A Robust Handover Optimization Based on Velocity-Aware Fuzzy Logic in 5G Ultra-Dense Small Cell HetNets
Abstract
1. Introduction
- Development of an intelligent FLC framework that separately handles TTT and HOM. The proposed framework utilizes critical system parameters such as RSRP, UE speed, and cell load to optimize the tuning of the TTT and HOM settings. These settings vary based on different input conditions, with the TTT being specifically set to longer for lower UE speed scenarios and shorter for higher UE speeds to ensure optimal performance.
- Optimization of the TTT and HOM settings involves applying the FLC rules based on previous expertise to determine their optimal values. This expertise includes an iterative process of applying different TTT and HOM values with varying ranges of input parameters to minimize RLF and HOPP. Specifically, different UE speed categories were considered for TTT optimization. It is crucial to set TTT and HOM in a manner that minimizes both RLF and HOPP levels simultaneously. Long TTT values may reduce HOPP occurrence but can lead to RLF due to serving signal deterioration and HO delay. Similarly, high HOM values can have the same effect. Conversely, a short TTT and low HOM may reduce the RLF but increase the overhead signaling and HOPP probabilities. This approach balances the mitigation of RLF and HOPP issues while ensuring the overall quality of service (QoS).
- We present an algorithm that facilitates efficient HO decision-making in ultra-densely deployed SC HetNets, resulting in optimized KPIs compared to existing methods in the literature, with a focus on simultaneously mitigating RLF and HOPP levels.
- Significantly, the UE speed thresholds considered in this study surpass those documented in prior literature. The carefully selected UE speeds are reflective of real-life scenarios, thus enhancing the practical applicability of this research.
2. Related Works
3. Proposed System Architecture
3.1. System Model
3.2. Fuzzy Logic Controller (FLC)
- During the Fuzzification stage, inputs are received, marking the beginning of the fuzzification process. Fuzzification involves converting imprecise input data into fuzzy values. This relates to a domain characterized by MFs. These functions can be in the form of a triangle, trapezoid, or Gaussian. In more complex systems, multiple MFs can be combined, and the choice depends on the specific requirements of the system. The triangular MF is the most commonly used option due to its simplicity, though its effectiveness may vary by implementation. The selection of MF shape is problem-specific, but extensive literature reviews indicate the triangular MF is generally more effective than other MFs [27]. If there is no preference for the shape of MFs, triangular or trapezoidal shapes are recommended for their simplicity and computational efficiency. To maximize performance, a design optimization process is often necessary, where the adjustable parameters of the fuzzy system are tuned to meet a specific performance criterion. The triangular and trapezoidal MFs are defined concisely using the following compact expressions and are visually depicted in Figure 3.
- In the inference/interpretation stage, rules are created using linguistic variables derived from system performance and experience. The interpreter is then used to make decisions based on the given input and the established rule base. There are two main categories of fuzzy inference systems (FIS): Mamdani-type FIS and Sugeno-type FIS, also referred to as Takagi–Sugeno–Kang fuzzy inference. The Mamdani and Sugeno FISs designed for a specific system have an equal number of input and output MFs. Their rules are also aligned, but the main difference lies in how they process fuzzy output through defuzzification. The primary distinction between the Mamdani and Sugeno FISs is their approach to generating precise output from fuzzy inputs. Prominent Mamdani defuzzification methods, such as the smallest of maxima (SoM), largest of maxima (LoM), and mean of maxima (MoM), stem from variations in the max criterion. These methods determine the smallest, largest, or mean output value on the basis of inputs whose membership values reach their maximum. Mamdani systems are commonly used in expert system applications because they benefit from their intuitive and easily understandable rule bases, which are often described on the basis of insights from human experts. In contrast, the Sugeno FIS uses a weighted average approach instead of the complex iterative process used in Mamdani systems. Unlike the Mamdani FIS, the Sugeno FIS does not include an output MF. Instead, it uses singleton output MFs that are either constant or linear functions of input values. This makes the Sugeno FIS less computationally complex than the Mamdani FIS. However, the interpretability and expressive capabilities of the Mamdani FIS are compromised in the Sugeno FIS because of its non-fuzzy rule consequents. As a result, the output is represented as a constant value rather than a fuzzy set during rule evaluation [28,29,30]. Ultimately, the choice between the Mamdani and Sugeno FIS depends on carefully weighing the advantages and limitations. This prompts the system designer to select an option that best suits the specific system requirements.
- During the Defuzzification stage, the decision of the inference block is converted into numerical values. This block serves as a bridge between the controller and the actual system, providing accurate values for further processing [31].
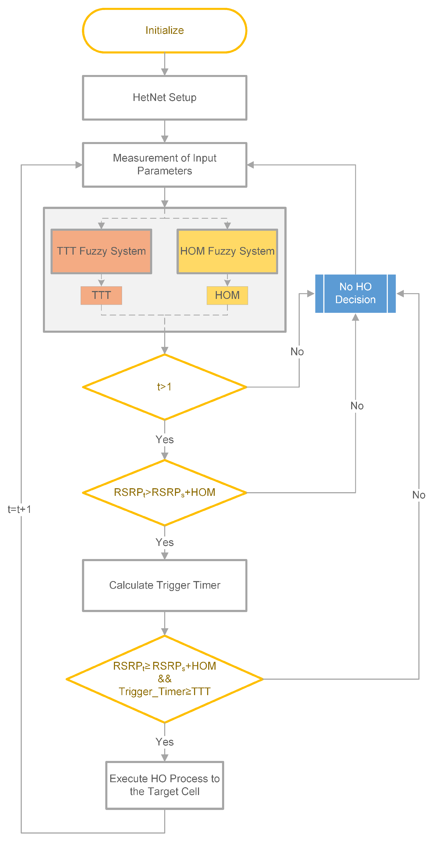
3.3. Proposed System and Algorithm
| Algorithm 1 Pseudocode for calculating trigger timer. |
|
4. Performance Evaluation
4.1. Handover Rate (HOR)
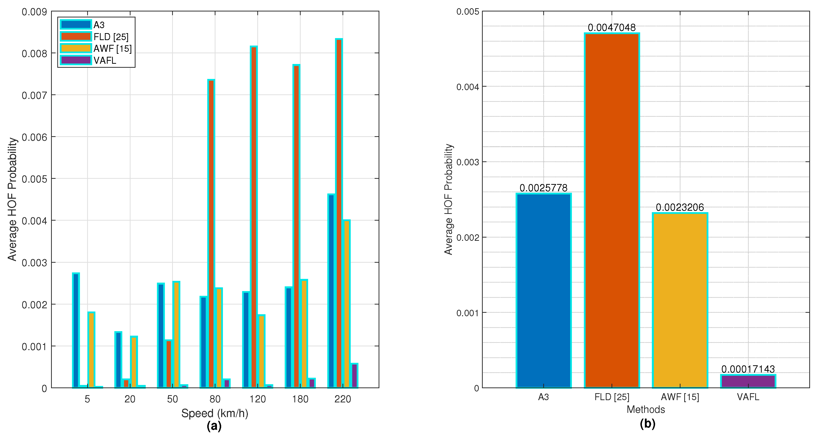
4.2. Handover Failure (HOF)
4.3. Radio Link Failure (RLF)
4.4. Handover Ping-Pong (HOPP)
5. Conclusions
Author Contributions
Funding
Data Availability Statement
Conflicts of Interest
References
- Ericsson Mobility Report. Available online: https://www.ericsson.com/49dd9d/assets/local/reports-papers/mobility-report/documents/2023/ericsson-mobility-report-june-2023.pdf (accessed on 28 May 2024).
- Liu, G.; Jiang, D. 5G: Vision and requirements for mobile communication system towards year 2020. Chin. J. Eng. 2016, 2016, 5974586. [Google Scholar] [CrossRef]
- Chu, X.; Lopez-Perez, D.; Yang, Y.; Gunnarsson, F. Heterogeneous Cellular Networks: Theory, Simulation and Deployment, 1st ed.; Cambridge Press: Cambridge, UK, 2013. [Google Scholar]
- Dghais, W.; Souilem, M.; Chi, H.R.; Radwan, A.; Taha, A.-E.M. Dynamic clustering for power effective small cell deployment in HetNet 5G networks. In Proceedings of the 2020 IEEE International Conference of Communications (ICC), Dublin, Ireland, 7–11 June 2020. [Google Scholar]
- Ghosh, S.K.; Ghosh, S.C. A Blackout Aware Handover Mechanism for Ultra Dense Networks. J. Netw. Syst. Manag. 2022, 30, 37. [Google Scholar] [CrossRef]
- Haghrah, A.; Haghrah, A.; Niya, J.M.; Ghaemi, S. Handover triggering estimation based on fuzzy logic for LTE-A/5G networks with ultra-dense small cells. Soft Comput. 2023, 27, 17333–17345. [Google Scholar] [CrossRef]
- Rehman, A.U.; Roslee, M.B.; Jun Jiat, T. A Survey of Handover Management in Mobile HetNets: Current Challenges and Future Directions. Appl. Sci. 2023, 13, 3367. [Google Scholar] [CrossRef]
- 3GPP; LTE. Self-configuring and self-optimizing network (SON) use cases and solutions. In Evolved Universal Terrestrial Radio Access (E-UTRA); Technical Report TR 36.902 V9.3.1; 3GPP Mobile Competence Centre: Sophia Antipolis, France, 2022. [Google Scholar]
- 3GPP; LTE. Overall description, Stage 2. Technical Specification TS 36.300 V11.6.0. In Evolved Universal Terrestrial Radio Access (E-UTRA) and Evolved Universal Terrestrial Radio Access Network (E-UTRAN); 3GPP Mobile Competence Centre: Sophia Antipolis, France, 2013. [Google Scholar]
- Saad, W.K.; Shayea, I.; Hamza, B.J.; Azizan, A.; Ergen, M.; Alhammadi, A. Performance Evaluation of Mobility Robustness Optimization (MRO) in 5G Network with Various Mobility Speed Scenarios. IEEE Access 2022, 10, 60955–60971. [Google Scholar] [CrossRef]
- Alhabo, M.; Zhang, L. Load-Dependent Handover Margin for Throughput Enhancement and Load Balancing in HetNets. IEEE Access 2018, 6, 67718–67731. [Google Scholar] [CrossRef]
- Ray, R.P.; Tang, L. Hysteresis margin and load balancing for handover in heterogeneous network. Int. J. Future Comput. Commun. 2015, 4, 231. [Google Scholar] [CrossRef]
- Nie, S.; Wu, D.; Zhao, M.; Gu, X.; Zhang, L.; Lu, L. An enhanced mobility state estimation based handover optimization algorithm in LTE-A self-organizing network. Procedia Comput. Sci. 2015, 52, 270–277. [Google Scholar] [CrossRef]
- Shayea, I.; Ismail, M.; Nordin, R.; Ergen, M.; Ahmad, N.; Abdullah, N.F.; Alhammadi, A.; Mohamad, H. New weight function for adapting handover margin level over contiguous carrier aggregation deployment scenarios in LTE-advanced system. Wirel. Pers. Commun. 2019, 108, 1179–1199. [Google Scholar] [CrossRef]
- Shayea, I.; Ergen, M.; Azizan, A.; Ismail, M.; Daradkeh, Y.I. Individualistic Dynamic Handover Parameter Self-Optimization Algorithm for 5G Networks Based on Automatic Weight Function. IEEE Access 2020, 8, 214392–214412. [Google Scholar] [CrossRef]
- Alhammadi, A.; Hassan, W.H.; El-Saleh, A.A.; Shayea, I.; Mohamad, H.; Daradkeh, Y.I. Conflict Resolution Strategy in Handover Management for 4G and 5G Networks. Comput. Mater. Contin. 2022, 72, 5215–5232. [Google Scholar] [CrossRef]
- Cardoso, E.; Silva, K.; Francês, R. Intelligent handover procedure for heterogeneous LTE networks using fuzzy logic. In Proceedings of the 2017 13th International Wireless Communications and Mobile Computing Conference (IWCMC), Valencia, Spain, 26–30 June 2017; IEEE: Piscataway, NJ, USA, 2017. [Google Scholar]
- Muñoz, P.; Barco, R.; de la Bandera, I. On the potential of handover parameter optimization for self-organizing networks. IEEE Trans. Veh. Technol. 2013, 62, 1895–1905. [Google Scholar] [CrossRef]
- Da Costa Silva, K.; Becvar, Z.; Frances, C.R.L. Adaptive Hysteresis Margin Based on Fuzzy Logic for Handover in Mobile Networks with Dense Small Cells. IEEE Access 2018, 6, 17178–17189. [Google Scholar] [CrossRef]
- Chen, Y.S.; Chang, Y.J.; Tsai, M.J.; Sheu, J.P. Fuzzy-logic-Based Handover Algorithm for 5G Networks. In Proceedings of the IEEE Wireless Communications and Networking Conference (WCNC), Nanjing, China, 29 March–1 April 2021; pp. 1–7. [Google Scholar]
- Alhammadi, A.; Roslee, M.; Alias, M.Y.; Shayea, I.; Alriah, S.; Abas, A.B. Advanced handover self-optimization approach for 4G/5G HetNets using weighted fuzzy logic control. In Proceedings of the 2019 15th International Conference on Telecommunications (ConTEL), Graz, Austria, 3–5 July 2019; pp. 1–6. [Google Scholar]
- Alraih, S.; Nordin, R.; Shayea, I.; Abdullah, N.F.; Alhammadi, A. Ping-Pong Handover Effect Reduction in 5G and Beyond Networks. In Proceedings of the IEEE Microwave Theory and Techniques in Wireless Communications (MTTW), Riga, Latvia, 7–8 October 2021; pp. 97–101. [Google Scholar]
- Alraih, S.; Nordin, R.; Abu-Samah, A.; Shayea, I.; Abdullah, N.F.; Alhammadi, A. Robust Handover Optimization Technique with Fuzzy Logic Controller for Beyond 5G Mobile Networks. Sensors 2022, 22, 6199. [Google Scholar] [CrossRef] [PubMed]
- Alhammadi, A.; Hassan, W.H.; El-Saleh, A.A.; Shayea, I.; Mohamad, H.; Saad, W.K. Intelligent coordinated self-optimizing handover scheme for 4G/5G heterogeneous networks. ICT Express 2022, 9, 276–281. [Google Scholar] [CrossRef]
- Hwang, W.S.; Cheng, T.Y.; Wu, Y.J.; Cheng, M.H. Adaptive Handover Decision Using Fuzzy Logic for 5G Ultra-Dense Networks. Electronics 2022, 11, 3278. [Google Scholar] [CrossRef]
- Zadeh, L.A. Fuzzy Sets, Fuzzy Logic and Fuzzy Systems; World Scientific: Singapore, 1996. [Google Scholar]
- Sadollah, A. Introductory Chapter: Which Membership Function is Appropriate in Fuzzy System? In Fuzzy Logic Based in Optimization Methods and Control Systems and Its Applications; InTech: London, UK, 2018. [Google Scholar]
- Chen, Y.L.; Wang, N.C.; Liu, Y.S.; Ko, C.Y. Energy Efficiency of Mobile Devices Using Fuzzy Logic Control by Exponential Weight with Priority-Based Rate Control in Multi-Radio Opportunistic Networks. Electronics 2023, 12, 2863. [Google Scholar] [CrossRef]
- Takagi, T.; Sugeno, M. Fuzzy identification of systems and its applications to modeling and control. IEEE Trans. Syst. ManCybern. 1985, SMC-15, 116–132. [Google Scholar]
- Egaji, O.A.; Griffiths, A.; Hasan, M.S.; Yu, H.-N. A comparison of Mamdani and Sugeno fuzzy based packet scheduler for MANET with a realistic wireless propagation model. Int. J. Autom. Comput. 2015, 12, 1–13. [Google Scholar] [CrossRef]
- Mahajan, V.; Agarwal, P.; Gupta, H.O. Power quality problems with renewable energy integration. In Power Quality in Modern Power Systems, 1st ed.; Academic Press: Cambridge, MA, USA, 2021; pp. 105–131. [Google Scholar]
- 3GPP. Technical Specification TS 38.331 V15.3.0. In 5G, NR, Radio Resource Control (RRC), Protocol Specification; 3GPP Mobile Competence Centre: Sophia Antipolis, France, 2018. [Google Scholar]
- Riaz, H.; Öztürk, S.; Aldırmaz Çolak, S.; Çalhan, A. Performance Analysis of Weighting Methods for Handover Decision in HetNets. Gazi Univ. J. Sci. in press. [CrossRef]
- Sklar, B. Rayleigh fading channels in mobile digital communication systems. I. Characterization. IEEE Commun. Mag. 1997, 35, 90–100. [Google Scholar] [CrossRef]
- Goldsmith, A. Wireless Communications; Cambridge University Press: Cambridge, UK, 2005. [Google Scholar]
- 3GPP; LTE. Radio Frequency (RF) system scenarios. Technical Report TR 36.942 V16.0.0. In Evolved Universal Terrestrial Radio Access (E-UTRA); 3GPP Mobile Competence Centre: Sophia Antipolis, France, 2020. [Google Scholar]












| Inputs | Degrees | Scales |
|---|---|---|
| RSRP | Poor | to −95 dBm |
| Fair | −95 to −75 dBm | |
| Excellent | −75 to −10 dBm | |
| Speed | Slow | 0 to 20 km/h |
| Moderate | 20 to 80 km/h | |
| Fast | 80 to 180 km/h | |
| Very Fast | 180 to 220 km/h | |
| Load | Low | 0 to 40% |
| Medium | 40 to 80% | |
| High | 80 to 100% |
| Parameters | LTE-A | 5G |
|---|---|---|
| Carrier Frequency (f) | 2.6 GHz | 28 GHz |
| System Bandwidth (B) | 20 MHz | 500 MHz |
| Transmit Power (Tx) | 43 dBm | 30 dBm |
| Cell Radius (R) | 1000 m | 100 m |
| Antenna Height (H) | 25 m | 15 m |
| Number of Cells | 21 | 280 |
| Shadowing () | 8 dB | 10 dB |
| Path Loss Model | ||
| T310 | 1 s | |
| Number of UEs for Evaluation | 20 | |
| User Speeds (v) | [5, 20, 50, 80, 120, 180, 220] km/h | |
| Reference Sensitivity (QRx) | −101.5 dBm | |
| Noise Power Density (N0) | −174 dBm/Hz | |
| Fast Fading Model | Rayleigh fading | |
| UE Measurement Periodicity (MP) | 40 ms | |
| Simulation Period | 1000 cycles | |
Disclaimer/Publisher’s Note: The statements, opinions and data contained in all publications are solely those of the individual author(s) and contributor(s) and not of MDPI and/or the editor(s). MDPI and/or the editor(s) disclaim responsibility for any injury to people or property resulting from any ideas, methods, instructions or products referred to in the content. |
© 2024 by the authors. Licensee MDPI, Basel, Switzerland. This article is an open access article distributed under the terms and conditions of the Creative Commons Attribution (CC BY) license (https://creativecommons.org/licenses/by/4.0/).
Share and Cite
Riaz, H.; Öztürk, S.; Çalhan, A. A Robust Handover Optimization Based on Velocity-Aware Fuzzy Logic in 5G Ultra-Dense Small Cell HetNets. Electronics 2024, 13, 3349. https://doi.org/10.3390/electronics13173349
Riaz H, Öztürk S, Çalhan A. A Robust Handover Optimization Based on Velocity-Aware Fuzzy Logic in 5G Ultra-Dense Small Cell HetNets. Electronics. 2024; 13(17):3349. https://doi.org/10.3390/electronics13173349
Chicago/Turabian StyleRiaz, Hamidullah, Sıtkı Öztürk, and Ali Çalhan. 2024. "A Robust Handover Optimization Based on Velocity-Aware Fuzzy Logic in 5G Ultra-Dense Small Cell HetNets" Electronics 13, no. 17: 3349. https://doi.org/10.3390/electronics13173349
APA StyleRiaz, H., Öztürk, S., & Çalhan, A. (2024). A Robust Handover Optimization Based on Velocity-Aware Fuzzy Logic in 5G Ultra-Dense Small Cell HetNets. Electronics, 13(17), 3349. https://doi.org/10.3390/electronics13173349

