Wideband Patch Antenna with Modified L-Probe Feeding for mmWave 5G Mobile Applications
Abstract
1. Introduction
2. Antenna-in-Package Structure
3. Performance of Designed Antenna with Parametric Studies
3.1. Conventional L-Probe and Designed Helical-Shaped L-Probe
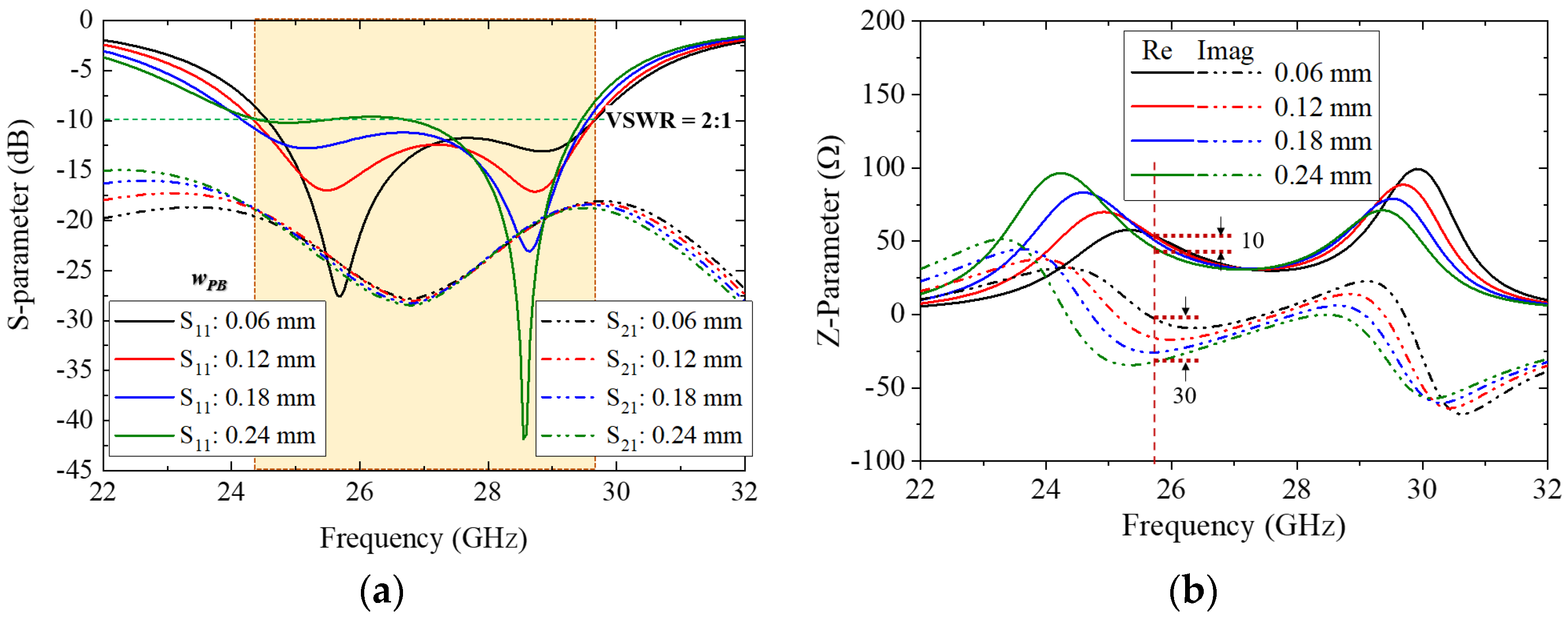
3.2. Parametric Studies on Various HLF Dimensions
4. 10× Upscaled Antenna Experimental Verification
- To align and fully compress the milled substrates into the antenna using M2.5 × 10 mm screws and nuts, 2.55 mm diameter holes were punched on the edges of the substrate and copper patch radiator. M2.5 × 10 mm plastic screws are selected and used on the edge of the copper radiator patch to mitigate the effects of the screws on the radiation from the copper patch radiator.
- The copper foils of FR-4 substrates were milled accordingly for each TM1–TM6, CCL, BM1, and feeding layer. The purpose of the BM layers is to provide feeding between other chipsets. As shown in Figure 15b, the feeding layer replaces these BM layers to ease the fabrication process and feed. The feeding layer thickness is 0.6 mm, and a microstrip line with a width of 1.2 mm and length of 6.8 mm was used to connect with the probe. Then, portions of the FR-4 substrate were milled to provide spaces to embed parts of the proposed HLF structure for the TM1–TM4 and CCL layers.
- The individual parts of the proposed HLF structure used in the TM1 to TM4 layers were punched from a 0.2 mm thick copper sheet, as shown in Figure 15c. The copper rod, with a 1.8 mm diameter, connecting between each TM layer and the TM1 and feeding layers, was cut using a diamond wire saw.
- To integrate the milled substrates and parts of the HLF structure, the FR-4 substrate having the TM1 layer was flipped, and the holes were filled with screws and nuts. After flipping and placing the TM2 layer on top of the TM1 layer, the first copper part of the HLF structure was inserted. Then, the substrate for the TM3 layer was placed on top of the substrate for the TM2 layer. To connect the TM2 and TM3 layers, the copper rod cut in Step 3 was inserted and soldered. Then, the parts for the TM3 layer were included and soldered to connect the copper rod and TM3 layer. This process was repeated to connect the other layers.
- After stacking all substrates, the bolts were tightened to eliminate possible air gaps between the layers. Then, 50 Ω SMA connectors were used to feed the antennas through feeding layers.
5. Antenna Performance of Antenna Array
6. Conclusions
7. Patents
Author Contributions
Funding
Data Availability Statement
Conflicts of Interest
References
- Making 5G NR a Commercial Reality: A Unified, More Capable 5G Air Interface. Available online: https://www.qualcomm.com/media/documents/files/making-5g-nr-a-commercial-reality.pdf (accessed on 6 June 2019).
- Liu, D.; Gu, X.; Baks, C.W.; Valdes-Garcia, A. Antenna-in-Package Design Considerations for Ka-band 5G Communication Applications. IEEE Trans. Antennas Propag. 2017, 65, 6372–6379. [Google Scholar] [CrossRef]
- Gu, X.; Liu, D.; Baks, C.; Tageman, O.; Sadhu, B.; Hallin, J.; Rexberg, L.; Valdes-Garcia, A. A Multilayer Organic Package with 64 Dual-polarized Antennas for 28 GHz 5G Communications. In Proceedings of the 2017 IEEE MTT-S International Microwave Symposium (IMS), Honololu, HI, USA, 4–9 June 2017; pp. 1899–1901. [Google Scholar] [CrossRef]
- Du, J.-K.; So, K.; Ra, Y.; Jung, S.-Y.; Kim, J.; Kim, S.Y.; Woo, S.; Kim, H.-T.; Ho, Y.-C.; Paik, W. Dual-polarized Patch Array Antenna Package for 5G Communication Systems. In Proceedings of the 2017 11th European Conference on Antennas and Propagation (EUCAP), Paris, France, 19–24 March 2017; pp. 3493–3496. [Google Scholar]
- Mak, C.; Luk, K.; Lee, K.; Chow, Y. Experimental Study of a Microstrip Patch Antenna with L-shaped Probe. IEEE Trans. Antennas Propag. 2000, 48, 777–783. [Google Scholar] [CrossRef]
- Xue, M.; Wan, W.; Wang, Q.; Cao, L. Low-profile Wideband Millimeter-wave Antenna-in-Package Suitable for Embedded Organic Substrate Package. IEEE Trans. Antennas Propag. 2021, 69, 4401–4411. [Google Scholar] [CrossRef]
- Hazdra, P.; Mazanek, M.; Cermak, J. Wideband Rectangular Microstrip Patch Antenna using L-probe Feeding System. Radioengineering 2007, 16, 37–41. [Google Scholar]
- Hong, W.; Baek, K.-H.; Goudelev, A. Grid Assembly-Free 60-GHz Antenna Module Embedded in FR-4 Transceiver Carrier Board. IEEE Trans. Antennas Propag. 2013, 61, 1573–1580. [Google Scholar] [CrossRef]
- Kim, W.; Bang, J.; Choi, J. A Cost-effective Antenna-in-Package Design with a 4 × 4 Dual-polarized High Isolation Patch Array for 5G mmWave Applications. IEEE Access 2021, 9, 163882–163892. [Google Scholar] [CrossRef]
- Guo, G.; Wu, L.-S.; Zhang, Y.-P.; Mao, J.-F. Stacked Patch Array in LTCC for 28 GHz Antenna-in-Package Applications. In Proceedings of the 2017 IEEE Electrical Design of Advanced Packaging and Systems Symposium (EDAPS), Haining, China, 14–16 December 2017; pp. 1–3. [Google Scholar]
- Guo, J.; Hu, Y.; Hong, W. A 45° Polarized Wideband and Wide-Coverage Patch Antenna Array for Millimeter-Wave Communication. IEEE Trans. Antennas Propag. 2021, 70, 1919–1930. [Google Scholar] [CrossRef]
- Gu, X.; Liu, D.; Hasegawa, Y.; Masuko, K.; Baks, C.; Suto, Y.; Fujisaku, Y.; Sadhu, B.; Paidimarri, A.; Guan, N.; et al. Antenna-in-Package Integration for a Wideband Scalable 5G Millimeter-Wave Phased-Array Module. IEEE Microw. Wirel. Compon. Lett. 2022, 31, 682–684. [Google Scholar] [CrossRef]
- Seo, J.; Yoon, I.; Jung, J.; Ryoo, J.; Park, J.; Lee, W.; Ko, D.; Oh, J. Miniaturized Dual-Band Broadside/Endfire Antenna-in-Package for 5G Smartphone. IEEE Trans. Antennas Propag. 2021, 69, 8100–8114. [Google Scholar] [CrossRef]
- Lu, R.; Yu, C.; Wu, F.; Yu, Z.; Zhu, L.; Zhou, J.; Yan, P.; Hong, W. SIW Cavity-Fed Filtennas for 5G Millimeter-Wave Applications. IEEE Trans. Antennas Propag. 2021, 69, 5269–5277. [Google Scholar] [CrossRef]
- Chang, Y.C.; Hsu, C.-C.; Magray, M.I.; Hsu, Y.-C.; Tarng, J.-H. Wideband and Low Profile Miniaturized Magneto-Electric Dipole Antenna for 5G mmWave Applications. In Proceedings of the 2020 IEEE Asia-Pacific Microwave Conference (APMC 2020), Hong Kong, China, 10–13 November 2020. [Google Scholar]
- Kim, G.; Kim, S. Design and Analysis of Dual Polarized Broadband Microstrip Patch Antenna for 5G mmWave Antenna Module on FR4 Substrate. IEEE Access 2021, 9, 64306–64316. [Google Scholar] [CrossRef]
- Park, J.; Choi, D.; Hong, W. Millimeter-wave Phased-array Antenna-in-Package (AiP) using Stamped Metal Process for Enhanced Heat Dissipation. IEEE Antennas Wirel. Propag. Lett. 2019, 18, 2355–2359. [Google Scholar] [CrossRef]
- Chou, H.-T.; Chou, S.-J.; Deng, J.D.S.; Chang, C.-H.; Yan, Z.-D. LTCC-based Antenna-in-Package Array for 5G User Equipment with Dual-polarized Endfire Radiations at Millimeter-wave Frequencies. IEEE Trans. Antennas Propag. 2021, 70, 3076–3081. [Google Scholar] [CrossRef]
- Yu, B.; Qian, Z.; Lin, C.; Lin, J.; Zhang, Y.; Yang, G.; Luo, Y. A Wideband mmWave Antenna in Fan-Out Wafer Level Packaging With Tall Vertical Interconnects for 5G Wireless Communication. IEEE Trans. Antennas Propag. 2021, 69, 6906–6911. [Google Scholar] [CrossRef]
- Li, H.; Li, Y.; Chang, L.; Sun, W.; Qin, X.; Wang, H. A Wideband Dual-Polarized Endfire Antenna Array With Overlapped Apertures and Small Clearance for 5G Millimeter-Wave Applications. IEEE Trans. Antennas Propag. 2021, 69, 815–824. [Google Scholar] [CrossRef]
- Zhang, H.; Shamim, A. Wideband and Wide Beam Scanning Dual-Polarized Phased Array Antenna-in-Package Design for 5G Applications. IEEE Open J. Antennas Propag. 2024, 5, 140–152. [Google Scholar] [CrossRef]
- Kim, G.; Kim, D.; Lim, K.; Yang, C.; You, C.; Kim, S. Dual-band Dual-polaried Rhombic Patch Antenna Array for 5G mmWave RF Front End Antenna-in-Package Module. IEEE Antennas Wirel. Propag. Lett. 2024, 23, 2120–2124. [Google Scholar] [CrossRef]
- Yin, Y.; Xia, C.; Liu, S.; Zhang, Z.; Chen, C.; Wang, G.; Wang, C.; Wu, Y. Ultrathin Antenna-in-Package Based on TMV-Embedded FOWLP for 5G mm-Wave Applications. Electronics 2024, 13, 839. [Google Scholar] [CrossRef]























| lS | wS | lP | wP | lPB | wPB | dF | dFP | dPB |
| 5 | 5 | 2.35 | 2.35 | 0.3 | 0.12 | 0.18 | 0.27 | 0.33 |
| wHP | XF | dV | dVP | dc | tPPG | tCCL | tCu | Unit in mm |
| 0.145 | 1.705 | 0.08 | 0.12 | 0.5 | 0.06 | 0.3 | 0.02 |
| Ref. | Frequency Band (−10 dB Bandwidth) | Peak Element Gain | Substrate | Height for Antenna Part | Remark |
|---|---|---|---|---|---|
| [2] | 30–30.8 GHz (0.8 GHz: 2.6%) | 3 dBi | 2 HDIs | N. G. | Dual-pol (|Sij| > 22 dB) |
| [3] | 26.3–30 GHz (3.7 GHz: 13%) | 4 dBi | Air cavity and 2 HDIs | N. G. | Dual-pol (|Sij|: N. G.) |
| [4] | 27.4–29.6 GHz (2.2 GHz: 7.7%) | 4.5 dBi | 3 HDIs | 490 μm (0.045 λL) | Dual-pol (|Sij|: N. G.) |
| [5] | 26.4–29.3 GHz (2.9 GHz: 10%) | N. G. | A6 LTCC | 480 μm (0.042 λL) | Single-pol (|Sij|: N. A.) |
| [6] | 22.8–33.3 GHz (10.5 GHz: 37.5%) | N. G. | Organic substrate (HL972LF, GHPL-970LF) | 420 μm (0.031 λL) | Single-pol (|Sij|: N. A.) |
| [9] | 26.5–29.5 GHz (3.0 GHz: 11%) | 7.4 dBi | TLY-5 and FR-4 | 1200 μm (0.11 λL) | Dual-pol (|Sij| > 23 dB) |
| [11] | 22.3–29.6 GHz (7.3 GHz: 28%) | 5.8 dBi | TLY-5, FR-27, FR-4, RO4350 | 2570 μm (0.2 λL) | Single-pol (|Sij|: N. A.) |
| [14] | 24.25–29.5 GHz (5.25 GHz: 20%) | 4.5 dBi | RO4003C, RO4450F, TLY-5 | 1800 μm (0.15 λL) | Dual-pol (|Sij| > 35 dB) |
| [16] | 23-29 GHz (6 GHz: 23.1%) | 5 dBi | FR-4, Air | 1200 μm (0.092 λL) | Dual-pol (|Sij| > 15 dB) |
| [18] | 27.5–31 GHz (3.5 GHz: 12%) | 6 dBi | LTCC | 1183 μm (0.11 λL) | Dual-pol (|Sij| > 14 dB) |
| [21] | 25.87–29.05 GHz (3.18 GHz: 11.5%) | N. G. | RO3003 and RO4003 | 1100 μm (0.095 λL) | Single-pol (|Sij|: N. A.) |
| [22] | 26–31.0 GHz (5.0 GHz: 17.5%) | N. G. | Prepreg | 1160 μm (0.1 λL) | Dual-pol (|Sij| > 10 dB) |
| [23] | 24.2–28.5 GHz (4.3 GHz: 17.8%) | 7.5 dBi | EMC, Dielectric polymer | 450 μm (0.036 λL) | Single-pol (|Sij| > N. A.) |
| This work | 24.2–29.6 GHz (5.4 GHz: 20%) | 5.1 dBi | FR-4 | 600 μm (0.048 λL) | Dual-pol (|Sij| > 18 dB) |
Disclaimer/Publisher’s Note: The statements, opinions and data contained in all publications are solely those of the individual author(s) and contributor(s) and not of MDPI and/or the editor(s). MDPI and/or the editor(s) disclaim responsibility for any injury to people or property resulting from any ideas, methods, instructions or products referred to in the content. |
© 2024 by the authors. Licensee MDPI, Basel, Switzerland. This article is an open access article distributed under the terms and conditions of the Creative Commons Attribution (CC BY) license (https://creativecommons.org/licenses/by/4.0/).
Share and Cite
Lee, W.; Won, H.; Hong, Y.-K.; Choi, M.; An, S.-Y. Wideband Patch Antenna with Modified L-Probe Feeding for mmWave 5G Mobile Applications. Electronics 2024, 13, 3119. https://doi.org/10.3390/electronics13163119
Lee W, Won H, Hong Y-K, Choi M, An S-Y. Wideband Patch Antenna with Modified L-Probe Feeding for mmWave 5G Mobile Applications. Electronics. 2024; 13(16):3119. https://doi.org/10.3390/electronics13163119
Chicago/Turabian StyleLee, Woncheol, Hoyun Won, Yang-Ki Hong, Minyeong Choi, and Sung-Yong An. 2024. "Wideband Patch Antenna with Modified L-Probe Feeding for mmWave 5G Mobile Applications" Electronics 13, no. 16: 3119. https://doi.org/10.3390/electronics13163119
APA StyleLee, W., Won, H., Hong, Y.-K., Choi, M., & An, S.-Y. (2024). Wideband Patch Antenna with Modified L-Probe Feeding for mmWave 5G Mobile Applications. Electronics, 13(16), 3119. https://doi.org/10.3390/electronics13163119

