Improving YOLOv7 for Large Target Classroom Behavior Recognition of Teachers in Smart Classroom Scenarios
Abstract
1. Introduction
- Aimed at the current problem of the lack of a teacher classroom behavior dataset, we collected a substantial amount of video data and, after a series of data processing and manual annotation steps such as cropping, filtering, and rescaling, constructed a teacher behavior dataset (TCBDS) in an actual classroom environment, which supports the research of teacher behavior recognition. Relevant experiments were carried out on the current mainstream models, and better experimental results were obtained with high practical application value.
- In this paper, we present a large target detection model based on YOLOv7+P6. We observed and analyzed the classroom data, and we found that the teacher’s single appearance makes the target object occupy a larger proportion of the image. To increase the model’s detection accuracy, we designed a large target detection layer in the original backbone model, a low-resolution feature layer with a much larger receptive field.
- This paper presents an improved model based on YOLOv7+EMA. To be able to effectively recognize teachers’ similar behaviors in classroom scenarios, the EMA attention module is added at the end of the original YOLOv7 backbone structure. This enables the model to focus more on the local feature information during the feature extraction process, making it more accurate in recognizing similar behaviors between classes.
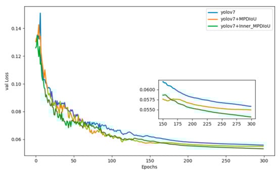
- This paper presents an improved model of YOLOv7+Inner_MPDIoU. Considering that CIoU has some limitations in exceptional cases, we combined the Inner_IoU idea and the MPDIoU loss principle, proposing the Inner_MPDIoU loss function. This function addresses the issue that CIoU cannot be further optimized when the real and predicted boxes have an equal aspect ratio. The experimental findings of the TCBDS dataset indicate that the method can increase recognition accuracy while accelerating model convergence.
2. Related Work
2.1. Target Detection Algorithms
2.2. Classroom Behavior Recognition
2.3. Student Classroom Behavior Recognition
2.4. Teacher Classroom Behavior Recognition
3. Methodology
3.1. Large Target Detection Layer
3.2. Efficient Multiscale Attention
3.3. Inner_MPDIoU Loss Function
4. Experimentation and Analysis
4.1. Experimental Datasets
4.2. Experimental Settings and Assessment Indicators
4.2.1. Experimental Settings
4.2.2. Assessment Indicators
4.3. Comprehensive Analysis of Teacher Classroom Behavior Recognition
4.4. Ablation Analysis
4.4.1. Attention Mechanism
4.4.2. Loss Function and Scaling Factor
4.4.3. Ablation Experiment
4.5. Comparison to the State-of-the-Art Detector
4.6. Relevance Analysis of Teaching and Learning
5. Conclusions
Author Contributions
Funding
Data Availability Statement
Acknowledgments
Conflicts of Interest
References
- Wang, C.; Zhang, F.; Ge, S.S. A comprehensive survey on 2d multi-person pose estimation methods. Eng. Appl. Artif. Intell. 2021, 102, 104260. [Google Scholar] [CrossRef]
- Kang, H.; van Es, E.A. Articulating design principles for productive use of video in preservice education. J. Teach. Educ. 2019, 70, 237–250. [Google Scholar] [CrossRef]
- Van den Hurk, H.T.G.; Houtveen, A.A.M.; Van de Grift, W.J.C.M. Fostering effective teaching behavior through the use of data-feedback. Teach. Teach. Educ. 2016, 60, 444–451. [Google Scholar] [CrossRef]
- Hadie, S.N.H.; Hassan, A.; Talip, S.B.; Yusoff, M.S.B. The teacher behavior inventory: Validation of teacher behavior in an interactive lecture environment. Teach. Dev. 2019, 23, 36–49. [Google Scholar] [CrossRef]
- Ren, S.; He, K.; Girshick, R.; Sun, J. Faster r-cnn: Towards real-time object detection with region proposal networks. IEEE Trans. Pattern Anal. Mach. Intell. 2017, 39, 1137–1149. [Google Scholar] [CrossRef] [PubMed]
- Du, B.; Zhao, J.; Cao, M.; Li, M.; Yu, H. Behavior recognition based on improved faster rcnn. In Proceedings of the 2021 14th International Congress on Image and Signal Processing, BioMedical Engineering and Informatics (CISP-BMEI), Shanghai, China, 23–25 October 2021. [Google Scholar]
- Redmon, J.; Divvala, S.; Girshick, R.; Farhadi, A. You only look once: Unified, real-time object detection. In Proceedings of the 2016 IEEE Conference on Computer Vision and Pattern Recognition (CVPR), Las Vegas, NV, USA, 27–30 June 2016. [Google Scholar]
- Liu, W.; Anguelov, D.; Erhan, D.; Szegedy, C.; Reed, S.; Fu, C.-Y.; Berg, A.C. SSD: Single Shot MultiBox Detector. In Computer Vision–ECCV 2016: 14th European Conference, Amsterdam, The Netherlands, 11–14 October 2016; Springer: Berlin/Heidelberg, Germany, 2016; pp. 21–37. [Google Scholar]
- Shinde, S.; Kothari, A.; Gupta, V. Yolo based human action recognition and localization. Procedia Comput. Sci. 2018, 133, 831–838. [Google Scholar] [CrossRef]
- Bai, D.; Sun, Y.; Tao, B.; Tong, X.; Xu, M.; Jiang, G.; Chen, B.; Cao, Y.; Sun, N.; Li, Z. Improved single shot multibox detector target detection method based on deep feature fusion. Concurr. Comput. Pract. Exp. 2022, 34, e6614. [Google Scholar] [CrossRef]
- Cocea, M.; Magoulas, G.D. Design and evaluation of a case-based system for modelling exploratory learning behavior of math generalization. IEEE Trans. Learn. Technol. 2017, 10, 436–449. [Google Scholar] [CrossRef]
- Brokamp, S.K.; Houtveen, A.A.M.; van de Grift, W.J.C.M. The relationship among students’ reading performance, their classroom behavior, and teacher skills. J. Educ. Res. 2019, 112, 1–11. [Google Scholar] [CrossRef]
- Kamiya, N. The effect of learner age on the interpretation of the nonverbal behaviors of teachers and other students in identifying questions in the l2 classroom. Lang. Teach. Res. 2018, 22, 47–64. [Google Scholar] [CrossRef]
- Li, W.; Zhang, L.; Wu, C.; Cui, Z.; Niu, C. A new lightweight deep neural network for surface scratch detection. Int. J. Adv. Manuf. Technol. 2022, 123, 1999–2015. [Google Scholar] [CrossRef] [PubMed]
- Zhao, J.; Zhu, H.; Niu, L. Bitnet: A lightweight object detection network for real-time classroom behavior recognition with transformer and bi-directional pyramid network. J. King Saud Univ. Comput. Inf. Sci. 2023, 35, 101670. [Google Scholar] [CrossRef]
- Wang, R.; Lyu, J.; Xiong, Q.; Guo, J. Ai-powered teaching behavior analysis by using 3d-mobilenet and statistical optimization. In International Conference on Artificial Intelligence in Education; Springer: Cham, Switzerland, 2021; pp. 378–383. [Google Scholar]
- Liao, W.; Xu, W.; Kong, S.; Ahmad, F.; Liu, W. A two-stage method for hand-raising gesture recognition in classroom. In Proceedings of the 2019 8th International Conference on Educational and Information Technology, Cambridge, UK, 2–4 March 2019; pp. 38–44. [Google Scholar]
- Lina, W.; Ding, J. Behavior detection method of OpenPose combined with Yolo network. In Proceedings of the 2020 International Conference on Communications, Information System and Computer Engineering (CISCE), Kuala Lumpur, Malaysia, 3–5 July 2020; pp. 326–330. [Google Scholar]
- Yang, F.; Wang, T.; Wang, X. Student classroom behavior detection based on yolov7-bra and multi-model fusion. In International Conference on Image and Graphics; Springer: Cham, Switzerland, 2023; pp. 41–52. [Google Scholar]
- Wang, Z.; Yao, J.; Zeng, C.; Wu, W.; Xu, H.; Yang, Y. Learning behavior recognition in smart classroom with multiple students based on yolov5. arXiv 2023, arXiv:2303.10916. [Google Scholar]
- Tang, L.; Xie, T.; Yang, Y.; Wang, H. Classroom behavior detection based on improved yolov5 algorithm combining multi-scale feature fusion and attention mechanism. Appl. Sci. 2022, 12, 6790. [Google Scholar] [CrossRef]
- Tan, M.; Pang, R.; Le, Q.V. Efficientdet: Scalable and efficient object detection. In Proceedings of the IEEE/CVF Conference on Computer Vision and Pattern Recognition, Seattle, WA, USA, 13–19 June 2020; pp. 10781–10790. [Google Scholar]
- Ren, X.; Yang, D. Student behavior detection based on yolov4-bi. In Proceedings of the 2021 IEEE International Conference on Computer Science, Artificial Intelligence and Electronic Engineering (CSAIEE), Virtual, 20–22 August 2021; pp. 288–291. [Google Scholar]
- Li, Z.; Xiong, J.; Chen, H. Based on improved yolo_v3 for college students’ classroom behavior recognition. In Proceedings of the 2022 International Conference on Artificial Intelligence and Computer Information Technology (AICIT), Yichang, China, 16–18 September 2022; pp. 1–4. [Google Scholar]
- Holzer, J.; Grützmacher, L.; Lüftenegger, M.; Prenzel, M.; Schober, B. Shedding light on relations between teacher emotions, instructional behavior, and student school well-being–evidence from disadvantaged schools. Learn. Instr. 2024, 92, 101926. [Google Scholar] [CrossRef]
- Wu, D.; Wang, J.; Zou, W.; Zou, S.; Zhou, J.; Gan, J. Classroom teacher action recognition based on spatio-temporal dual-branch feature fusion. Comput. Vis. Image Underst. 2024, 247, 104068. [Google Scholar] [CrossRef]
- Gang, Z.; Wenjuan, Z.; Biling, H.; Jie, C.; Hui, H.; Qing, X. A simple teacher behavior recognition method for massive teaching videos based on teacher set. Appl. Intell. 2021, 51, 8828–8849. [Google Scholar] [CrossRef]
- Chen, H.; Guan, J. Teacher–student behavior recognition in classroom teaching based on improved yolo-v4 and internet of things technology. Electronics 2022, 11, 3998. [Google Scholar] [CrossRef]
- Wu, D.; Chen, J.; Deng, W.; Wei, Y.; Luo, H.; Wei, Y. The recognition of teacher behavior based on multimodal information fusion. Math. Probl. Eng. 2020, 2020, 8269683. [Google Scholar] [CrossRef]
- Xu, T.; Deng, W.; Zhang, S.; Wei, Y.; Liu, Q. Research on recognition and analysis of teacher-student behavior based on a blended synchronous classroom. Appl. Sci. 2023, 13, 3432. [Google Scholar] [CrossRef]
- Zhao, J.; Zhu, H. Cbph-net: A small object detector for behavior recognition in classroom scenarios. IEEE Trans. Instrum. Meas. 2023, 72, 2521112. [Google Scholar] [CrossRef]
- Bochkovskiy, A.; Wang, C.-Y.; Liao, H.-Y.M. Yolov4: Optimal speed and accuracy of object detection. arXiv 2020, arXiv:2004.10934. [Google Scholar]
- Wang, C.-Y.; Bochkovskiy, A.; Liao, H.-Y.M. Yolov7: Trainable bag-of-freebies sets new state-of-the-art for real-time object detectors. In Proceedings of the IEEE/CVF Conference on Computer Vision and Pattern Recognition, Vancouver, BC, Canada, 17–24 June 2023; pp. 7464–7475. [Google Scholar]
- Ouyang, D.; He, S.; Zhang, G.; Luo, M.; Guo, H.; Zhan, J.; Huang, Z. Efficient multi-scale attention module with ross-spatial learning. In Proceedings of the ICASSP 2023—2023 IEEE International Conference on Acoustics, Speech and Signal Processing (ICASSP), Rhodes Island, Greece, 4–10 June 2023; pp. 1–5. [Google Scholar]
- Zheng, Z.; Wang, P.; Liu, W.; Li, J.; Ye, R.; Ren, D. Distance-iou loss: Faster and better learning for bounding box egression. Proc. AAAI Conf. Artif. Intell. 2020, 34, 12993–13000. [Google Scholar] [CrossRef]
- Ma, S.; Xu, Y. Mpdiou: A loss for efficient and accurate bounding ox regression. arXiv 2023, arXiv:2307.07662. [Google Scholar]
- Zhang, H.; Xu, C.; Zhang, S. Inner-iou: More effective intersection over union loss with auxiliary bounding box. arXiv 2023, arXiv:2311.02877. [Google Scholar]
- Hu, J.; Shen, L.; Sun, G. Squeeze-and-excitation networks. In Proceedings of the IEEE Conference on Computer Vision and Pattern Recognition, Salt Lake City, UT, USA, 18–23 June 2018; pp. 7132–7141. [Google Scholar]
- Wang, Q.; Wu, B.; Zhu, P.; Li, P.; Zuo, W.; Hu, Q. Eca-net: Efficient channel attention for deep convolutional neural networks. In Proceedings of the IEEE/CVF Conference on Computer Vision and Pattern Recognition, Seattle, WA, USA, 13–19 June 2020; pp. 11534–11542. [Google Scholar]
- Woo, S.; Park, J.; Lee, J.-Y.; Kweon, I.S. Cbam: Convolutional block attention module. In Proceedings of the European Conference on Computer Vision (ECCV), Munich, Germany, 8–14 September 2018; pp. 3–19. [Google Scholar]
- Yang, L.; Zhang, R.-Y.; Li, L.; Xie, X. Simam: A simple, parameter-free attention module for convolutional neural networks. In Proceedings of the International Conference on Machine Learning, Virtual, 18–24 July 2021; pp. 11863–11874. [Google Scholar]
- Wan, D.; Lu, R.; Shen, S.; Xu, T.; Lang, X.; Ren, Z. Mixed local channel attention for object detection. Eng. Appl. Artif. Intell. 2023, 123, 106442. [Google Scholar] [CrossRef]
- Zhao, Y.; Lv, W.; Xu, S.; Wei, J.; Wang, G.; Dang, Q.; Liu, Y.; Chen, J. Detrs beat yolos on real-time object detection. In Proceedings of the IEEE/CVF Conference on Computer Vision and Pattern Recognition, Seattle, WA, USA, 16–22 June 2024; pp. 16965–16974. [Google Scholar]
- Feng, C.; Zhong, Y.; Gao, Y.; Scott, M.R.; Huang, W. Tood: Task-aligned one-stage object detection. In Proceedings of the 2021 IEEE/CVF International Conference on Computer Vision (ICCV), Montreal, BC, Canada, 11–17 October 2021; pp. 3490–3499. [Google Scholar]













| Method | to_Blackboard | to_Student | Writing | black_Teach | Student_Teach | Interact |
|---|---|---|---|---|---|---|
| YOLOv7 | 93.9% | 94.1% | 93% | 97.7% | 97.4% | 94.7% |
| Ours | 94.8% | 95.5% | 93.9% | 98.9% | 98.8% | 95.3% |
| YOLOv7+Attention | mAP@.50 | mAP@.50:95 | R |
|---|---|---|---|
| YOLOv7 | 95.1% | 80.5% | 90.6% |
| SE [38] | 95% | 80.7% | 91.2% |
| ECA [39] | 95.4% | 81.2% | 91.4% |
| EMA | 95.6% | 81.9% | 91.9% |
| CBAM [40] | 95.5% | 82.3% | 91.8% |
| SimAM [41] | 95.1% | 80% | 91.5% |
| MLCA [42] | 95.4% | 80.8% | 90.7% |
| Loss Function | Ratio | mAP@.50 | mAP@.50:95 | R |
|---|---|---|---|---|
| CIoU | — | 95.1% | 80.5% | 90.6% |
| MPDIoU | — | 95.5% | 81.5% | 91.9% |
| Inner_MPDIoU | 0.7 | 95.6% | 81.6% | 90.6% |
| Inner_MPDIoU | 0.8 | 95.7% | 82% | 91.1% |
| Inner_MPDIoU | 0.9 | 95.5% | 81.8% | 91% |
| Inner_MPDIoU | 1.1 | 95.4% | 81.4% | 89.8% |
| Inner_MPDIoU | 1.2 | 95.4% | 81.3% | 90.9% |
| Inner_MPDIoU | 1.3 | 95.4% | 81.2% | 90.3% |
| YOLOv7 | P6 | EMA | Inner_MPDIoU | mAP@.50 | mAP@.50:95 | R |
|---|---|---|---|---|---|---|
| √ | 95.1% | 80.5% | 90.6% | |||
| √ | √ | 95.9% | 82.3% | 93.2% | ||
| √ | √ | 95.6% | 81.9% | 91.9% | ||
| √ | √ | 95.7% | 82% | 91.1% | ||
| √ | √ | √ | √ | 96.2% | 82.5% | 92.9% |
| Method | Backbone | mAP@.50 | mAP@.50:95 | R |
|---|---|---|---|---|
| RT-DETR [43] | ResNet18 | 90% | 76.2% | 89.5% |
| TOOD [44] | ResNet50 | 93.6% | 80.3% | 89.2% |
| Faster-RCNN | ResNet50 | 93.9% | 75.7% | 83.3% |
| SSD | VGG16 | 94.3% | 74.2% | 81.8% |
| Yolov5 | YOLOv5s | 94.5% | 80.1% | 90.2% |
| YOLOv7 | YOLOv7 | 95.1% | 80.5% | 90.6% |
| YOLOv8 | Yolov8n | 94.7% | 80.2% | 89.2% |
| Ours | YOLOv7 | 96.2% | 82.5% | 92.9% |
| Teaching Behavior | Class | Entrance Examination (EE) | First | Second | Third | Fourth |
|---|---|---|---|---|---|---|
| 48.8% | 2 | 86.37 | 91.45 | 92.18 | 88.2 | 89.76 |
| 57.5% | 5 | 86.38 | 92.34 | 96 | 89.58 | 91.65 |
Disclaimer/Publisher’s Note: The statements, opinions and data contained in all publications are solely those of the individual author(s) and contributor(s) and not of MDPI and/or the editor(s). MDPI and/or the editor(s) disclaim responsibility for any injury to people or property resulting from any ideas, methods, instructions or products referred to in the content. |
© 2024 by the authors. Licensee MDPI, Basel, Switzerland. This article is an open access article distributed under the terms and conditions of the Creative Commons Attribution (CC BY) license (https://creativecommons.org/licenses/by/4.0/).
Share and Cite
Ma, L.; Zhou, T.; Yu, B.; Li, Z.; Fang, R.; Liu, X. Improving YOLOv7 for Large Target Classroom Behavior Recognition of Teachers in Smart Classroom Scenarios. Electronics 2024, 13, 3726. https://doi.org/10.3390/electronics13183726
Ma L, Zhou T, Yu B, Li Z, Fang R, Liu X. Improving YOLOv7 for Large Target Classroom Behavior Recognition of Teachers in Smart Classroom Scenarios. Electronics. 2024; 13(18):3726. https://doi.org/10.3390/electronics13183726
Chicago/Turabian StyleMa, Long, Tao Zhou, Baohua Yu, Zhigang Li, Rencheng Fang, and Xinqi Liu. 2024. "Improving YOLOv7 for Large Target Classroom Behavior Recognition of Teachers in Smart Classroom Scenarios" Electronics 13, no. 18: 3726. https://doi.org/10.3390/electronics13183726
APA StyleMa, L., Zhou, T., Yu, B., Li, Z., Fang, R., & Liu, X. (2024). Improving YOLOv7 for Large Target Classroom Behavior Recognition of Teachers in Smart Classroom Scenarios. Electronics, 13(18), 3726. https://doi.org/10.3390/electronics13183726
