Maximum Doppler Shift Identification Using Decision Feedback Channel Estimation
Abstract
1. Introduction
2. System Model
2.1. Channel Model
2.2. Doppler Shift
3. Maximum Doppler Shifts Estimation
3.1. Conventional Method
3.2. Proposed Method
3.2.1. Decision Feedback Channel Estimation
3.2.2. Maximum Doppler Shift Estimation
4. Numerical Result
4.1. Optimization for DFCE
4.2. Comparison Results
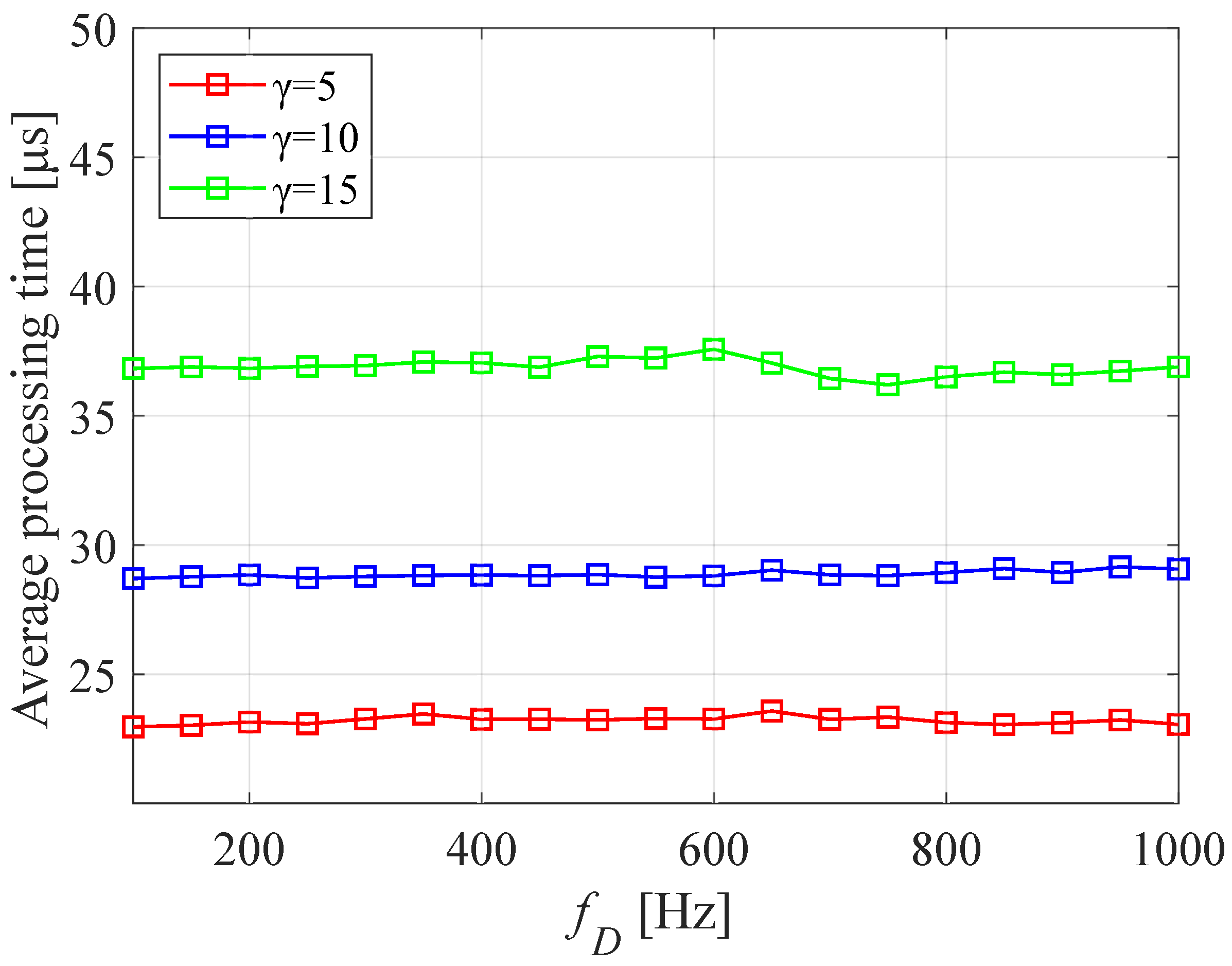
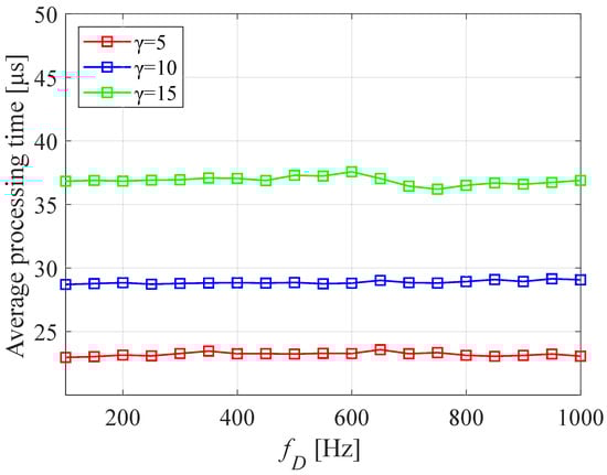
4.3. Computational Complexity
5. Conclusions
Author Contributions
Funding
Data Availability Statement
Conflicts of Interest
References
- Muntadher, A.; Marwah, A.N.; Basheera, M.M.; Sadiq, H.A.; Mohammad, R.E.; Ahmed, B.; Nor, K.N.; Sadiq, M.S.; Khaled, A.U.; Fazirul, H. 6G Wireless Communications Networks: A Comprehensive Survey. IEEE Access 2021, 9, 148191–148243. [Google Scholar]
- Lal, C.G. Applications of antenna arrays to mobile communications. I. Performance improvement, feasibility, and system considerations. Proc. IEEE 1997, 85, 1031–1060. [Google Scholar]
- Mostafa, Z.C.; Shahjalal, M.; Shakil, A.; Yeong, M.J. 6G Wireless Communication Systems: Applications, Requirements, Technologies, Challenges, and Research Directions. IEEE Open J. Commun. Soc. 2020, 1, 957–975. [Google Scholar]
- Henrik, M.; Ingo, V.; Andreas, L.; Bernhard, W. Mobility and Reliability in LTE-5G Dual Connectivity Scenarios. In Proceedings of the 2017 IEEE 86th Vehicular Technology Conference (VTC-Fall), Toronto, ON, Canada, 24–27 September 2017; pp. 1–4. [Google Scholar]
- Noor-A-Rahim, M.; Liu, Z.; Lee, H.; Khyam, M.O.; He, J.; Pesch, D.; Moessner, K.; Saad, W.; Poor, H.V. 6G for vehicle-to-everything (V2X) communications: Enabling technologies, challenges, and opportunities. Proc. IEEE 2022, 110, 712–734. [Google Scholar] [CrossRef]
- Chen, S.; Sun, S.; Kang, S. System integration of terrestrial mobile communication and satellite communication —the trends, challenges and key technologies in B5G and 6G. China Commun. 2020, 17, 156–171. [Google Scholar] [CrossRef]
- Wei, Z.; Yuan, W.; Li, S.; Yuan, J.; Bharatula, G.; Hadani, R.; Hanzo, L. Orthogonal time-frequency space modulation: A promising next-generation waveform. IEEE Wireless Commun. 2021, 28, 136–144. [Google Scholar] [CrossRef]
- Victor, M.B. Incorporating Spatial Modulation for Non-Coherent Massive MIMO with DPSK Schemes. IEEE Wirel. Commun. Lett. 2024, 13, 2527–2530. [Google Scholar]
- Shun, K.; Takashi, A.; Koya, W.; Masato, K.; Ahn, C.-J. Adaptive switching method with AMC and FSS. In Proceedings of the 2018 26th International Conference on Software, Telecommunications and Computer Networks (SoftCOM), Split, Croatia, 13–15 September 2018; pp. 1–6. [Google Scholar]
- Shun, K.; Maruta, K.; Feng, Y.; Ahn, C.-J.; Tarokh, V. CNN-based joint SNR and Doppler shift classification using spectrogram images for adaptive modulation and coding. IEEE Trans. Commun. 2021, 69, 5152–5167. [Google Scholar]
- Tamura, K.; Kojima, S.; Trinh, P.V.; Sugiura, S.; Ahn, C.-J. Joint SNR and rician K-factor estimation using multimodal network over mobile fading channels. IEEE Trans. Mach. Learn. Commun. Netw. 2024, 2, 766–779. [Google Scholar] [CrossRef]
- Denno, S.; Hotta, K.; Hou, Y. User mobility estimation through maximum Doppler frequency detection. In Proceedings of the 2021 15th International Conference on Signal Processing and Communication Systems (ICSPCS), Sydney, Australia, 13–15 December 2021; pp. 1–5. [Google Scholar]
- Xingjian, D.; Shiqian, C.; Guanpei, X.; Zhike, P.; Wenming, Z.; Guang, M. Doppler Frequency Estimation by Parameterized Time-Frequency Transform and Phase Compensation Technique. IEEE Sens. J. 2018, 18, 3734–3744. [Google Scholar]
- Kohei, H.; Satoshi, D.; Kazuoki, I.; Takashi, O.; Yuji, A. Doppler Frequency Estimation using Overlap Frequency Domain Equalization. In Proceedings of the 2018 21st International Symposium on Wireless Personal Multimedia Communications (WPMC), Chiang Rai, Thailand, 25–28 November 2018; pp. 256–261. [Google Scholar]
- Takaki, O.; Shun, K.; Kazuki, M.; Ahn, C.-J. Neural Network based Channel Identification and Compensation. In Proceedings of the 2018 18th International Symposium on Communications and Information Technologies (ISCIT), Bangkok, Thailand, 26–29 September 2018; pp. 349–354. [Google Scholar]
- He, H.; Wang, J.-H.; Kojima, S.; Maruta, K.; Ahn, C.-J. Regression CNN based fast fading channel tracking using decision feedback channel estimation. J. Signal Process. 2023, 27, 49–57. [Google Scholar] [CrossRef]
- Kojima, S.; Maruta, K.; Ahn, C.-J. Adaptive modulation and coding using neural network based SNR estimation. IEEE Access 2019, 7, 183545–183553. [Google Scholar] [CrossRef]
- Jakes, W.C. Microwave Mobile Communication; IEEE Press: Piscataway, NJ, USA, 1994. [Google Scholar]








| Parameter | Value |
|---|---|
| IFFT size | 64 |
| Number of pilot symbols | 2 |
| Number of subcarriers | 62 |
| Number of symbols | 20 |
| Length of guard interval | 16 |
| Modulation | BPSK |
| Bandwidth | 20 MHz |
| Number of paths | 5 |
| Doppler frequency | 0–1000 Hz |
Disclaimer/Publisher’s Note: The statements, opinions and data contained in all publications are solely those of the individual author(s) and contributor(s) and not of MDPI and/or the editor(s). MDPI and/or the editor(s) disclaim responsibility for any injury to people or property resulting from any ideas, methods, instructions or products referred to in the content. |
© 2024 by the authors. Licensee MDPI, Basel, Switzerland. This article is an open access article distributed under the terms and conditions of the Creative Commons Attribution (CC BY) license (https://creativecommons.org/licenses/by/4.0/).
Share and Cite
Handa, Y.; Hayakawa, H.; Tanaka, R.; Tamura, K.; Cha, J.; Ahn, C.-J. Maximum Doppler Shift Identification Using Decision Feedback Channel Estimation. Electronics 2024, 13, 4113. https://doi.org/10.3390/electronics13204113
Handa Y, Hayakawa H, Tanaka R, Tamura K, Cha J, Ahn C-J. Maximum Doppler Shift Identification Using Decision Feedback Channel Estimation. Electronics. 2024; 13(20):4113. https://doi.org/10.3390/electronics13204113
Chicago/Turabian StyleHanda, Yudai, Hiroya Hayakawa, Riku Tanaka, Kosuke Tamura, Jaesang Cha, and Chang-Jun Ahn. 2024. "Maximum Doppler Shift Identification Using Decision Feedback Channel Estimation" Electronics 13, no. 20: 4113. https://doi.org/10.3390/electronics13204113
APA StyleHanda, Y., Hayakawa, H., Tanaka, R., Tamura, K., Cha, J., & Ahn, C.-J. (2024). Maximum Doppler Shift Identification Using Decision Feedback Channel Estimation. Electronics, 13(20), 4113. https://doi.org/10.3390/electronics13204113

