Abstract
This study aims to comprehensively analyze five weather forecasting models obtained from the Open-Meteo historical data repository, with a specific emphasis on evaluating their impact in predicting wind power generation. Given the increasing focus on renewable energy, namely, wind power, accurate weather forecasting plays a crucial role in optimizing energy generation and ensuring the stability of the power system. The analysis conducted in this study incorporates a range of models, namely, ICOsahedral Nonhydrostatic (ICON), the Global Environmental Multiscale Model (GEM Global), Meteo France, the Global Forecast System (GSF Global), and the Best Match technique. The Best Match approach is a distinctive solution available from the weather forecast provider that combines the data from all available models to generate the most precise forecast for a particular area. The performance of these models was evaluated using various important metrics, including the mean squared error, the root mean squared error, the mean absolute error, the mean absolute percentage error, the coefficient of determination, and the normalized mean absolute error. The weather forecast model output was used as an essential input for the power generation prediction models during the evaluation process. This method was confirmed by comparing the predictions of these models with actual data on wind power generation. The ICON model, for example, outscored others with a root mean squared error of 1.7565, which is a tiny but essential improvement over Best Match, which had a root mean squared error of 1.7604. GEM Global and Gsf Global showed more dramatic changes, with root mean squared errors (RMSEs) of 2.0086 and 2.0242, respectively, indicating a loss in prediction accuracy of around 24% to 31% compared to ICON. Our findings reveal significant disparities in the precision of the various models used, and certain models exhibited significantly higher predictive precision.
1. Introduction
Wind power generation utilization is increasingly emerging as a fundamental element in the global transition toward sustainable and renewable energy sources. The global installed capacity of wind power has increased from approximately 2.5 GW in 1992 to almost 906 GW at the end of 2022. The year 2023 should be the first year to exceed 100 GW of new capacity added worldwide, based on the same fact that GWEC Market Intelligence forecasts year-over-year growth of 15% []. Due to the inherent unpredictability of the weather, the predictability of wind patterns has a significant impact on the feasibility and efficiency of wind power. Wind power generation optimization is highly dependent on precise weather forecasts. The reason for this is because precise weather predictions enable energy producers and grid operators to effectively manage the balance between supply and demand, ensure system stability, and save operating costs [].
A review of the scientific papers related to wind power generation prediction curve estimation and the uncertainties in wind power output prediction reveals several key findings. First, the prediction of wind power production is crucial for the transmission of the power grid and the distribution of energy, but medium- and long-term predictions often exhibit large deviations due to the uncertainty of wind power generation []. To improve the accuracy of short-term wind power prediction, advanced algorithms and models are being developed, such as the genetic least squares estimation (GLSE) method for parameter estimation []. Furthermore, deep learning models have shown promise in identifying the complexity and nonlinearity of wind data sets, leading to better prediction results []. Furthermore, there is a need for analytical and focused uncertainty mitigation techniques to standardize prediction models and quantify wind uncertainties []. Our investigation, presented in this paper, focuses on assessing the effects of weather forecasting models on the uncertainty of wind energy prediction, in which predicted wind energy parameters such as wind speed and direction are used as input to machine learning-based wind energy production forecast models.
The primary difficulty in selecting weather forecast models is related to the identification and use of meteorological forecasting models that possess the ability to accurately anticipate wind patterns [,]. Models exhibit variations in their methodology, data input, and computational approaches, resulting in disparities in the precision of their forecasts. Understanding these variations is essential for stakeholders in the renewable energy sector, as selecting an appropriate forecasting model is important to determine the potential efficiency and productivity of wind power output.
In the present context, the importance of conducting a comparative examination of weather forecasting models cannot be overstated. This facilitates the evaluation of the models that offer the highest level of forecast reliability for particular geographic regions or circumstances. This study examines multiple models offered by an Open-Meteo [], including ICON, GEM Global, Meteo France, GSF Global, and a distinctive Best Match approach that combines the results from all available models to deliver the most accurate forecast.
In this paper, we focus on the prediction of wind power generation for a wind farm. The importance of distinguishing wind power prediction for single turbines from wind farms lies in the different complexities and environmental variables; intricate interactions between the turbines of a wind farm require unique modeling approaches for precise energy prediction and management, unlike the simpler dynamics of a single turbine []. In a wind farm, the interaction among the turbines (wake effect) can significantly affect overall performance. The downstream turbines may receive less wind as a result of the interference of the upstream turbines, making the prediction more complex than for a single turbine, where such interactions are not a factor. Models developed for single turbines may not scale efficiently to wind farms due to the increased complexity and additional factors to consider. A model that works well for a single turbine might not perform adequately when applied to a wind farm. In addition, for a wind farm, maintenance and operational strategies can have a more significant impact on overall performance. These factors make wind farm power generation prediction a significantly more challenging task compared to prediction for a single turbine. Some levels of uncertainty can be reduced by using more detailed SCADA data from wind turbines on the wind farm [].
The remaining sections of this study are structured as follows: In Section 2, we discuss our review of the scientific works related to the prediction of wind power generation. Section 3 briefly describes the methodology of this study. Section 4 presents the results and discussion of the study, and finally, in Section 5 this study will conclude with the direction of future work.
2. Related Works
The field of wind power generation prediction is now experiencing a substantial change, driven by cutting-edge technologies and approaches that seek to improve the precision and efficiency of forecasting systems. This section will provide an overview of the many studies conducted so far in order to forecast the power production of wind turbines. This paper provides a concise overview of the use of machine learning techniques in the context of wind energy, with a specific focus on the prediction of output power. In addition, the application of big data analytics is crucial in enhancing the accuracy of power generation predictions.
Big data is a promising tool for modeling wind energy, particularly forecasting wind speed [,], power prediction and optimization [], and monitoring of power curves []. Other authors commonly apply models such as Multi-Layer Perceptron (MLP) [], Decision Tree (DT) [], k-Nearest Neighbor (kNN) [], Support Vector Machine (SVM) [,], Long Short-Term Memory (LSTM) [,], and others.
The work of Hennayake et al. [] represents a step in meteorological science by developing two LSTM-based machine learning models for weather prediction in Sri Lanka. This investigation, which aims to improve the precision of temperature and precipitation forecasts, has demonstrated impressive success in capturing intricate patterns within historical weather data, thus producing trustworthy short-term forecasts.
A detailed examination of the weather prediction approaches [] places strong emphasis on the harmonic integration of dynamic and statistical models. The study investigates the use and usefulness of Artificial Neural Networks (ANNs) in weather forecasting, emphasizing the importance of Multi-Model Ensembling (MME) in boosting prediction accuracy and managing associated uncertainties.
Another interesting study looks at how high-resolution Numerical Weather Prediction (NWP) models are used in Hong Kong []. This study focuses on forecasting dangerous weather phenomena such as airport turbulence, wind gusts, and heavy rains from tropical cyclones. The impact of various turbulence parameterization schemes and the incorporation of radar data into weather prediction models is investigated, greatly adding to the progress in accuracy.
Recent studies [,,] show a significant movement towards data-driven weather prediction, with machine learning models being integrated alongside traditional Numerical Weather Prediction approaches. The comparison of modern machine learning models with traditional NWP methodologies exemplifies this paradigm shift, indicating a substantial advance in meteorological research.
In the field of renewable energy, the random forest regression-based method was proposed to predict the power output of wind turbines []. This method shows a solid ability to anticipate energy production with high accuracy while accounting for various environmental parameters. A unique method for predicting wind power combines a bidirectional long short-term memory neural network with phase–space reconstruction []—also combined with other models []. This technology significantly improves the accuracy and precision of short-term wind power forecasting, demonstrating an improvement over existing forecasting models.
Investigation of Bayesian networks in the wind energy sector demonstrates their growing importance, particularly in more complex and dynamic contexts such as offshore wind farms []. These networks are widely used for risk management, maintenance planning, and system reliability, which emphasizes their critical role in controlling uncertainties and optimizing wind farm performance.
Finally, given the unpredictable nature of wind energy, the importance of accurate and reliable evaluation methodologies for short-term wind power forecasting models is emphasized in the work of González-Sopeña, et al. []. The study divides the forecast models into physical and statistical categories, each with its own set of evaluation measures, highlighting the importance of proper model evaluation in this changing sector.
In summary, machine learning has made advances in wind power forecasting, but the weather forecast models used as input for these AI-based forecasts are underutilized. Current research emphasizes specific models or methodologies. This study compares five weather forecasting models for BiLSTM-based wind power forecasting to address this need. This research tries to find a model with the most accurate predictions to improve the efficiency and reliability of a renewable energy system, providing valuable insights into the optimization of wind power generation.
3. Materials and Methods
3.1. The Dataset
The dataset utilized in this study comprises two primary sources of data:
- The open source Open-Meteo API was used to acquire weather forecasts, which were synchronized with power plant according to the time and geographical location. Open-Meteo serves as a publicly accessible repository of meteorological data [], offering weather forecast records pertaining to several meteorological parameters, including wind speed, wind direction, air temperature, humidity, and atmospheric pressure, as well as multiple different weather models such as ICON, GEM Global, Meteo France, GSF Global, and the Best Match.
- The additional data set, synchronized with the weather forecasts, contains hourly measurements of the power generation from wind turbines located within a single wind farm located in Lithuania. The farm has six wind turbines with a capacity of 2.75 MW each.
The features selected for the BiLSTM model, including wind speed, wind direction, air temperature, humidity, and atmospheric pressure, were chosen based on the findings of our previous research [].
In order to improve the accuracy of wind power forecasts, it is essential to normalize the extracted features. The above procedure is crucial to ensure that the predictive model treats all features equally, regardless of the amount of data []. The absence of normalization may result in the dominance of features with higher values during the training phase, thus compromising the accuracy of the predictions. The normalization process has the added benefit of mitigating the influence of outliers, which can have a significant impact on the performance of the model.
In this work, the data set was partitioned into two distinct subsets: a training set and a test set. The training data set encompassed a period from May 2023 to October 2023, representing a duration of six months. The data set mentioned above was used to train the wind power generation forecasting model. The data that remained, collected in November 2023, were designated as the test set. This set was used to evaluate the efficacy of the model after its training. By partitioning the data set in this manner, the model is guaranteed to have the ability to efficiently handle novel and unfamiliar data while simultaneously avoiding excessive customization of the training data. The results of the model test set provide information on its predictive precision when applied to real-world scenarios involving wind power generation forecasting.
3.2. Machine Learning Model for Power Generation Forecasting
The present study uses a bidirectional long short-term memory (BiLSTM) neural network, which is a variant of recurrent neural networks (RNNs) known for its proficiency in handling time series data. This model was chosen based on the findings of our previous research []. The BiLSTM design effectively captures temporal correlations and patterns within weather data, making it highly suitable for forecasting tasks that rely heavily on prior weather patterns to anticipate future circumstances [,]. BiLSTM models were used for wind power generation prediction in multiple papers. Liu et al. proposed a hybrid model for wind power prediction that used a bidirectional long short-term memory network []. Another paper by Chai Z. presented a short-term wind power prediction model based on the attention mechanism and BiLSTM [].
In our investigation, we focused primarily on efficient feature selection from time series data tailored for a BiLSTM based model. Our goal was not to propose a new structural design for the BiLSTM neural network. Instead, we focused on identifying and utilizing the most relevant and impactful feature selection and extraction scenario that could enhance the flexibility and effectiveness of the existing BiLSTM framework. This emphasis on feature selection, combined with an analysis of wind forecasting model selection impact, is crucial, as it directly influences the model’s ability to accurately predict power output, demonstrating that even with a standard BiLSTM structure, significant improvements in forecasting can be achieved through careful and strategic feature selection.
To enhance the efficiency of the BiLSTM model, we used Bayesian optimization as a means of modifying the hyperparameters. Bayesian optimization is an algorithmic technique that uses probabilistic models to perform global optimization [,]. The optimization process considered the following parameters:
- Number of Layers (NumLayers): This parameter was set as an integer within the range of one to five, determining the depth of the network by specifying the number of BiLSTM layers.
- Number of Hidden Units (NumHiddenUnits): The number of hidden units per layer was allowed to vary between 10 and 400, also as an integer, controlling the capacity of each layer to learn complex patterns in the data.
- Maximum Epochs (MaxEpochs): The training duration was set between 10 and 500 epochs, with the goal of finding an optimal stopping point that balances training time and model performance.
- Initial Learning Rate (InitialLearnRate): The initial learning rate was optimized over a logarithmic scale ranging from to , enabling the model to adjust its weights effectively during training.
- Mini-Batch Size (MiniBatchSize): The size of each mini-batch was varied between 8 and 228, which influences the gradient descent process and impacts training stability and speed.
- Dropout Rate (DropoutRate): This parameter, ranging from 0 to 0.6, was optimized to prevent overfitting by randomly dropping a fraction of units during training.
- Gradient Threshold (GradientThreshold): The gradient clipping threshold was varied between 1 and 10, ensuring that gradients do not explode during backpropagation, thus stabilizing the training process.
- L2 Regularization (L2Regularization): Applied to prevent overfitting, this parameter was optimized on a logarithmic scale between and to penalize large weights in the network.
- Gradient Clipping (ClipGradients): This categorical parameter determined whether gradient clipping was enabled (true) or disabled (false).
- Learning Rate Schedule (LearningRateSchedule): The learning rate schedule was set as a categorical variable, either piecewise or none, to assess whether a decaying learning rate schedule would improve convergence.
- Sequence Padding Value (SequencePaddingValue): Ranging from 0 to 1, this parameter defined the value used for padding sequences to a uniform length.
- Sequence Length (SequenceLength): This categorical parameter controlled whether sequences were padded to the longest or shortest length within each mini-batch.
To validate the performance of the model, the preprocessed data were fed into the BiLSTM network during training. The data set was divided into training and testing subsets. Following the application of the best set of hyperparameters during the initial training phase, the model was re-trained using the optimized hyperparameters obtained by the Bayesian approach. Using metrics that include the root mean squared error (RMSE), mean absolute error (MAE), coefficient of determination (often referred to as R-squared) (), and normalized mean absolute error (NMAE), the performance of the model was assessed by comparing its predictions with real-world wind power generation data.
3.3. The Proposed Technique
Current approaches used in wind power generation forecasting sometimes depend on manual adjustment or a pre-established collection of hyperparameters, which may not always be the optimal choice []. The proposed methodology demonstrates the ability to adapt to the distinctive characteristics of the wind farm and achieve improved forecast accuracy through the dynamic adjustment of model hyperparameters using Bayesian optimization.
The initial step involves pre-processing and standardizing the raw weather data. The data set is partitioned into separate training and testing subsets to ensure a rigorous assessment of the model’s capacity to make accurate predictions.
The BiLSTM model was trained and validated using the Best Match [] weather forecast model to find the most important features and hyperparameters of the model. The result showed that the best features were the wind speed at 80 m, the wind speed at 10 m, the wind gust at 80 m, sea level pressure, and generated wind farm power. The interval was selected from t − 3 to t + 3 according to the findings of our previous research []. The predicted data included a 48-hour period; however, the validation process was limited to the last 24 h. The best model hyperparameters were validated by the R-squered Equation (1).
where:
- are the predicted values;
- are the actual values;
- is the mean of the actual values.
Subsequently, the BiLSTM model was trained and validated using a variety of weather prediction models (ICON, GEM Global, Meteo France, GSF Global, and Best Match []) as input with the best hyperparameters generated previously. With the same input intervals, the validation intervals and features of different weather prediction models were applied.
Following the initial phase of training and testing, the Bayesian optimization process helped us choose the most appropriate hyperparameters, which further improved our approach. Subsequently, the model was re-trained and re-tested using the aforementioned parameters to achieve optimal accuracy. The final stage of our study facilitated the evaluation of the improved efficacy of the BiLSTM model through a meticulous calibration of hyperparameters. In addition, it allowed us to identify the optimal weather forecast model for wind power generation. This forecast model schema is presented in Figure 1.

Figure 1.
Wind farm power forecast model.
4. Results and Discussion
The application of the BiLSTM model in various weather prediction models produced useful insights. Performance evaluation of each model was carried out using measures such as RMSE, MAE, , and NMAE. These metrics are widely used in the fields of machine learning and statistics to evaluate the performance of regression models. These measurements describe the gap between the expected and actual values. The precision metrics commonly used for the prediction of wind power generation are preferred due to their ease of interpretation by decision makers and participants in the energy market [,,]. The results are presented in Table 1.

Table 1.
Comparative analysis of weather prediction models.
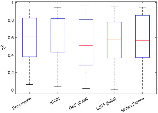
A comparison of multiple weather prediction models revealed significant differences in performance. The ICON model had the highest level of precision compared to the other models evaluated. It achieved an RMSE of 1.7565, an MAE of 1.2549, and an value of 0.85543. However, it should be noted that the GEM Global and GSF Global models exhibited comparatively elevated levels of predictive inaccuracy. Specifically, the GEM Global model yielded an RMSE of 2.0086, while the GSF Global model had an RMSE of 2.0242. Due to its RMSE of 1.7604, the Best Match technique demonstrated competitive performance, demonstrating its efficacy. This analysis highlights the importance of meticulous model selection in the context of weather forecasting for the prediction of wind power generation. It emphasizes that the decision on which model to choose has a substantial influence on the accuracy of forecasts and, consequently, the efficiency of energy management. In addition, daily comparison results are presented with a box plot chart in Figure 2.

Figure 2.
Comparison of daily for different weather prediction models.
Figure 3 presented in this analysis represents the differences and similarities between actual and wind-generated power forecasts with the following weather forecasting models: Best Match, GSF Global, ICON, GEM Global, and Meteo France over one-month test data. This graph demonstrates that the ICON model had the highest level of precision compared to the other models tested using wind farm data from this study.

Figure 3.
Comparison of actual vs. predicted power for different models.
5. Conclusions
In the current study, a comprehensive analysis of various weather prediction algorithms was performed, which revealed significant discrepancies in their ability to accurately forecast wind power generation. The findings of our research underscore the superior accuracy of the ICON model, with the Best Match approach displaying a close second. The Best Match method exhibited robust integration of multiple forecasts, which significantly improved its resilience. The significant error metrics observed in models such as GEM Global and GSF Global emphasize the importance of careful model selection when it comes to forecasting renewable energy. In general, this research makes substantial advances in the field of meteorological prediction for wind energy, with a particular focus on the critical impact that model accuracy has on the dependability and efficacy of sustainable energy sources. Future research in this domain may focus on improving prediction models and investigating innovative methodologies to improve forecast accuracy. In conclusion, these efforts would serve to advance the sustainable development of wind energy.
Author Contributions
Conceptualization, M.J. and A.S.; Funding acquisition, V.K.H.; Methodology, M.J. and A.S.; Project administration, R.P.; Supervision, R.P.; Validation, N.P.; Visualization, M.J.; Writing—original draft, M.J. and A.S.; Writing—review and editing, N.P., M.J. and A.S. All authors have read and agreed to the published version of the manuscript.
Funding
The project “Industrial Internet methods for electrical energy conversion systems monitoring and diagnostics” benefits from a EUR 993,000 grant from Iceland, Liechtenstein, and Norway through the EEA Grants. The aim of the project is to provide research in the field of energy conversion systems and to develop artificial intelligence and virtual emulator-based prognostic and diagnostic methodologies for these systems. The project contract with the Research Council of Lithuania (LMTLT) no. is S-BMT-21-5 (LT08-2-LMT-K-01-040).
Data Availability Statement
The data presented in this study are available on request from the corresponding author. Some part of the data, used as input to our models belongs to Open-Meteo.
Conflicts of Interest
The authors declare no conflicts of interest.
References
- Global Wind Energy Council (GWEC). Global Wind Report 2023. 2023. Available online: https://gwec.net/globalwindreport2023 (accessed on 1 December 2023).
- Georgilakis, P.S. Technical challenges associated with the integration of wind power into power systems. Renew. Sustain. Energy Rev. 2008, 12, 852–863. [Google Scholar] [CrossRef]
- Tsai, W.C.; Hong, C.M.; Tu, C.S.; Lin, W.M.; Chen, C.H. A review of modern wind power generation forecasting technologies. Sustainability 2023, 15, 10757. [Google Scholar] [CrossRef]
- Wang, Z.; Wang, X.; Liu, W. Genetic least square estimation approach to wind power curve modelling and wind power prediction. Sci. Rep. 2023, 13, 9188. [Google Scholar] [CrossRef]
- Choudhary, A.; Jain, P.; Prajesh, A. Wind Power Forecasting Using Deep Learning Method: A Review. In Proceedings of the 2023 1st International Conference on Intelligent Computing and Research Trends (ICRT), Roorkee, India, 3–4 February 2023; IEEE: Piscataway, NJ, USA, 2023; pp. 1–6. [Google Scholar]
- Mundotiya, P.; Mathuria, P.; Tiwari, H. Comprehensive Review on Uncertainty in Wind Power Forecasting-Models and Challenges. In Proceedings of the 2022 2nd International Conference on Innovative Sustainable Computational Technologies (CISCT), Dehradun, India, 23–24 December 2022; IEEE: Piscataway, NJ, USA, 2022; pp. 1–6. [Google Scholar]
- Biswas, M.; Dhoom, T.; Barua, S. Weather Forecast Prediction: An Integrated Approach for Analyzing and Measuring Weather Data. Int. J. Comput. Appl. 2018, 182, 20–24. [Google Scholar] [CrossRef]
- Hennayake, K.; Dinalankara, D.; Mudunkotuwa, D. Machine Learning Based Weather Prediction Model for Short Term Weather Prediction in Sri Lanka. Int. J. Multidiscip. Stud. 2022, 9, 65. [Google Scholar] [CrossRef]
- Open-Meteo. Open-Meteo Documentation. Available online: https://open-meteo.com/en/docs (accessed on 1 December 2023).
- Ye, H.; Yang, B.; Han, Y.; Li, Q.; Deng, J.; Tian, S. Wind Speed and Power Prediction Approaches: Classifications, Methodologies, and Comments. Front. Energy Res. 2022, 10, 901767. [Google Scholar] [CrossRef]
- Chen, X.; Zhang, X.; Dong, M.; Huang, L.; Guo, Y.; He, S. Deep learning-based prediction of wind power for multi-turbines in a wind farm. Front. Energy Res. 2021, 9, 723775. [Google Scholar] [CrossRef]
- El-Fouly, T.H.M.; El-Saadany, E.F.; Salama, M.M.A. One Day Ahead Prediction of Wind Speed and Direction. IEEE Trans. Energy Convers. 2008, 23, 191–201. [Google Scholar] [CrossRef]
- Lin, Z.; Liu, X. Wind power forecasting of an offshore wind turbine based on high-frequency SCADA data and deep learning neural network. Energy 2020, 201, 117693. [Google Scholar] [CrossRef]
- Kusiak, A.; Zheng, H.; Song, Z. On-line monitoring of power curves. Renew. Energy 2009, 34, 1487–1493. [Google Scholar] [CrossRef]
- Bouallègue, Z.B.; Clare, M.; Magnusson, L.; Gascon, E.; Maier-Gerber, M.; Janousek, M.; Rodwell, M.; Pinault, F.; Dramsch, J.; Lang, S.; et al. The rise of data-driven weather forecasting. Bull. Am. Meteorol. Soc. 2023, 105, E864–E883. [Google Scholar] [CrossRef]
- Adedipe, T.; Shafiee, M.; Zio, E. Bayesian Network Modelling for the Wind Energy Industry: An Overview. Reliab. Eng. Syst. Saf. 2020, 202, 107053. [Google Scholar] [CrossRef]
- Liu, L.; Liu, J.; Ye, Y.; Liu, H.; Chen, K.; Li, D.; Dong, X.; Sun, M. Ultra-short-term wind power forecasting based on deep Bayesian model with uncertainty. Renew. Energy 2023, 205, 598–607. [Google Scholar] [CrossRef]
- González-Sopeña, J.; Pakrashi, V.; Ghosh, B. An overview of performance evaluation metrics for short-term statistical wind power forecasting. Renew. Sustain. Energy Rev. 2021, 138, 110515. [Google Scholar] [CrossRef]
- Aggarwal, R.; Kumar, R. A Comprehensive Review of Numerical Weather Prediction Models. Int. J. Comput. Appl. 2013, 74, 44–48. [Google Scholar] [CrossRef]
- Chan, P. Advanced Applications of Numerical Weather Prediction Models—Case Studies. In Numerical Models in Geomechanics; InTech: Rijeka, Croatia, 2010. [Google Scholar] [CrossRef]
- Liu, Y.; Zhang, H.; Wu, C.; Shao, M.; Zhou, L.; Fu, W. A Short-Term Wind Speed Forecasting Framework Coupling a Maximum Information Coefficient, Complete Ensemble Empirical Mode Decomposition with Adaptive Noise, Shared Weight Gated Memory Network with Improved Northern Goshawk Optimization for Numerical Weather Prediction Correction. Sustainability 2024, 16, 6782. [Google Scholar] [CrossRef]
- Rashid, H.; Haider, W.; Batunlu, C. Forecasting of Wind Turbine Output Power Using Machine Learning. In Proceedings of the 2020 19th IEEE/ACIS International Conference on Computer and Information Science (ICIS), Deggendorf, Germany, 16–18 September 2020. [Google Scholar] [CrossRef]
- Ying, H.; Deng, C.; Xu, Z.; Huang, H.; Deng, W.; Yang, Q. Short-term prediction of wind power based on phase space reconstruction and BiLSTM. Energy Rep. 2023, 9, 474–482. [Google Scholar] [CrossRef]
- Liu, W.; Liu, Q.; Li, Y. Ultra-short-term photovoltaic power prediction based on modal reconstruction and BiLSTM-CNN-Attention model. Earth Sci. Inform. 2024, 17, 2711–2725. [Google Scholar] [CrossRef]
- Jankauskas, M.; Serackis, A.; Pomornacki, R.; Hyunh, V.K.; Šapurov, M.; Baškys, A. Short-term Wind Energy Forecasting with Advanced Recurrent Neural Network Models: A Comparative Study. In Proceedings of the 2023 IEEE 10th Jubilee Workshop on Advances in Information, Electronic and Electrical Engineering (AIEEE), Vilnius, Lithuania, 27–29 April 2023; pp. 1–5. [Google Scholar] [CrossRef]
- Liu, Y.; He, J.; Wang, Y.; Liu, Z.; He, L.; Wang, Y. Short-Term Wind Power Prediction Based on CEEMDAN-SE and Bidirectional LSTM Neural Network with Markov Chain. Energies 2023, 16, 5476. [Google Scholar] [CrossRef]
- Chai, Z. BiLSTM Short-term Wind Power Prediction Based on Attention Mechanism. In Proceedings of the 2023 IEEE 3rd International Conference on Electronic Technology, Communication and Information (ICETCI), Changchun, China, 26–28 May 2023; IEEE: Piscataway, NJ, USA, 2023; pp. 1341–1346. [Google Scholar]
- Wang, L.; Dernoncourt, F.; Bui, T. Bayesian Optimization for Selecting Efficient Machine Learning Models. arXiv 2020, arXiv:2008.00386. [Google Scholar]
- Wang, J.; Li, X.; Li, J.; Sun, Q.; Wang, H. NGCU: A New RNN Model for Time-Series Data Prediction. Big Data Res. 2022, 27, 100296. [Google Scholar] [CrossRef]
- Lagos, A.; Caicedo, J.E.; Coria, G.; Quete, A.R.; Martínez, M.; Suvire, G.; Riquelme, J. State-of-the-Art Using Bibliometric Analysis of Wind-Speed and -Power Forecasting Methods Applied in Power Systems. Energies 2022, 15, 6545. [Google Scholar] [CrossRef]
Disclaimer/Publisher’s Note: The statements, opinions and data contained in all publications are solely those of the individual author(s) and contributor(s) and not of MDPI and/or the editor(s). MDPI and/or the editor(s) disclaim responsibility for any injury to people or property resulting from any ideas, methods, instructions or products referred to in the content. |
© 2024 by the authors. Licensee MDPI, Basel, Switzerland. This article is an open access article distributed under the terms and conditions of the Creative Commons Attribution (CC BY) license (https://creativecommons.org/licenses/by/4.0/).