y.; Zhao, X.; Zhang, L.; Lu, H. Multi-Scale Interactive Network for Salient Object Detection. In Proceedings of the IEEE/CVF Conference on Computer Vision and Pattern Recognition, Seattle, WA, USA, 14–19 June 2020; pp. 9413–9422. [Google Scholar]
- Liu, Y.; Zhang, X.Y.; Bian, J.W.; Zhang, L.; Cheng, M.M. SAMNet: Stereoscopically Attentive Multi-Scale Network for Lightweight Salient Object Detection. IEEE Trans. Image Process. 2021, 30, 3804–3814. [Google Scholar] [CrossRef]
- Zhou, X.; Fang, H.; Liu, Z.; Zheng, B.; Sun, Y.; Zhang, J.; Yan, C. Dense Attention-Guided Cascaded Network for Salient Object Detection of Strip Steel Surface Defects. IEEE Trans. Instrum. Meas. 2021, 71, 1–14. [Google Scholar] [CrossRef]
- Song, G.; Song, K.; Yan, Y. EDRNet: Encoder-Decoder Residual Network for Salient Object Detection of Strip Steel Surface Defects. IEEE Trans. Instrum. Meas. 2020, 69, 9709–9719. [Google Scholar] [CrossRef]
- Sun, Y.; Chen, G.; Zhou, T.; Zhang, Y.; Liu, N. Context-aware cross-level fusion network for camouflaged object detection. arXiv 2021, arXiv:2105.12555. [Google Scholar]
- GongyangLi, Z.; Bai, Z.; Lin, W.; Ling, H. Lightweight salient object detection in optical remote sensing images via feature correlation. IEEE Trans. Geosci. Remote Sens. 2022, 60, 5617712. [Google Scholar]






| Methods | MAE ↓ | SM ↑ | w- ↑ | ↑ | ↑ | ↑ | ↑ | ↑ | ↑ | Params (M) ↓ |
|---|---|---|---|---|---|---|---|---|---|---|
| 2LSG [45] | 0.2474 | 0.5516 | 0.2976 | 0.6989 | 0.5610 | 0.6321 | 0.4143 | 0.3892 | 0.4357 | 62.1 |
| BASNet [57] | 0.0152 | 0.9284 | 0.9013 | 0.9641 | 0.9691 | 0.9797 | 0.8754 | 0.9083 | 0.9288 | 51.3 |
| BC [46] | 0.1554 | 0.5943 | 0.4076 | 0.7304 | 0.6455 | 0.6904 | 0.4727 | 0.4296 | 0.4773 | —— |
| BMPM [53] | 0.0299 | 0.8586 | 0.8510 | 0.9352 | 0.9010 | 0.9363 | 0.8464 | 0.8482 | 0.8689 | 49.1 |
| CPD [56] | 0.0211 | 0.9039 | 0.7984 | 0.9337 | 0.9393 | 0.9761 | 0.8355 | 0.8746 | 0.9125 | 29.2 |
| DACNet [63] | 0.0118 | 0.9428 | 0.9196 | 0.9695 | 0.9767 | 0.9855 | 0.8965 | 0.9250 | 0.9456 | 98.4 |
| DSS [51] | 0.0239 | 0.8244 | 0.8347 | 0.9372 | 0.8550 | 0.9361 | 0.8637 | 0.8088 | 0.8535 | 75.6 |
| EDRNet [64] | 0.0130 | 0.9374 | 0.9225 | 0.9685 | 0.9753 | 0.9839 | 0.8898 | 0.9202 | 0.9400 | 49.3 |
| F3Net [59] | 0.0149 | 0.9209 | 0.9100 | 0.9729 | 0.9718 | 0.9768 | 0.8992 | 0.9085 | 0.9219 | 35.5 |
| ITSD [58] | 0.0152 | 0.9238 | 0.9011 | 0.9601 | 0.9691 | 0.9795 | 0.8628 | 0.8968 | 0.9242 | 48.3 |
| MIL [48] | 0.1824 | 0.6186 | 0.3114 | 0.7266 | 0.6017 | 0.7113 | 0.4799 | 0.4513 | 0.5426 | 56.4 |
| MINet [61] | 0.0144 | 0.9242 | 0.9230 | 0.9654 | 0.9670 | 0.9761 | 0.8840 | 0.9049 | 0.9016 | 47.6 |
| NLDF [50] | 0.0484 | 0.8030 | 0.6939 | 0.8714 | 0.8075 | 0.8798 | 0.7265 | 0.7040 | 0.7648 | 57.2 |
| PFANet [49] | 0.0841 | 0.7412 | 0.5357 | 0.7222 | 0.7523 | 0.8589 | 0.5590 | 0.5987 | 0.7122 | 87.2 |
| PiCANet [55] | 0.0263 | 0.8968 | 0.8937 | 0.9007 | 0.9237 | 0.9691 | 0.7615 | 0.8325 | 0.8059 | 47.2 |
| PoolNet [54] | 0.0215 | 0.9031 | 0.8367 | 0.9235 | 0.9347 | 0.9727 | 0.8091 | 0.8512 | 0.8944 | 53.6 |
| R3Net [52] | 0.0255 | 0.8395 | 0.8336 | 0.9347 | 0.9071 | 0.9374 | 0.8460 | 0.8315 | 0.8396 | 46.3 |
| RCRR [60] | 0.2439 | 0.5343 | 0.2362 | 0.6385 | 0.5493 | 0.6300 | 0.3353 | 0.3430 | 0.3953 | —— |
| SAMNet [62] | 0.0218 | 0.9064 | 0.8521 | 0.9306 | 0.9400 | 0.9745 | 0.8092 | 0.8631 | 0.9061 | 65.3 |
| SMD [47] | 0.2045 | 0.5843 | 0.3673 | 0.7110 | 0.5934 | 0.6503 | 0.4459 | 0.4268 | 0.4739 | 71.8 |
| Ours | 0.0120 | 0.9447 | 0.9470 | 0.9694 | 0.9768 | 0.9858 | 0.8925 | 0.9258 | 0.9470 | 48.0 |
| Methods | MAE ↓ | SM ↑ | ↑ | ↑ |
|---|---|---|---|---|
| Baseline | 0.0338 | 0.7519 | 0.9231 | 0.7519 |
| DB | 0.0335 | 0.7744 | 0.9245 | 0.7844 |
| UP | 0.0342 | 0.7933 | 0.9287 | 0.7736 |
| RCSA | 0.0335 | 0.7669 | 0.9244 | 0.7765 |
| RCSA + RSAB | 0.0160 | 0.8732 | 0.9342 | 0.8119 |
| RCSA + RSAB + DB | 0.0121 | 0.9236 | 0.9652 | 0.8732 |
| RCSA + RSAB + DB + UB (Ours) | 0.0120 | 0.9447 | 0.9768 | 0.9258 |
| 0.0152 | 0.9281 | 0.9610 | 0.9088 | |
| 0.0139 | 0.9348 | 0.9694 | 0.9118 | |
| 0.0124 | 0.9408 | 0.9707 | 0.9258 |
| Methods | MAE ↓ | SM ↑ | ↑ | ↑ | Parameters (M) ↓ |
|---|---|---|---|---|---|
| BC [46] | 0.1356 | 0.6004 | 0.6704 | 0.4976 | — |
| CPD [56] | 0.0254 | 0.8884 | 0.9627 | 0.8777 | 29.2 |
| DACNet [63] | 0.0226 | 0.8855 | 0.9570 | 0.8722 | 98.4 |
| EDRNet [64] | 0.0229 | 0.8651 | 0.9603 | 0.8769 | 39.3 |
| F3Net [59] | 0.0208 | 0.8977 | 0.9663 | 0.8910 | 25.5 |
| MINet [61] | 0.0221 | 0.8885 | 0.9604 | 0.8798 | 47.6 |
| PiCANet [55] | 0.0449 | 0.8490 | 0.9317 | 0.8337 | 47.2 |
| RCRR [60] | 0.1994 | 0.5746 | 0.6238 | 0.4469 | — |
| C2FNet [65] | 0.0207 | 0.8982 | 0.9701 | 0.8835 | 26.4 |
| CorrNet [66] | 0.0243 | 0.8776 | 0.9532 | 0.8785 | 39.3 |
| Ours | 0.0188 | 0.9002 | 0.9704 | 0.8914 | 48.0 |
Disclaimer/Publisher’s Note: The statements, opinions and data contained in all publications are solely those of the individual author(s) and contributor(s) and not of MDPI and/or the editor(s). MDPI and/or the editor(s) disclaim responsibility for any injury to people or property resulting from any ideas, methods, instructions or products referred to in the content. |
© 2024 by the authors. Licensee MDPI, Basel, Switzerland. This article is an open access article distributed under the terms and conditions of the Creative Commons Attribution (CC BY) license (https://creativecommons.org/licenses/by/4.0/).
Share and Cite
Sun, Y.; Geng, S.; Guo, H.; Zheng, C.; Zhang, L. A Strip Steel Surface Defect Salient Object Detection Based on Channel, Spatial and Self-Attention Mechanisms. Electronics 2024, 13, 4277. https://doi.org/10.3390/electronics13214277
Sun Y, Geng S, Guo H, Zheng C, Zhang L. A Strip Steel Surface Defect Salient Object Detection Based on Channel, Spatial and Self-Attention Mechanisms. Electronics. 2024; 13(21):4277. https://doi.org/10.3390/electronics13214277
Chicago/Turabian StyleSun, Yange, Siyu Geng, Huaping Guo, Chengyi Zheng, and Li Zhang. 2024. "A Strip Steel Surface Defect Salient Object Detection Based on Channel, Spatial and Self-Attention Mechanisms" Electronics 13, no. 21: 4277. https://doi.org/10.3390/electronics13214277
APA StyleSun, Y., Geng, S., Guo, H., Zheng, C., & Zhang, L. (2024). A Strip Steel Surface Defect Salient Object Detection Based on Channel, Spatial and Self-Attention Mechanisms. Electronics, 13(21), 4277. https://doi.org/10.3390/electronics13214277

