Next Article in Journal
Investigation of the Role of the Initial Workpiece Diameter in Deformation Control in Electromagnetic Sheet Forming
Previous Article in Journal
SCL-Dehaze: Toward Real-World Image Dehazing via Semi-Supervised Codebook Learning
 
 
Due to scheduled maintenance work on our servers, there may be short service disruptions on this website between 11:00 and 12:00 CEST on March 28th.
Font Type:
Arial Georgia Verdana
Font Size:
Aa Aa Aa
Line Spacing:
Column Width:
Background:
Article

Modeling and Analysis of Coupled Online–Offline Opinion Dissemination Scenarios Based on Multi-Factor Interaction

1
School of Public Security Information Technology and Intelligence, Criminal Investigation Police University of China, Shenyang 110854, China
2
State Key Laboratory of Media Convergence and Communication, School of Information and Communication Engineering, Communication University of China, Beijing 100024, China
*
Author to whom correspondence should be addressed.
Electronics 2024, 13(19), 3829; https://doi.org/10.3390/electronics13193829
Submission received: 8 August 2024 / Revised: 24 September 2024 / Accepted: 26 September 2024 / Published: 27 September 2024

Abstract

In recent years, new media have exacerbated the complexity of online public opinion scenarios through fragmentation of information, diversification of public opinion, rapid diffusion of public opinion, and concealment of information sources, which have posed several serious challenges to the benign development of online public opinion ecosystems. Therefore, based on diversified public opinion scenarios, we study the interaction between information dissemination and the evolution of group opinions and the dissemination laws to solve the problem of imprecise grasping of the dissemination laws in complex public opinion scenarios. Facing the two-way interaction between online platforms and real society, we constructed a coupled online–offline viewpoint evolution dynamics model, which considers factors such as the user subject level and the network environment level, and combines viewpoint dynamics theory with information dissemination dynamics theory. Based on the real case of dual interaction between online and offline, we carry out the construction of a two-layer coupling network and numerical fitting comparison experiments to study the synergistic and penetration mechanism of public opinion in both online and offline multi-spaces. Based on parametric analysis experiments, the influence of different factors on communication indicators is mined, and the driving effect of the viewpoint environment of offline communication on online public opinion is studied, which reveals the objective role of multi-factors on the law of intralayer communication, cross-network communication, and viewpoint evolution, and provides strategic suggestions for the comprehensive management of public opinion in online–offline large-scale mass incidents.

1. Introduction

In the Internet environment, users are both producers and users of content, and this convergence of production and use is a central feature of social media platforms. Axel Bruns’ theory [1] of produsage reveals that collective intelligence and continuous co-creation drive the dynamic process of user-generated and disseminated content, and that this decentralized dissemination and interactivity accelerates the shaping of public opinion. At the same time, social media go beyond traditional gatekeeping, making information screening and dissemination more rapid and democratic through user-driven gatekeeping, real-time, algorithmic recommendation, transparency, and pluralistic inclusiveness. However, this model also brings new challenges. The fragmentation of information, the plurality of public opinion, the rapidity of public opinion dissemination, and the covertness of information sources have intensified the complexity of the online public opinion environment, posing a serious challenge to the healthy development of the online public opinion ecosystem. The fragmentation of information is manifested in the fact that information appears in a fragmented form, and users often only have access to a part of the event rather than the whole picture. This fragmented way of receiving information may lead to the public’s one-sided understanding of the event, or even mislead them. In fragmented information, the audience’s attention is dispersed, and their ability to think deeply and analyze rationally is weakened, which poses a challenge to building an online public opinion environment based on facts and logic. Pluralism of public opinion means that different voices and opinions can coexist on an open new media platform, providing the public with broader perspectives and richer sources of information. However, a pluralistic public opinion environment also brings about the intensification of differences in opinions and the increased risk of extreme remarks and misinformation, which poses a challenge to the maintenance of order and harmony in cyberspace. As pointed out by Wu et al. [2], as a new form of information pollution, network fake news, with its fast and wide dissemination speed and strong timeliness and purpose, has a far-reaching impact on many fields such as socio-politics, science and health, and the business market, and even threatens the credibility of mainstream media. The rapid diffusion of public opinion allows information to spread throughout the network in a very short period of time, which is especially obvious in the case of emergencies and hotspots. On the one hand, the rapid spread of public opinion can quickly gather social forces, but on the other hand, it may also lead to the over-consumption of information and irrational fermentation of public opinion, posing a threat to the stability of the network public opinion ecosystem. The problem of hidden information sources is that it is often difficult to verify the identity of the information publisher, and the anonymous or pseudo-anonymous nature of the information provides a ground for the creation and dissemination of false information. Such concealment not only increases the difficulty of public opinion regulation, but also weakens the credibility of information and the authority of public opinion, posing a serious challenge to the healthy development of the online public opinion ecosystem. The impact of these new media characteristics on the ecosystem of online public opinion is not only reflected in the surface level of information dissemination, but also profoundly affects the mode of group communication and the path of viewpoint evolution. On this basis, we will further explore how groups engage in information exchange and viewpoint interaction in the new media environment, and how these interactions shape and change the direction of online public opinion.
With the promotion of WEB2.0 and mobile Internet technology, group opinion [3], as an important influencing factor and manifestation of online public opinion, can reflect people’s inclined attitude towards a hot event in a short time. Each individual, while expressing his/her own opinion, will actively communicate and interact with other individuals, and update his/her own opinion in the process of considering the views of different decision-makers, and such repeated interactions may ultimately lead to consensus, division, or polarization, a process known as “opinion evolution” [4]. During the COVID-19 epidemic, the Internet became the main channel for people to obtain information about the epidemic, and many cities set up special epidemic information sections on their websites to provide the latest epidemic data, government policies, and protective measures. However, some websites were not updated in a timely manner, affecting the effectiveness of the information [5]. Meanwhile, some daily life communication websites with insufficient protective measures became a platform for the dissemination of inaccurate information and rumors, triggering panic among the public and a lack of trust in the government, affecting social stability. This shows that the Internet has a very strong role in contributing to the occurrence of mass incidents [6], and the new era of all media, in which online social networks are widely popular, urgently requires more reasonable and efficient regulation of the dissemination of network information and the evolution of users’ views. Therefore, we aim to model and analyze the dynamics of opinion dissemination and evolution in coupled online and offline scenarios. By examining the interactions among multiple factors and exploring how these interactions work together in the process of information and public opinion dissemination in both cyberspace and real-world environments, we aim to reveal how information intertwines and spreads between the virtual and the real and influences the public’s viewpoints and attitudes in different scenarios.
Currently, the research on the evolutionary communication process of online public opinion is gradually deepening, but there is still room for improvement in some aspects. Some studies may not pay sufficient attention to the individual differences in the public dissemination of information, or the analysis of user behavior at the micro level is not deep enough. Especially in terms of data use, most studies rely on simulated or secondary data and do not use real user behavior data, which may lead to an inaccurate and incomplete understanding of user behavior patterns. In addition, previous studies may focus more on a single opinion dissemination environment, and the interaction mechanism between offline and online opinion dissemination is not sufficiently explored. In order to contrast with existing studies and to clarify the contribution of our study, we aim to emphasize the following two innovations:
(1)
We are oriented to a coupled online–offline propagation scenario in which the first dissemination of information occurs in a real physical space, consider the intra and interlayer driving forces of individuals participating in information dissemination and opinion interactions in the coupled network, and propose a modeling method for the dynamics of coupled online–offline opinion evolutionary propagation.
(2)
We constructed an online–offline coupling network based on real user data and generated data on a microblogging platform, studied the synergistic penetration mechanism of public opinion in online and offline multi-spaces, as well as the driving effect of different factors on the two-way interaction between online and offline, and revealed the objective role of multi-factors on the law of intralayer dissemination, cross-network dissemination, and viewpoint evolution, which provided strategic suggestions for the comprehensive management of public opinion in online and offline large-scale mass incidents. This study reveals the objective law of multi-factors on intralayer communication and cross-network communication and opinion evolution and provides strategic suggestions for the comprehensive management of online–offline large-scale mass events.

2. Related Work

The propagation of information on the Internet has similarity with propagation phenomena in some real systems, such as disease epidemics, so some scholars believe that the mathematical idea of the infectious disease propagation model can be used to depict the propagation characteristics of information in networks. In recent years, the complex network propagation dynamics model developed based on the infectious disease model has been updated and iterated, and scholars have proposed a series of improved models based on the traditional model to improve the mechanism of public opinion propagation from different perspectives. Some of these scholars have expanded the scenario of model application by introducing new propagation mechanisms and complex network structures into the traditional model. Focusing on combining the incubation mechanism, the cross-propagation mechanism, and the nonlinear propagation rate, Xia et al. [7] proposed an Ignorants-Lurkers-Spreaders-Removers (ILSR) rumor propagation model in a multilingual environment based on the four states. Zhao et al. [8] proposed Susceptible-Infected-Hibernator-Removed (SIHR), a classical rumor propagation model, by considering the user’s memory mechanism and forgetting mechanism, adding a dormant state between the infected state and the immunized state, and investigating the different effects of the immunization rate, memory rate, and forgetting rate on the rumor. The different effects of immunization rate, memory rate, and forgetting rate on the rumor propagation process were investigated through numerical simulation. However, the model does not consider the time-varying nature of users’ memorization and forgetting rates, and the homogeneous mixture model has some limitations in studying the propagation of public opinion on complex online social networks. Tong et al. [9] proposed the Susceptible-Hesitating-Infected-Latent-Recovered (SHILR) rumor propagation model based on heterogeneous networks by adding hesitating and latent states to the SIR model, investigated the effects of recursive mechanisms, individual behaviors, and control strategies on rumor propagation, and effective control strategies for rumor spreading were designed. On the other hand, some scholars have refined the characteristics of information dissemination by considering individual and external influences on the basis of the traditional model. Xu et al. [10] proposed the Susceptible-Hesitating-Propagating-Resisted-Susceptible (SHPRS) model, which takes into account psychological factors such as users’ hesitation and forgetting as well as the heterogeneity of online social networks. Numerical simulation experiments on scale-free networks demonstrate that reducing the individual hesitation rate can reduce the scale of rumor spreading and effectively inhibit the spread of rumor information. Xia et al. [11] proposed an improved model of SEIR with a hesitation mechanism considering the attractiveness and ambiguity of rumor content. Numerical simulations on generative networks (WS small-world network and BA scale-free network) and real networks (Facebook network) were conducted to verify the rationality and effectiveness of the model. In summary, the network information propagation dynamics model that introduces individual characteristics and external information characteristics takes into account the diversity and complexity of factors influencing information propagation. However, this kind of model lacks the micro-level analysis of the law of public opinion dissemination, such as user interaction mode and viewpoint evolution mode.
Nowadays, opinion dynamics is commonly used to study the mechanism of group opinion evolution and provide theoretical support for the fields of politics, the economy, and especially public opinion governance. According to the differences in the expression form of opinions, opinion dynamics models can be categorized into two types, discrete and continuous, among which the main discrete opinion dynamics models include the voter model [12,13,14], the majority decision model [15,16], and the Sznajd model [17,18], which are suitable for describing individuals’ simple decision-making on binary discrete opinions and cannot capture the dynamic process of opinion change. Therefore, modeling opinions using continuous variables in intervals under the assumption of bounded trust is widely used. Depending on the mode of opinion updating, the continuum-type dynamical models with bounded trust mainly include the HK (Hegselmann–Krause) model [19], the DW (Deffuant–Weisbuch) model [20], and the JA (Jager–Amblard) model [21]. Recently, many scholars have made notable contributions to the innovation and simulation of opinion evolution models. Some of the scholars focus on the opinion interaction between two or more bodies and consider the case of an individual interacting with an arbitrary neighbor. By altering the interactions agents have with one another, Mok [22] created simulations of varying versions of the DW model to simulate real-life social phenomena. He created a scenario where agents are only allowed to interact with one another if and only if both agents do not move out of the tolerance range of their current neighbors. Next, he changed the condition such that agents are allowed to interact as long as they do not decrease the number of neighbors within their tolerance range. Krishnagopal et al. [23] formulated a neighborhood DW model to explore how the opinion dynamics and the network properties change with the relative proportions of bidirectional and transmitted influences, thus observing interesting opinion state change processes that cannot occur in the underlying DW model. Some other scholars have focused on opinion interactions among multiple individuals, considered the influence of neighbors on individual opinion values, and made a series of extensions based on the HK model. Du et al. [24] consider the HK opinion formation model with leadership and a time delay, dealing with the control strategies without a time delay effect. Numerical simulations suggest that consensus can still emerge asymptotically in the opinion evolution flow under the leader’s control even when the time delay is large. Chen et al. [25] construct a three-stage cascade opinion dynamics model, based on the HK model, to analyze the effect of information dissemination attenuation on group decision behavior in coupled social networks. This model considers three-stage cascade information transmission and two competitive opinion leader subgroups in two different social network environments and can describe a public opinion dissemination environment more closely. Perrier et al. [26] conducted an extensive study based on the joint effect of heterogeneous social agents and their heterogeneous social ties in the HK model, exploring the complete phase diagram of the model under two different network topologies and comparing it with two opposing extreme cases. Some other scholars have focused on the distance-based opinion interaction rules between the two dyads and made a series of improvements to the JA model based on three opinion-updating rules: assimilation, neutrality, and exclusion. Li et al. [27] extended the JA model by considering both assimilation and exclusion parameters and established a multidimensional opinion polarization model by using the multi-intelligent body technique, which investigated the effects of different network topologies and different dimensions of opinions on the process of opinion evolution. Chen et al. [28] established an opinion polarization model based on the JA model by considering the heterogeneity of individuals and the dynamic integration of opinions and investigated the impacts of the heterogeneity of the initial perceptions, the heterogeneity of the individuals’ subordination, and the effects of the dynamic integration of individual opinions and mainstream social opinions on the speed and outcome of opinion polarization. In summary, since the classical JA model reasonably explains the situation that individuals’ acceptance of their side’s opinion is greater than that of the opposing opinion in the process of opinion evolution, which is more relevant to the reality of the opinion evolution phenomenon, more and more scholars have begun to take into account the heterogeneity of the individual and group dynamics in recent years, and improve the JA model by formulating different rules for updating the opinion, to study the process of the evolution of the opinion.
Combining the propagation dynamics model with the public opinion dynamics model to study the mutual influence mechanism between information dissemination and public opinion evolution is a research hotspot that many scholars pay attention to. Chen et al. [29] improved the traditional SEIR model by introducing individual communication willingness and the forgetting effect as conditions for individual state transition They improved the JA model by adding three heterogeneity factors, namely, individual consistency, individual conservatism, and the strength of inter-individual relationships, combining the two models to characterize the dynamic interaction process of network users’ opinions. They conducted numerical simulations in the BA network, ER network, and WS network to explore the influence of individual connections on the degree of opinion polarization. Based on the JA model and SIR model, Yuan et al. [30] introduced a dynamic network and the timeliness factor of opinion propagation and established an exit mechanism of individuals in the process of opinion propagation. They investigated the effects of assimilation and exclusion rules, the initial distribution of opinions of the newly joined individuals, the immunization rate, and the time-varying infection rate on the process of opinion propagation through the actual case of a microblogging platform. They highlighted the opinion–information coupling model’s superiority through a real case study on the Weibo platform. Chen et al. [31] combined the SEIR model with the JA model, introduced a variety of individual heterogeneity factors such as individual communication willingness, the forgetting effect, individual subordination, individual conservatism, and the strength of inter-individual relationships, and constructed the SEIR-JA model combining opinion polarization and the propagation process. They analyzed the interactions between opinion propagation and opinion evolution in terms of model parameters and network structure.
In summary, the study of the opinion–information coupling model has gradually become a hot branch of network information communication dynamics, which can provide new ideas for government departments to implement opinion response measures.

3. Modeling of the Dynamics of Coupled Online–Offline Opinion Evolution Driven by Multi-Dimensional Factors

As shown in Figure 1, a few offline users were prioritized to obtain the information and started spreading it. Some users who had not been exposed to the information obtained the information offline and developed opinions with different intensities because the event occurred in reality. After combining the information with their own known information, they choose to pay continuous attention to the information in a latent state. As time passes, stimulated by external factors, some latent-state users decide to forward the information and express their own opinions, transforming into the forward state. Some of the forward users will choose to upload to online networks for dissemination, while others will choose to propagate in reality. As more and more netizens participate in the dissemination of the incident, the public’s views are gradually polarized, and mass incidents are triggered. Once these behaviors are exposed, their dissemination on online platforms will cause new public opinion to spread, thus opening up “secondary dissemination”, resulting in a cascade of online and offline linkages. Finally, as fewer and fewer users are involved in the dissemination of the incident, public opinion gradually subsides and stabilizes.
Based on the above scenarios, we construct a dynamic model of online–offline coupled opinion evolution driven by multidimensional factors. First of all, we need to quantify the influencing factors under consideration and construct the model from a microscopic perspective.

3.1. Quantification of Impact Factors

Focusing on the fact that current studies rarely quantitatively analyze user behavior and communication mechanisms in multiple scenarios from a microscopic perspective, we consider the influence of multiple factors at the internal level and the external level in the process of information dissemination or opinion evolution and adopt a functional form to fully quantify the individual’s participation in the process of information dissemination and opinion interaction in the network, to provide an evolutionary propagation mechanism for the construction of a dynamic model of the evolution of opinions in online public opinion.

3.1.1. Internal Influences

In an era of information overload, the spread of opinions ripples across the social landscape, shaping our thoughts, actions, and societal fabric. However, not all viewpoints traverse the chasms of individual heterogeneity [32] with ease to form widespread societal consensus. The social background, psychological traits, and behavioral patterns of individuals collectively form individual heterogeneity, akin to barriers within society that influence the pathways and effects of opinion diffusion. Therefore, delving into the impact of individual heterogeneity on opinion diffusion is crucial for understanding the mechanisms of social information dissemination, formulating effective communication strategies, and fostering societal consensus. Therefore, we will present in turn the internal influences considered in the model to represent individual heterogeneity.
  • Propagation willingness
After being exposed to information, microblogging users will decide whether to forward or not based on comprehensive consideration of information from various parties. In general, the factors affecting an individual’s willingness to forward can be summarized in two aspects: the degree of extremity of an individual’s opinions and the user’s forwarding activity. The former reflects an individual’s emotional inclination towards a particular topic; the more extreme the user’s opinion on the information, the stronger his/her willingness to spread it in the network; the latter reflects the user’s forwarding activity. In social networks, most users create and disseminate less information, while a very small number of users are unusually active and have a high capacity to create information, and the higher the forwarding activity of a user, the stronger his or her willingness to disseminate. Therefore, we define propagation willingness [33] W as follows:
W = ( | X i ( t ) | 1 )     e R A 1 + 1
where | X i ( t ) | is the opinion value of node i at time t and | X i ( t ) | reflects the extreme degree of the individual. At the same time, X i ( t ) usually takes a value between −1 and 1, with −1 indicating opposition, 0 indicating neutrality, and 1 indicating support. R A denotes node activity and propagation willingness W is proportional to R A and | X i ( t ) | . W is usually a value between 0 and 1, with 0 indicating no willingness to communicate and 1 indicating a strong willingness to communicate.
  • Forgetfulness
Ebbinghaus’s memory forgetting experiment showed that the forgetting speed was faster at first, and then gradually slowed down, and the corresponding Ebbinghaus memory forgetting curve showed an exponential decay trend, as shown in Figure 2.
Similar to the forgetting process of learning, after users are exposed to a new message on Weibo, their memory of the message will gradually diminish over time, and they will gradually lose interest in the message or even forget the content related to the message. Unlike the natural forgetting process, microbloggers may receive the same message at different points in time, which is similar to the “review” behavior in learning, so the beginning of forgetting is delayed. The forgetting mechanism, which is in line with the characteristics of online communication, is described as follows:
R ( τ ) = a e b τ
where the initial forgetting probability a reflects the importance of information, and the parameter b characterizes the forgetting speed of the propagator. The variable τ denotes the time interval between successive information stimulations received by the user, and R ( τ ) ( 0 , 1 ]
  • Stubbornness
In the process of opinion interaction, users may insist on their own opinions or positions when receiving new information or communicating with others due to personal experience, values, cultural background, and other factors, and hold a strong prejudice or resistance to other opinions, which is defined as “stubbornness”. We define the degree of adherence to one’s own opinion as “stubbornness”, and the more stubborn an individual is, the less likely he or she is to be influenced by others to change his or her own opinion. Therefore, we define the degree of stubbornness T i of user i as shown in Equation (3).
T i = k i k m a x
where k i represents the degree of user i in the network and k m a x represents the maximum node degree in the network. Therefore, user stubbornness is directly proportional to the number of the user’s neighbors, and T i ( 0 , 1 ] .
  • Energies
The biological clock [35] is the intrinsic rhythmicity of an organism’s life activities, determined by the order of time structures within the organism, and is responsible for regulating the organism’s physiological and behavioral changes over 24 h. It is capable of controlling the physiological activities, such as sleep, body temperature, metabolism, and hormone secretion, of the human body according to the diurnal changes of the earth. Its sophisticated regulatory ability makes the human body experience high and low peaks of energy in different periods. The human body’s energy value experiences multiple peaks and valleys within 24 h, as shown in Figure 3; the curve demonstrates the changes in people’s energy status at different times of the day, showing cyclical changes of high and low peaks, which helps to characterize the fluctuation of the user’s energy during the day.

3.1.2. External Influences

On the Internet, the communication environment reflects the overall strength of information dissemination online, and the opinion environment reflects the general atmosphere and pattern of user attitudes online, which together shape individual information dissemination and opinion choice behavior. We analyze and quantify the impact of multiple social effects at the external level, which helps to comprehensively analyze user behavior on the Internet.
  • Enhancement effect
In the field of information dissemination, the social reinforcement effect refers to the fact that when an individual is faced with a topic of interest, the probability of spreading the topic increases as the number of people around him or her spreading the same topic grows [36]. When faced with complex and diverse online information, users will reassess the authenticity and credibility of the information after exposure. Some users will hardly spread the information after only one exposure out of skepticism. However, if users are repeatedly reminded of the same message by their neighbors so that they receive the same message multiple times, the probability of users believing the message and spreading it will increase significantly. Therefore, we define the probability of spreading under the social reinforcement effect as follows:
D ( k ) = { 1 g e G ( i ) [ m ( t ) 1 ]   D ( k ) > 0 0   D ( k ) < 0
where g denotes the probability that an agent will propagate a piece of information after receiving it once, while G ( i ) represents the gain acting as a reinforcement coefficient. Furthermore, m ( t ) corresponds to the number of times that agent i receives the information at a given time t , which is indicative of the intensity of external information stimuli, and D ( k ) [ 0 , 1 ] .
  • Crowd effect
The crowd effect is a social effect that denotes the tendency of individuals in a group to mimic or cater to the opinions, attitudes, or behaviors of the majority, rather than asserting their independent stance [37]. Under the influence of the crowd effect, when individuals face uncertain or ambiguous situations, they tend to rely on the behaviors and opinions of others to guide their decisions and actions. We assume that at moment t , the average social opinion value T ( t ) can be expressed as follows:
T ( t ) = 1 N i = 1 N x i ( t )
where ρ ( t ) denotes the degree of opinion polarization in the whole network up to time t in the evolution of public opinion, which is inversely correlated with the standard deviation of the mean view values, expressed as follows:
ρ ( t ) = 1 1 N i = 1 N ( ( x i ( t ) T ( t ) ) 2
The influence of the social mainstream attitude W ( t ) on agent i at time t is positively correlated with the overall social polarization ρ ( t ) and the average attitude T ( t ) ; it follows that
W ( t ) = ρ ( t )     T ( t )
When ρ ( t ) is low, the distribution of opinion values at the moment of t is relatively decentralized, and the mainstream opinion has not been formed at this moment, so the probability that node i tends to obey the mainstream opinion of the society is low, which manifests itself as a lower social subordination. With the evolution of public opinion, when the opinions gradually reach unity, the individuals in the network gradually tend to obey the mainstream social opinion more due to the fear of being isolated.

3.2. Modeling the Dynamics of Evolutionary Propagation with Coupled Online–Offline Opinions

3.2.1. Modeling the Dynamics of Online–Offline Opinion Dissemination

(1) 
Opinion Layer Impacts Diffusion Layer
For the online opinion propagation model, we refer to the multi-dimensional factors jointly driven by the Susceptible-Latent-Forward-Immune–Jager–Amblard (SLFI-JA) opinion evolution propagation dynamics model constructed by Yin et al. [38] to simulate the online opinion evolution process; the macro-framework is shown in Figure 4. They model the process from two dimensions, the propagation layer and the opinion layer, where the propagation layer focuses on the state update of nodes on a complex network, and the opinion layer focuses on the opinion value update of nodes on a complex network, which interact and influence each other under the mechanism defined by the SLFI-JA model, and ultimately realize the dynamic integration of information propagation and opinion evolution. The model defines that the partial state transition probability at moment t is determined by the dissemination willingness and reinforcement effect calculated based on the opinion value at the corresponding moment, while different state update processes correspond to different opinion sensitivities, which in turn affect the opinion update magnitude and the opinion value of network nodes at moment t + 1 . The opinion value at moment t + 1 continues to affect the state transition probability at moment t + 1 , and the above is looped over a set number of rounds process, and finally the evolution process of information dissemination and opinion distribution is obtained based on the results of each round.
For the offline information dissemination process, we set up four independent groups: Susceptible (S), Latent (L), Forwarding (F), and Immune (I), and constructed the Offline-Susceptible-Latent-Forwarding-Immune model (Off-SLFI) with non-consistent state transfer probability to characterize the information dissemination of offline users under the effect of a multiple-factor dynamic process; the model is shown in Figure 5.
The Off-SLFI model classifies the population into four distinct states:
(1)
Susceptible state (S): Individuals have not yet been exposed to the information but can be exposed.
(2)
Latent state (L): Individuals have been exposed to the information but have not yet forwarded it.
(3)
Forwarding state (F): Individuals have forwarded the information and can expose susceptible individuals to the information.
(4)
Immune state (I): Individuals are no longer influenced by the forwarding individuals and are no longer interested in the information.
At any moment in time, each individual in the population is in a unique state. The state transition process of the Off-SLFI model can be characterized by Equations (8)–(10), and the parameters in Equations are defined as shown in Table 1:
S i ( t ) + F j ( t ) {   1 α E i ( t )   L i ( t + 1 ) + F j ( t + 1 )   α E i ( t )   F i ( t + 1 ) + F j ( t + 1 )
L i ( t ) + F j ( t ) {   β D i ( t )   F i ( t + 1 ) + F j ( t + 1 )   δ R i ( t )   I i ( t + 1 ) + F j ( t + 1 ) 1 β D i ( t ) δ R i ( t ) L i ( t + 1 ) + F j ( t + 1 )
F i ( t ) + F j ( t ) {   1 γ / E n ( t )   F i ( t + 1 ) + F j ( t + 1 )   γ / E n ( t )   I i ( t + 1 ) + F j ( t + 1 )
In the dynamical system described by the complex network-based Off-SLFI model, most users are in the S state and only some are in the F state in the early stages of the outbreak. When offline susceptible individuals are influenced by redirectors carrying different opinion tendencies, three types of transfer processes are generated:
Dynamic transfer processes in offline susceptible individuals: When a user i in state S comes into contact with a neighboring node user j in state F at moment t , they will transfer from state S to state F with probability α E and otherwise to state L with probability 1 α E . This behavior is driven by the degree of opinion extremity of the node user, i.e., the stronger the tendency of opinion extremity of the i -node itself, the more inclined it is to forward the message upon contacting it.
Dynamic transfer process of offline latents: When a user i in state L comes into contact with a neighboring user j in state F at moment t , they will move from state L to state F with probability β D and from state L to state I with probability δ R , otherwise they will keep ther original state L unchanged with probability 1 β D δ R .
Dynamic transfer process for offline forwarders: Since the offline interaction between users depends on their own energy, and their own energy is affected by their work and rest; with the passing of time, the users in state F are converted to state I with a probability of E n . The higher their own energy, the lower the probability that the users in state F are converted to the immune state I .
(2) 
Diffusion Layer Impacts Opinion Layer
The traditional JA model quantifies individual perspectives as continuous values: if an individual i ’s initial perspective is relatively close to the perspective advocated by its neighbor individual j , that perspective is assumed to be within node i’s acceptance threshold d 1 , and thus individual i will move in the direction of the perspective advocated by neighbor j . This process is called assimilation; if individual i ’s initial perspective is significantly different from the perspective advocated by its neighbor individual j , that perspective is assumed to be over the threshold d 2 of individual i’s rejection threshold d 2 , and then individual i will deviate from the direction of the opinion advocated by neighbor j . This process is called rejection; if the position advocated by neighbor j falls outside the boundary of individual i ’s acceptance domain, but not so far that it crosses the boundary of the rejection domain, then it will fall within the non-commitment domain, and the acceptor will not change his/her initial opinion, a process known as neutrality. In the process of assimilation and rejection, the JA model goes on to characterize the magnitude of opinion updating when individuals interact one-on-one in fixed steps.
After the SLFI model defines the dynamic transfer process of different states, the state transition results will affect the opinion updating rules of the JA model to different degrees. We set different opinion sensitivities φ i ( t ) to adjust the assimilation or exclusion step according to the different state transfer results. The state transfer results and the corresponding parameter settings are shown in Table 2, which emphasizes the flexibility and adaptability of individuals in opinion adjustment.
As users at the online level have access to a large number of resources through the Internet, they have a very convenient way of obtaining information. They do not need to be limited by time and space to obtain information anytime and anywhere, and their interaction is characterized by “one-to-many” interaction, i.e., a person can interact or exchange information with multiple other entities at the same time. Unlike the online interaction mode, users prefer the “one-to-one” interaction mode when interacting offline, which is more private and two-way. At the same time, offline interactions are more likely to be restricted by the person they are facing, and the source of information has certain limitations. Therefore, the integrated opinion X i ( t ) received by an offline user is defined as the value of the neighbor’s opinion that has the smallest value of difference with his/her viewpoint.
The specific evolution rules for offline opinions are as follows:
(1)
Assimilation: At moment t , the difference between individual i ’s own opinion value x i ( t ) and the neighbor’s opinion value X i ( t ) with the smallest difference is less than the acceptance threshold d 1 , i.e., | X i ( t ) x i ( t ) | < d 1 , and the opinion value of individual i at moment t + 1 becomes
x i ( t + 1 ) = x i ( t ) + λ i ( t ) [ X i ( t ) x i ( t ) ]
where the degree of acceptance or rejection λ i ( t ) of the neighbor’s opinion value X i ( t ) by individual i at moment t is determined by the opinion sensitivity φ i ( t ) shown in Table 2, denoted as follows:
λ i ( t ) = φ i ( t )
(2)
Reject: At moment t , the difference between individual i ‘s own opinion value, x i ( t ) , and the least different neighbor’s opinion value, X i ( t ) , is greater than the exclusion rejection threshold d 2 , i.e., | X i ( t ) x i ( t ) | > d 2 , and the opinion value of individual i at moment t + 1 becomes
x i ( t + 1 ) = ξ ( x i ( t ) λ i ( t ) [ X i ( t ) x i ( t ) ] ) ,   λ i ( t ) ( 0 , + )
ξ ( x ) = { 1 ,   x ( , 1 ] x ,   x ( 1 , 1 )   1 ,   x [ 1 , + )
(3)
Neutralize: At moment t , the difference between individual i ’s own opinion value x i ( t ) and the neighbor’s opinion value X i ( t ) with the smallest difference is between d 1 and d 2 , i.e., d 1 | X i ( t ) x i ( t ) | d 2   ( d 2 > d 1 ) , and the opinion value of individual i at moment t + 1 stays unchanged, i.e., x i ( t + 1 ) = x i ( t ) .

3.2.2. Opinion Coupled Model Construction

In the scenario of coupled online–offline propagation, in-network propagation and cross-network propagation are the two main ways for the public to participate in the propagation of public events, which play an important role in terms of the heat of public opinion throughout the Internet as well as in real life. Intra-network propagation is when a user is exposed to information in one cyberspace/physical space and then continues to propagate the information in cyberspace/physical space, and cross-network propagation is when a user is exposed to information in cyberspace/physical space and then chooses to propagate the information in physical space/cyberspace. Specifically, intranet dissemination is subdivided into online intranet dissemination and offline intranet dissemination, and cross-network dissemination is divided into uploaded cross-network dissemination and downloaded cross-network dissemination. We address in-network propagation by modeling online in-network propagation based on the SLFI-JA model and offline in-network propagation based on the Off-SLFI-JA model; for cross-network propagation, uploaded cross-network propagation indicates that after a bridge node transitions to a propagation state offline, its online state also transitions to a forwarding state with a certain probability driven by multi-factors, which is defined as the uploading rate, and downloaded cross-network propagation indicates that after a bridge node transitions to a propagation state online, its offline state also transitions to a forwarding state with a certain probability driven by multi-factors, which is defined as the downloading rate.
The upload rate reflects the probability that a bridge node user disseminates information in the offline interpersonal network as well as in the online social network. If individuals receive the same information repeatedly offline, they will become curious under the reinforcing effect, and thus choose to go online to search for relevant information and obtain more information from multiple channels. At the same time, the accumulation of negative views offline generates clustering behavior, which triggers the attention of the media and the public, thus prompting the event to ferment again online to attract further attention. Based on the above conclusion, the formula for the upload rate γ 2 is shown as follows:
γ 2 = α     N e g B     D i ( t )     | x i B |     E n ( t )
where α denotes the upload rate moderator, D i ( t ) denotes the offline social reinforcement effect, | x i B | denotes the individual’s offline opinion intensity value, E n ( t ) denotes the offline user’s energy, and N e g B denotes the offline negative clustering effect, which is determined by the influence value of the negative opinion. The stronger negative opinion, the greater user’s appeal, the higher likelihood of aggregation offline, and the easier it is to cause a spreading effect online.
The download rate reflects the probability that a bridge node user spreads information in the online social network as well as in the offline interpersonal network. Once an online user is in a forwarding state, when he or she has an opinion that differs greatly from the mainstream opinion, or when he or she is shocked by a certain piece of information, in order to seek more perspectives and wider discussion, the user tends to go offline to find his or her friends for a more authentic and in-depth discussion and exchange. Based on the above conclusions, the formula for the downlink rate γ 1 is shown as follows:
γ 1 = β     ( 1 p i A )     | x i A |     P o p ( t )
where β denotes the download rate moderator, | x i A | denotes the individual’s online opinion intensity value, P o p ( t ) denotes the online topic hotness, and p i A denotes the online revenue of user i of the bridge node.
In order to more clearly represent the cooperative evolution mechanism of node states in the coupled network, the state transition rules of online bridge nodes and offline bridge nodes are shown in Table 3 and Table 4.

3.3. Information Dissemination and Opinion Evolution Indicator Construction

In the process of information dissemination, the cumulative volume of group dissemination and the effective volume of group dissemination can characterize the dissemination dynamics in terms of dissemination breadth and dissemination heat, respectively. The cumulative amount of group dissemination represents the total number of people who have disseminated in the system up to a certain point in time, while the effective amount of group dissemination represents the number of people who have disseminated information in the system up to a certain point in time and still have influence. Therefore, the curves that characterize the changes in these two types of quantities over time can be defined as propagation curves, as shown in Figure 6. The cumulative quantity propagation curve C is similar to an “S” curve, which is characterized by a sharp rise, followed by a slow rise, and then a smooth trend, while the effective quantity propagation curve F is similar to a bell-shaped curve (normal curve), which is characterized by a rising and then a falling trend.
(1) 
Peak heat of information dissemination
The peak of information dissemination heat F m a x has an important role in describing the heat of group information, indicating the maximum number of groups that still have the ability to influence others, which corresponds to the peak of the effective volume dissemination curve F ( t ) . The larger F m a x is, the higher the dissemination heat is in the process of public opinion development.
(2) 
Final scale of information dissemination
The final scale of information dissemination C s has an important role in describing the breadth of group dissemination, indicating the total number of groups in state F throughout the development of public opinion, corresponding to the final value of the cumulative volume dissemination curve C ( t ) . The larger C s is, the wider the scope of information dissemination is in the process of public opinion development.
(3) 
Information dissemination climax time
The information dissemination climax time t m a x denotes the moment when the information reaches the highest level of heat and satisfies the condition F ( t m a x ) = F m a x .
(4) 
Percentage of opinion polarization
The phenomenon of opinion polarization is prevalent in the evolution of opinions in information dissemination, where extreme opinions ( | x i ( t ) | > 0.8 ) in a group tend to be more radical and provocative and can attract or motivate more individuals to participate in the information dissemination process compared to neutral opinions.
We define the opinion polarization rate as the ratio of the number of individuals holding extreme opinions to the total number of individuals after each round of interaction; P s is the final value of the opinion polarization rate as shown in Equation (17), N p is the number of individuals holding extreme opinions after the last round of interaction, and N is the total number of individuals.
P s = N p N
(5) 
Impact value of public opinion environment
In order to quantify the impact of environmental factors on the propagation of information and the evolution of opinions, we define based on the information entropy proposed by Shannon as shown in Equation (18) the value of the impact of the opinion environment e :
e = { X P ( 1 E ( X ) )   X P + X N > 0   0   X P + X N = 0 X N ( 1 E ( X ) )   X P + X N < 0
where the function E ( X ) has the following expression:
E ( X ) = X P X P X N log 2 ( X P X P X N ) X N X P X N log 2 ( X N X P X N )
X P and X N represent the average of all positive opinions and all negative opinions in the complex network, respectively, and E ( X ) embodies the dispersion of opinions in the form of information entropy, where the larger the entropy, the more dispersed the opinions and the smaller the entropy, the more concentrated the opinions. When X P + X N > 0 , positive opinions dominate in the opinion environment. When the distribution of opinions is more concentrated and the average positive opinion value is larger, the influence of positive opinions in the environment is also larger, which corresponds to a larger absolute value of e . Similarly, when X P + X N < 0 , negative opinions dominate in the opinion environment, and when the distribution of opinions is more concentrated and the average negative opinion value is larger, the influence of negative opinions in the environment is also larger, corresponding to a larger absolute value of e . When X P + X N = 0 , the positive and negative opinions are evenly matched, and the individual is unable to clearly feel the influence of one side’s opinion, at which point the environmental influence value e = 0 .

4. Numerical Fitting of Coupled Online–Offline Model

4.1. Online–Offline Network Construction Based on Real Data

We choose the online–offline linked public opinion event #Fire in a high-rise residential building in Xinjiang as a typical case. The incident was first reported at 19:49 on 24 November 2022, in a high-rise residential building in Jixiangyuan District, Tianshan District, Urumqi City, Xinjiang. After the fire, there was an outbreak of dissatisfaction among offline real-life groups about the fire protection conditions in the district, and the related information continued to ferment online the next day. With the wide dissemination of the incident online, it triggered the resistance of many parties to the excessive epidemic prevention and then launched protests and questions in real life, which fully embodies the mechanism of interpenetration and interaction of information and opinions both online and offline.
We collected the forwarding information in the original message forwarding area 40 h after the incident, including the text of the forwarding, the time of the forwarding, the user of the forwarding, the IP address, and other information through the application program interface Sina Weibo, which is open to the public. After constructing the online network based on the online interconnection data, it is necessary to construct the online–offline coupling network through the methods of online–offline mapping and offline network edge reconstruction in turn, and the related process is shown in Figure 7, and the specific process is described as follows:
  • Building Online Networks: In order to construct the user relationship network under this topic, we select the forwarding users within 6 h after the release of the first tweet as the seed users and obtain the inter-relationship list of the seed users. Based on the new users in this inter-relationship list, we utilize the same method to obtain the inter-relationship list of new users, and finally construct the online network based on this inter-relationship.
  • Online–Offline Mapping: Since every online user has a corresponding offline user, and offline users do not necessarily have corresponding online microblogging accounts, overall the number of offline network nodes is more than the number of online network nodes. Here, the coupling degree of online–offline network ρ = V A / V B , V A represents the number of nodes in the online network and V B represents the number of nodes in the offline network, and the coupling degree reflects the popularity of microblogging among the public to some extent. Therefore, based on the number of online nodes V A and the online–offline coupling degree ρ , the number of newly added offline nodes can be obtained as V B = V A / ρ V A . Here, the offline nodes consist of two parts: one is the offline nodes obtained from the direct mapping of online nodes, and the other is the newly added offline nodes calculated based on the coupling degree.
  • Offline Network-Side Reconfiguration: Compared with the online network edge relationship, the offline network edge is difficult to reflect with real data, so we introduce the information of user IP address as the basis of offline network construction, which can be more consistent with the real offline network scenarios. Since the IP address of the online network node is included in the data collection process, the online network node corresponds to the offline network node with its IP address. For the new offline network nodes, we first count the proportion occupied by each province in China in the online network, and then distribute the IP addresses of the 31 provinces and cities to the new offline network node V B based on this proportion. After obtaining the IP addresses of all nodes offline, the traversed two-by-two nodes are judged according to the offline network construction law, as shown in Table 5.
From Figure 8, it can be seen that the histogram of the node degree distribution of the online network shows a clear scale-free characteristic, i.e., a small number of nodes have very high degrees, while the majority of nodes have a long-tailed distribution characterized by lower degrees. In contrast, the node degree distribution of the offline network is much smoother and the nodes have a more uniform degree distribution.

4.2. Comparative Experimental Analysis of Numerical Fitting

In order to verify the validity of the online–offline coupling model, we carry out numerical fitting experiments by taking the percentage of net increase in the number of propagation state users after each round of interaction as an observation. The implementation process of model fitting is shown in Figure 9.
First, in the input of the model, the viewpoint value and activity of nodes in the online network need to be quantified sequentially based on real data, and for the offline network, the viewpoint value of nodes is set based on the mathematical distribution similar to the initial viewpoint distribution of the online network. Since in our model, events are first fermented offline, a number of nodes offline are randomly selected as the initial forwarding-state nodes, and the states of the rest of the nodes (including the online nodes) are set as susceptible states.
Then, the Monte Carlo method is used to simulate the state transition process of the SLFI model of the opinion propagation layer in the offline network, and according to the state transition results, different user activity changes are set and input into the viewpoint interaction function, so that the viewpoint updating rules are transformed into conditional judgments and numerical calculations. When the upload rate is calculated after the first round of offline operation, some bridge nodes are transformed to F online, the Monte Carlo method is used to simulate the online information dissemination and viewpoint interaction process, the download rate is calculated again, and some bridge nodes are transformed to F offline at this time. At this point, the first round of interaction in the online–offline coupling model is over. In the second round of interaction, simulation of the online layer and the offline layer is carried out at the same time, and at the end of the interaction, the upload rate and the download rate of the bridge nodes are calculated, the corresponding part of the bridge nodes change their state, and the second round of interaction ends. Finally, the number of forwarded individuals and the viewpoint values of all individuals in the network after each round of interaction are output after a specified number of rounds and the program ends.
In order to reduce the error due to the randomness of the Monte Carlo simulation, we conducted 100 repetitions of the experiment and took the average of the percentage of the net increase in the number of individuals in each round of online forwarding status as the final output of the model, and the results of the data fitting are shown in Figure 10a. In order to further validate the reasonableness of the model, we introduced the SLFI-JA model, which only considers the online level, to compare the fitting effect with this model, and the data fitting results are shown in Figure 10b.
By calculating the Root Mean Square Error (RMSE), Mean Absolute Error (MAE), and the coefficient of determination r 2 of the fitted curve between the simulated results and the real data, we quantify the error between the real and simulated values more intuitively, and the specific results are shown in Table 6. It is easy to see that the online–offline coupled model fits better than the online SLFI-JA model in all three metrics.
From the fitting results in Figure 8, compared with the SLFI-JA model that only considers the online level, the online–offline coupling model shows certain advantages in terms of the overall fitting degree of the whole propagation process, as well as the fitting results of the periodic ups and downs of the propagation peaks and valleys for the online–offline linkage events. In terms of specific time periods, in the three downward and two upward trends in the online propagation curves in the 15th–40th hours, the fitted curves of the online–offline coupling model are closer to the real propagation data.
In summary, our proposed coupled online–offline opinion evolutionary propagation dynamics model is closer to the trend of actual data in simulating the number of group effective propagation of online–offline linked events, thus better describing the law of public opinion propagation in real scenarios.

5. Analysis of Online–Offline Coupling Model Influencing Factors

5.1. Parameter Sensitivity Analysis

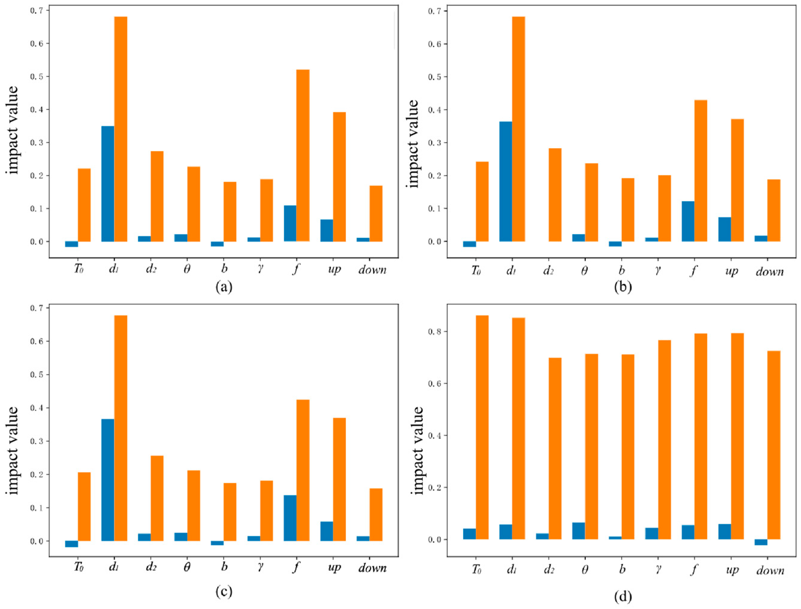
Parametric sensitivity analysis is a method used to analyze the extent to which an input variable affects an output variable, which can be classified into local sensitivity analysis and global sensitivity analysis based on the scope of the sensitivity analysis. The Sobol index method is a global sensitivity analysis method based on variance decomposition, the basic principle of which is to decompose the model into a number of functions consisting of a single parameter or a combination of parameters. Through the variance decomposition, it is possible to obtain the degree of contribution of each part of the variance to the total variance of the model output, and to further calculate and analyze the sensitivity of the variables in the model, as well as the interactions among the combinations of parameters.
We utilize the first-order exponent S1 in the Sobol exponential method of analysis to measure the “main effect” of a parameter, which ranges from 0 to 1, with larger values indicating that the parameter has a more significant effect on the output. The total index ST is used to measure the overall contribution of each input parameter to the output of the model. ST includes the “main effect” and “interaction effect” of the parameter, so it measures the “overall effect” of the parameter more comprehensively. The size of the ST value indicates the sensitivity of the parameter in the whole model; the larger the ST, the more significant the overall effect of the parameter on the output.
In summary, S1 and ST are two key metrics in Sobol sensitivity analyses for understanding the effects of input parameters on model outputs. S1 focuses on the independent effects of each parameter, while ST focuses on the combined effects of all parameters, including interaction effects. Analyzing these two metrics can help determine which parameters contribute most to changes in model output and whether there are important interactions between parameters. Based on this, we plotted a parameter sensitivity analysis, as shown in Figure 11.
From the perspective of single-parameter influence on S1, on the online propagation range C f i n a l , the propagation peak F m a x , and the number of interlayer interactions C A B , the opinion reception threshold d 1 plays a significant positive influence ( S 1 > 0.3 ) among all parameters, reflecting its driving effect on single-layer information propagation and interlayer information interactions. In addition, the proportion of people who initially spread offline f ( S 1 > 0.12 ) and the upload rate influence factor u p ( S 1 > 0.07 ) also play a driving role in information dissemination. In contrast, the download rate influence factor d o w n , which corresponds to the upload rate influence factor, and the opinion rejection threshold d 2 , which corresponds to d 1 , play a weaker role in influencing the one-parameter effect of online propagation ( S 1 < 0.02 ). And the average stubbornness T 0 and forgetting speed b of users all play a role in inhibiting the spread of online information ( S 1 < 0 ). For the time to reach the online peak t m a x , most of the parameters showed extremely weak single-parameter effects ( S 1 < 0.06 ), which suggests that the parameters have a limited individual effect on the indicator of the time to reach the culmination of information dissemination.
The difference between the total sensitivity and the first-order sensitivity indicates the interaction effect of a model parameter with other parameters. Comparing the gap between orange and blue in the four plots reveals that the S T values corresponding to each parameter under each indicator are much larger than those of S 1 , especially for the indicator t m a x , which suggests that the model’s outputs are more significantly affected by the interactions between the parameters than by the independent effects of the individual parameters. Thus, there are strong parameter interdependencies or interactions in the model, and these interactions have a significant impact on the model output.
In summary, we propose the following dissemination strategy: if the departments concerned want to expand the scope and increase the peak value of information dissemination, they first need to make use of official media with a good reputation and authority. Thy need to develop policies based on data and evidence to increase the transparency and credibility of decisions and establish two-way communication channels with the public by listening to their opinions, feedback, and concerns, as a way to increase the acceptance threshold of group opinions in network d 1 . Second, there is a need to provide a variety of digital channels, including websites, social media, apps, and online forums, to increase the upload rate impact factor u p and the download rate impact factor d o w n , facilitate the penetration and impact of information in the online–offline spheres, and increase interactions between tiers. At the same time, the speed and breadth of information dissemination are affected by a combination of factors, and relevant authorities need to focus on a variety of parallel means when implementing regulations.

5.2. Impact of Network Coupling

In coupled networks, congruence and heterogeneity are important concepts describing how network nodes are connected to each other, and we introduce interlayer congruence connections and interlayer heterogeneity connections into the interlayer connectivity model. The relevant definitions are specified as follows:
(1)
Interlayer homologous connections, denoting network coupling through positively correlated connections. The nodes in layer A of the online network and layer B of the offline network are connected in order of node degree. For example, a user with a large degree of medium in layer A connects to a user with a large degree of medium in layer B, corresponding to a user with a small degree of medium in layer A connecting to a user with a small degree of medium in layer B. If nodes of the same degree exist, then a random connection is made. The final interlayer homology connection of the coupled network is realized sequentially as A i B i .
(2)
Interlayer heterogeneous connections, denoting network coupling through negatively correlated connections. Contrary to the homogamous connection, a user with large degree in layer A of the online network connects to a user with small degree in layer B of the offline network, and a user with small degree in layer A connects to a user with large degree in layer B. If nodes of the same degree exist, randomized connections are made. The final interlayer heterogeneous connection of the coupled network is realized as A i B N i + 1 .
To further quantify the varying degree of mismatch between networks, we introduce a mismatch reorganization probability δ ( δ [ 0 , 1 ] ). Firstly, all the nodes are still ranked according to the degree of the online and offline network nodes, and then the node ranked i in layer A will be disconnected from the node ranked i in layer B and will be connected to the node j ranked N i in layer B (to start the mismatch operation). The probability that each corresponding node is disconnected at this point is δ , and therefore the overall degree of heteroplasmy is also δ . The complete homology ( δ = 0 ) is broken at δ = 1 , and the degree of heterology between the two layers of the network increases as δ increases. In order to analyze the network properties more precisely, we divide the online–offline coupled network into three cases:
(1)
BA-WS asymmetric coupling network, where a Barabási–Albert (BA) scale-free network is online and a Watts–Strogatz (WS) small-world network is offline.
(2)
BA-ER asymmetrically coupled network, where aBA scale-free network is online and an Erdős–Rényi (ER) stochastic network is offline.
(3)
BA-BA symmetric coupling network, indicating that a BA scale-free network is online and a BA scale-free network is also the offline.
Based on these three coupled network dissimilarities, we plotted the trend in cumulative propagation on the line, as shown in Figure 12. In terms of the propagation range of information, in the BA-BA symmetric coupling network, as network coupling increases in heterocollinearity, the propagation of information on the line is suppressed compared to the result of complete homocollinearity, and the larger δ is the more obvious the suppression effect is. This is because as heteropatrimoniality increases, nodes with large offline degrees tend to connect to nodes with small online degrees, which makes offline hub nodes become non-hub nodes on the line, and offline non-hub nodes become hub nodes on the line. However, in BA-WS and BA-ER asymmetrically coupled networks, the range of information propagation in the online network is close at perfect congruence ( δ = 0 ) and perfect dissimilarity ( δ = 1 ), and the propagation of information in the online network is suppressed at δ = 0.5 .
Combined with Figure 10a, it can be seen that the online–offline degree distribution is reflected in both δ = 0 and δ = 1 because the degree distributions of the offline WS network are closer: nodes with various degree distributions offline have small degree distributions online, and only a very small number of nodes with large (smaller) offline degrees have extremely large degrees online, which greatly diminishes the hub–node asymmetry of the heterogeneous distribution network. In order to measure this asymmetry more accurately, we introduce a new metric, the Pearson correlation coefficient, which measures the linear relationship between the offline degree distribution and the online degree distribution using the absolute value of the Pearson correlation coefficient | P | . When | P | is close to 1, it indicates that there is a strong linear relationship between the two variables, i.e., the interlayer symmetry is strong at this point. When | P | is close to 0, it indicates that the linear relationship between the two variables is very weak or almost non-existent, i.e., the interlayer symmetry is weak at this point. The values of | P | for different coupling networks with different degrees of heterodyne are shown in Table 7. From the table, it can be seen that for the BA-BA symmetric coupling network, the interlayer linear relationship becomes weaker as the degree of mismatch increases, while for the BA-WS and BA-ER asymmetric coupling networks, the interlayer linear relationship becomes weaker and then stronger as the degree of mismatch increases.
For the BA-WS coupling network, we further adjusted the step size of the value of the dissimilarity degree and obtained the graphs of the range of online information propagation under different interlayer dissimilarity degrees as shown in Figure 13. From the figure, it can be found that there exists a threshold value of the degree of mismatch in the BA-WS asymmetric coupling network, less than which the range of information propagation becomes smaller with the increase in the degree of mismatch, but greater than which the range of information propagation is enhanced. In order to obtain the relationship between the propagation range and the symmetry of the layers, we calculate the | P | of the coupled network of BA-WS networks for different degrees of heterodyne, as shown in Table 8. The interlayer symmetry decreases with an increasing heterodyne degree when the heterodyne degree is within [ 0 , 0.6 ] , and increases with an increasing heterodyne degree when the heterodyne degree is within [ 0.6 , 0.8 ] , which is consistent with the variation in the propagation range.
In summary, the dissemination of information in coupled online–offline networks is influenced by both the mode of network coupling and the degree of interlayer network heterogeneity ( δ ). These factors collectively impact the strength of the linear relationship between the degree distributions across the two network layers, as well as the symmetry ( | P | ) between the layers. When the symmetry of the coupling between the network layers is disrupted, information propagation is correspondingly hindered. Consequently, we propose a dissemination strategy that takes into account the nature of real-life online–offline networks, which are often symmetrically coupled (BA-BA) for organized large-scale events, characterized by interlayer isomatching. Operations such as pinning, banning, and restricting the flow of influential nodes in the network can weaken the connections between leader nodes and other nodes, thereby increasing the interlayer isomatching degree and inhibiting information spread. However, for spontaneous large-scale events (BA-WS asymmetric coupling networks) and random small-scale events (BA-ER asymmetric coupling networks), widespread use of such operations can be counterproductive. Therefore, it is crucial for relevant departments to analyze specific issues and consider the scale of their interventions, as this plays a key role in the outcomes of public opinion interventions.

6. Conclusions

In summary, our study constructs an evolutionary communication dynamics model of online–offline opinion coupling for multi-factor-driven online–offline communication scenarios and validates it on the basis of real case data. The importance of this research is reflected in several aspects: first, it provides a new perspective for understanding and grasping the cyclical fluctuation process of online information dissemination, takes into account the intra and interlayer driving forces of individuals involved in information dissemination and public opinion interactions in the coupled network, and helps to reveal the deeper mechanism of public opinion evolution; second, by analyzing the relationship between the interlayer asymmetry of the two-layer coupled network and the propagation of public opinion, we provide innovative strategic suggestions for public opinion management, which is of significant significance for maintaining the order and stability of cyberspace; finally, we integrated a variety of internal and external factors to improve the information dissemination and public opinion dynamics model, which provides a scientific basis for promoting the dissemination of positive events and controlling the spread of negative events. However, we also recognize the limitations of this study. On the one hand, the generalizability of the model may be limited by specific case contexts, and its application effects in different communication scenarios need to be further verified; on the other hand, although we have considered a variety of factors, we may still have failed to comprehensively cover all the variables affecting public opinion dissemination, which may result in the model’s limited predictive ability in practical applications. In addition, the study mainly relies on quantitative analysis in its methodology, and the insufficiency of qualitative analysis may affect the in-depth understanding of the deeper causes of public opinion communication. Therefore, future research needs to be conducted in a broader context, combining both quantitative and qualitative analyses to further enhance the applicability and explanatory power of the model.
Studying the dynamic model of online public opinion evolution and dissemination driven by multiple factors can not only summarize the laws of information dissemination and opinion evolution and provide technical and strategic support for the effective guidance of mass events but also provide a framework reference for other related dynamics studies incorporating multiple realities and considering diversified public opinion scenarios, which is of far-reaching value for academic research and practical applications. However, the real system is a complex system consisting of multiple subjects and relationships, and in many real-opinion social networks, there are not only binary interactions among the individuals composing the network but also extensive higher-order interaction phenomena in which multiple individuals interact at the same time or in a specific order. Therefore, in future research, we will carry out further improvement work on the model, focusing on the interactions between nodes and edges in higher-order relationships, and use a higher-order network model to portray the relationship between the propagation influencing elements to construct a multi-scenario-based higher-order network model to more accurately portray the nonlinear dynamic evolution process of the network.

Author Contributions

Study design, Z.Y., F.-L.Y. and Y.-W.W.; Data collection and analysis, Y.G. and Y.-W.S.; Experiments, Y.-W.S.; Literature Search and Manuscript Writing, Y.G. All authors have read and agreed to the published version of the manuscript.

Funding

This work was supported in part by the Fundamental Research Funds for the Universities in Liaoning Province under Grant JYTMS20231417, in part by the Fundamental Research Funds for the Central Universities under Grant C2023011, and the Key Project of Public Security Theory and Soft Science Research Plan Grant 2017LLYJXJXY002.

Data Availability Statement

Data are contained within the article.

Conflicts of Interest

The authors declare no conflict of interest.

References

  1. Bruns, A. Produsage. In Proceedings of the 6th ACM SIGCHI Conference on Creativity & Cognition, Washington, DC, USA, 13–15 June 2007; pp. 99–106. [Google Scholar]
  2. Wu, Y.; Ngai, E.W.; Wu, P.; Wu, C. Fake news on the internet: A literature review, synthesis and directions for future research. Internet Res. 2022, 32, 1662–1699. [Google Scholar] [CrossRef]
  3. Pallavicini, J.; Hallsson, B.; Kappel, K. Polarization in groups of Bayesian agents. Synthese 2021, 198, 1–55. [Google Scholar] [CrossRef]
  4. Liu, Y.; Zhang, Q.; Wang, Z. Community Opinion Maximization in Social Networks. IEEE Trans. Evol. Comput. 2024, 1. [Google Scholar] [CrossRef]
  5. Cervi, L.; Calvo, S.T.; Robledo-Dioses, K. Comunicación digital y ciudad: Análisis de las páginas web de las ciudades más visitadas en el mundo en la era de la COVID-19. Rev. Lat. De Comun. Soc. 2023, 81, 81–108. [Google Scholar] [CrossRef]
  6. Pan, J.; Shen, H.; Chen, Z. Evaluation Model to Identify Key Users in Mass Incident Diffusion Network. J. Syst. Manag. 2020, 29, 434. [Google Scholar]
  7. Xia, Y.; Jiang, H.; Yu, Z. Global Dynamics of ILSR Rumor Spreading Model with General Nonlinear Spreading Rate in Multi-lingual Environment. Chaos Solitons Fractals 2022, 154, 111698. [Google Scholar] [CrossRef]
  8. Zhao, L.; Wang, J.; Chen, Y.; Wang, Q.; Cheng, J.; Cui, H. SIHR rumor spreading model in social networks. Phys. A Stat. Mech. Appl. 2012, 391, 2444–2453. [Google Scholar] [CrossRef]
  9. Tong, X.; Jiang, H.; Chen, X.; Yu, S.; Li, J. Dynamic Analysis and Optimal Control of Rumor Spreading Model with Recurrence and Individual Behaviors in Heterogeneous Networks. Entropy 2022, 24, 464. [Google Scholar] [CrossRef]
  10. Xu, H.; Li, T.; Liu, X.; Liu, W.; Dong, J. Spreading dynamics of an online social rumor model with psychological factors on scale-free networks. Phys. A Stat. Mech. Appl. 2019, 525, 234–246. [Google Scholar] [CrossRef]
  11. Xia, L.L.; Jiang, G.P.; Song, B.; Song, Y.R. Rumor spreading model considering hesitating mechanism in complex social networks. Phys. A Stat. Mech. Appl. 2015, 437, 295–303. [Google Scholar] [CrossRef]
  12. Hu, H.; Chen, W.; Hu, Y. Opinion dynamics in social networks under the influence of mass media. Appl. Math. Comput. 2024, 482, 128976. [Google Scholar] [CrossRef]
  13. Fardela, R.; Abdullah, Z.; Muslim, R. Opinion evolution under mass media influence on the Barabasi-Albert network based on the q-voter model. Int. J. Mod. Phys. C 2024. [Google Scholar] [CrossRef]
  14. Zhao, C.; Parilina, E.M. Network Structure Properties and Opinion Dynamics in Two-Layer Networks with Hypocrisy. In Proceedings of the International Conference on Mathematical Optimization Theory and Operations Research, Omsk, Russia, 30 June–6 July 2024; Springer Nature: Cham, Switzerland, 2024; pp. 300–314. [Google Scholar]
  15. Krawiecki, A. Stochastic resonance in the majority vote model on regular and small-world lattices. Int. J. Mod. Phys. B 2017, 31, 1750214. [Google Scholar] [CrossRef]
  16. Galam, S. Social paradoxes of majority rule voting and renormalization group. J. Stat. Phys. 1990, 61, 943–951. [Google Scholar] [CrossRef]
  17. Wołoszyn, M. Conformity and Mass Media Influence in the Sznajd Model on Regular Lattices. Entropy 2024, 26, 307. [Google Scholar] [CrossRef]
  18. Muslim, R.; Mulya, D.A.; Indrayani, H.; Wicaksana, C.A.; Rizki, A. Independence role in the generalized Sznajd model. Phys. A Stat. Mech. Appl. 2024, 652, 130042. [Google Scholar]
  19. Hegselmann, R.; Krause, U. Opinion dynamics and bounded confidence models, analysis, and simulation. J. Artif. Soc. Soc. Simul. 2002, 5, 1–20. [Google Scholar]
  20. Deffuant, G.; Neau, D.; Amblard, F.; Weisbuch, G. Mixing beliefs among interacting agents. Adv. Complex Syst. Adv. Complex Syst. 2000, 3, 87–98. [Google Scholar] [CrossRef]
  21. Jager, W.; Amblard, F. Uniformity, Bipolarization and Pluriformity Captured as Generic Stylized Behavior with an Agent-Based Simulation Model of Attitude Change. Comput. Math. Organ. Theory 2005, 10, 295–303. [Google Scholar] [CrossRef]
  22. Mok, W.H. Opinion Formation in Social Systems: A Network Model-Based Simulation Study. Bachelor’s Thesis, Nanyang Technological University, Singapore, 2024. [Google Scholar]
  23. Krishnagopal, S.; Porter, M.A. Bounded-Confidence Models of Opinion Dynamics with Neighborhood Effects. arXiv 2024, arXiv:2402.05368. [Google Scholar]
  24. Du, L.; Zhu, J.; Xie, F. The Unconditional Consensus Control through Leadership for the Delayed Hegselmann–Krause Model. SIAM J. Control Optim. 2024, 62, 2297–2318. [Google Scholar] [CrossRef]
  25. Chen, J.; Li, Y.; Kou, G.; Wang, H. Effect of three-stage cascade of opinion dynamics models in coupled networks. Neurocomputing 2024, 572, 127176. [Google Scholar] [CrossRef]
  26. Perrier, R.; Schawe, H.; Hernández, L. Phase coexistence in the fully heterogeneous Hegselmann–Krause opinion dynamics model. Sci. Rep. 2024, 14, 241. [Google Scholar] [CrossRef] [PubMed]
  27. Li, J.; Xiao, R. Agent-Based Modelling Approach for Multidimensional Opinion Polarization in Collective Behaviour. J. Artif. Soc. Soc. Simul. 2017, 20, 4. [Google Scholar] [CrossRef]
  28. Chen, T.; Li, Q.; Yang, J.; Cong, G.; Li, G. Modeling of the Public Opinion Polarization Process with the Considerations of Individual Heterogeneity and Dynamic Conformity. Mathematics 2019, 7, 917. [Google Scholar] [CrossRef]
  29. Chen, T.; Rong, J.; Yang, J.; Cong, G.; Li, G. Combining public opinion dissemination with polarization process considering individual heterogeneity. Healthcare 2021, 9, 176. [Google Scholar] [CrossRef]
  30. Yuan, J.; Shi, J.; Wang, J.; Liu, W. Modelling network public opinion polarization based on SIR model considering dynamic network structure. Alex. Eng. J. 2022, 61, 4557–4571. [Google Scholar] [CrossRef]
  31. Chen, T.; Shi, J.; Yang, J.; Cong, G.; Li, G. Modeling Public Opinion Polarization in Group Behavior by Integrating SIRS-Based Information Diffusion Process. Complexity 2020, 2020, 4791527. [Google Scholar] [CrossRef]
  32. Olsson-Collentine, A.; Wicherts, J.M.; van Assen, M.A. Heterogeneity in direct replications in psychology and its association with effect size. Psychol. Bull. 2020, 146, 922. [Google Scholar] [CrossRef]
  33. Gu, K.; Wang, L.; Yin, B. Social community detection and message propagation scheme based on personal willingness in social network. Soft Comput. 2019, 23, 6267–6285. [Google Scholar] [CrossRef]
  34. Vaillant, Y.; Mora-Esquivel, R.; Alvarado, M. The forgetting curve in entrepreneurship: Decaying learning benefits of past entrepreneurial experience. Small Bus. Econ. 2024, 1–26. [Google Scholar] [CrossRef]
  35. Perreau-Lenz, S.; Pévet, P.; Buijs, R.M.; Kalsbeek, A. The biological clock: The bodyguard of temporal homeostasis. Chronobiol. Int. 2004, 21, 1–25. [Google Scholar] [CrossRef]
  36. Tur, E.M.; Zeppini, P.; Frenken, K. Diffusion in small worlds with homophily and social reinforcement: A theoretical model. Soc. Netw. 2024, 76, 12–21. [Google Scholar] [CrossRef]
  37. Bindra, S.; Sharma, D.; Parameswar, N.; Dhir, S.; Paul, J. Bandwagon effect revisited: A systematic review to develop future research agenda. J. Bus. Res. 2022, 143, 305–317. [Google Scholar] [CrossRef]
  38. Yin, F.; She, Y.; Wang, J.; Wu, Y.; Wu, J. Modeling and Analyzing Information Propagation Evolution Integrating Internal and External Influences. Adv. Theory Simul. 2024, 7, 2300845. [Google Scholar] [CrossRef]
Figure 1. Schematic diagram of coupled online–offline opinion dissemination scenarios. (The online layer represents cyberspace, and the offline layer represents real space).
Figure 1. Schematic diagram of coupled online–offline opinion dissemination scenarios. (The online layer represents cyberspace, and the offline layer represents real space).
Electronics 13 03829 g001
Figure 2. Ebbinghaus memory and forgetting curve [34].
Figure 2. Ebbinghaus memory and forgetting curve [34].
Electronics 13 03829 g002
Figure 3. User energetic value curve.
Figure 3. User energetic value curve.
Electronics 13 03829 g003
Figure 4. Macro-framework of SLFI-JA opinion evolutionary propagation dynamics modeling.
Figure 4. Macro-framework of SLFI-JA opinion evolutionary propagation dynamics modeling.
Electronics 13 03829 g004
Figure 5. A framework for modeling the dynamics of the evolutionary propagation of offline opinions. (The parameters labeled red in the figure reflect the state transfer probabilities under the action of the opinion values).
Figure 5. A framework for modeling the dynamics of the evolutionary propagation of offline opinions. (The parameters labeled red in the figure reflect the state transfer probabilities under the action of the opinion values).
Electronics 13 03829 g005
Figure 6. Propagation of cumulative and effective volume curves.
Figure 6. Propagation of cumulative and effective volume curves.
Electronics 13 03829 g006
Figure 7. The law of online–offline network construction. (The number indicates the user number).
Figure 7. The law of online–offline network construction. (The number indicates the user number).
Electronics 13 03829 g007
Figure 8. Nodal degree distribution of online and offline layers. (a) Distribution of degrees of nodes at the online level (range of degrees: 2 to 20). (b) Distribution of degrees of nodes at the offline level (range of degrees: 1 to 20).
Figure 8. Nodal degree distribution of online and offline layers. (a) Distribution of degrees of nodes at the online level (range of degrees: 2 to 20). (b) Distribution of degrees of nodes at the offline level (range of degrees: 1 to 20).
Electronics 13 03829 g008
Figure 9. Experimental implementation process for numerical fitting of online–offline coupled models. (a) Overall basic implementation logic; (b) implementation logic within the online and offline networks.
Figure 9. Experimental implementation process for numerical fitting of online–offline coupled models. (a) Overall basic implementation logic; (b) implementation logic within the online and offline networks.
Electronics 13 03829 g009
Figure 10. Results of model fitting for online dissemination trends. (The red curve represents the simulation results of the model and the green curve represents the direction of the real data.) (a) Online–offline coupling model fitting results. (b) Online SLFI-JA model fitting results.
Figure 10. Results of model fitting for online dissemination trends. (The red curve represents the simulation results of the model and the green curve represents the direction of the real data.) (a) Online–offline coupling model fitting results. (b) Online SLFI-JA model fitting results.
Electronics 13 03829 g010
Figure 11. Results of parameter sensitivity analysis for different parameters based on each indicator. (The value of the vertical axis corresponding to blue color represents the S1 value of the parameter; the value of the vertical axis corresponding to orange color represents the ST value of the parameter. The difference between the orange and blue vertical axis values reflects the total interaction value between the parameter and all other parameters.) (a) Based on the scope of online dissemination C f i n a l . (b) Based on online propagation peaks F m a x . (c) Based on the number of interlayer interactions C A B . (d) Based on online peak times t m a x .
Figure 11. Results of parameter sensitivity analysis for different parameters based on each indicator. (The value of the vertical axis corresponding to blue color represents the S1 value of the parameter; the value of the vertical axis corresponding to orange color represents the ST value of the parameter. The difference between the orange and blue vertical axis values reflects the total interaction value between the parameter and all other parameters.) (a) Based on the scope of online dissemination C f i n a l . (b) Based on online propagation peaks F m a x . (c) Based on the number of interlayer interactions C A B . (d) Based on online peak times t m a x .
Electronics 13 03829 g011
Figure 12. Scope of online information dissemination. (The red, blue and green lines in the figure represent δ = 0 ,   0.5 ,   1 .) (a) BA-WS coupling network; (b) BA-ER coupling network; (c) BA-BA coupling network.
Figure 12. Scope of online information dissemination. (The red, blue and green lines in the figure represent δ = 0 ,   0.5 ,   1 .) (a) BA-WS coupling network; (b) BA-ER coupling network; (c) BA-BA coupling network.
Electronics 13 03829 g012
Figure 13. Range of online information propagation in BA-WS coupled networks with different interlayer heterodyne degrees. (Light red, blue, green, dark red, pink, and black are represented in the diagram: δ = 0 ,   0.2 ,   0.4 ,   0.6 ,   0.8 ,   1 ).
Figure 13. Range of online information propagation in BA-WS coupled networks with different interlayer heterodyne degrees. (Light red, blue, green, dark red, pink, and black are represented in the diagram: δ = 0 ,   0.2 ,   0.4 ,   0.6 ,   0.8 ,   1 ).
Electronics 13 03829 g013
Table 1. Interpretation of model parameters.
Table 1. Interpretation of model parameters.
ParametersDefine
E i ( t ) User opinion intensity, which indicates the degree of the extremity of the opinion held by agent i of the offline susceptibility state about the information at moment t, reflects the influence of the individual’s opinions. E [ 0 , 1 ]
D i ( t )   The social reinforcement effect, which denotes the probability of a latent-state agent i transforming into a forward state at moment t in response to the combination of individual gains and social reinforcement effects, reflects the influential role of the group perspective. D [ 0 , 1 ]
R i ( t ) The forgetting effect, which denotes the probability that a latent-state agent i at moment t loses interest in the event and then transitions to an immunized state as time passes. R [ 0 , 1 ]
E n ( t ) The rate of energy decay, as reflected in the rate of energy decay of the user regulated by the biological clock. E n [ 0 , 1 ]
α Average forwarding probability of a susceptible-state user, which denotes the average forwarding probability of an agent in a susceptible state who is exposed to a message and participates in its dissemination by forwarding the message. α [ 0 , 1 ]
β Average probability of forwarding for latent users, which denotes the average probability of forwarding for individuals in the latent state who participate in information dissemination by forwarding due to social reinforcement effects and other factors. β [ 0 , 1 ]
γ The average immunization probability of a user in the forwarding state, which denotes the average immunization probability that an individual in the forwarding state becomes inactive during the information dissemination process. γ [ 0 , 1 ]
δ The average immunization probability of a latent state user, which denotes the average immunization probability that an individual in a latent state becomes inactive during information dissemination. δ [ 0 , 1 ]
Table 2. Parameterization of the amount of change in user activity.
Table 2. Parameterization of the amount of change in user activity.
User State Transition Results Range   of   Values   for   the   User   Opinion   Sensitivity   φ i ( t )
F i + F j F i + F j [ 0 , 0.1 ]
S i + F j L i + F j ( 0.1 , 0.3 ]
L i + F j F i + F j ( 0.3 , 0.6 ]
S i + F j F i + F j ( 0.6 , 1.0 ]
Table 3. Rules for changing the state of offline bridge nodes.
Table 3. Rules for changing the state of offline bridge nodes.
Online   Node   A i State Offline   Node   B i Pre-Update State State   of   Offline   Node   B i after Update
S Any StateConstant State
L S L
L L / I Constant State
F S / L Becomes F with probability γ 1 ; otherwise, L remains in its original state and S becomes L
F I Constant State
I Any State I
Table 4. Rules for changing the state of online bridge nodes.
Table 4. Rules for changing the state of online bridge nodes.
Offline   Node   B i State Online   Node   A i Pre-Update State State   of   Online   Node   A i after Update
S Any StateConstant State
L S L
L L / I Constant State
F S / L Becomes F with probability γ 2 ; otherwise, L remains in its original state and S becomes L
F I I
I Any State I
Table 5. The law of offline network construction.
Table 5. The law of offline network construction.
Is the Same IP OfflineWhether the Online Is Connected or NotWhether the Online Neighbor Is Connected Or NotOffline Connection Probability
YesYesIgnore0.8
YesNoYes0.6
YesNoNo0.2
NoIgnoreIgnore0
Table 6. Comparison of model fitting effects with different error metrics.
Table 6. Comparison of model fitting effects with different error metrics.
Error IndicatorsRMSEMAE r 2
Online SLFI-JA Model0.01220.00960.32
Online–Offline Coupling Model0.00410.00290.93
Table 7. Interlayer symmetry for different coupling networks with different degrees of heterosis | P | .
Table 7. Interlayer symmetry for different coupling networks with different degrees of heterosis | P | .
Type of Coupling NetworkHeterosis = 0Heterosis = 0.5Heterosis = 1
BA-ER 0.650.030.62
BA-WS0.670.130.58
BA-BA0.990.380.16
Table 8. Interlayer symmetry in BA-WS network coupling networks with different degrees of heterogeneity | P | .
Table 8. Interlayer symmetry in BA-WS network coupling networks with different degrees of heterogeneity | P | .
Heterosis00.20.40.60.81.0
| P | 0.660.440.270.060.370.62
Disclaimer/Publisher’s Note: The statements, opinions and data contained in all publications are solely those of the individual author(s) and contributor(s) and not of MDPI and/or the editor(s). MDPI and/or the editor(s) disclaim responsibility for any injury to people or property resulting from any ideas, methods, instructions or products referred to in the content.

Share and Cite

MDPI and ACS Style

Yang, Z.; Guo, Y.; She, Y.-W.; Yin, F.-L.; Wu, Y.-W. Modeling and Analysis of Coupled Online–Offline Opinion Dissemination Scenarios Based on Multi-Factor Interaction. Electronics 2024, 13, 3829. https://doi.org/10.3390/electronics13193829

AMA Style

Yang Z, Guo Y, She Y-W, Yin F-L, Wu Y-W. Modeling and Analysis of Coupled Online–Offline Opinion Dissemination Scenarios Based on Multi-Factor Interaction. Electronics. 2024; 13(19):3829. https://doi.org/10.3390/electronics13193829

Chicago/Turabian Style

Yang, Zhuo, Yan Guo, Yu-Wei She, Fu-Lian Yin, and Yue-Wei Wu. 2024. "Modeling and Analysis of Coupled Online–Offline Opinion Dissemination Scenarios Based on Multi-Factor Interaction" Electronics 13, no. 19: 3829. https://doi.org/10.3390/electronics13193829

APA Style

Yang, Z., Guo, Y., She, Y.-W., Yin, F.-L., & Wu, Y.-W. (2024). Modeling and Analysis of Coupled Online–Offline Opinion Dissemination Scenarios Based on Multi-Factor Interaction. Electronics, 13(19), 3829. https://doi.org/10.3390/electronics13193829

Note that from the first issue of 2016, this journal uses article numbers instead of page numbers. See further details here.

Article Metrics

Back to TopTop