A Survey on Maximum Ratio Combination: Applications, Evaluation and Future Directions
Abstract
1. Introduction
- The application scenarios of diversity combining in terms of space, time and frequency, i.e., Multiple Input Multiple Output (MIMO), Rake receiver and OFDM are reviewed. Based on these schemes, the system model and mathematical analysis model are abstracted and formulated. In addition, we highlight the spatial diversity and the system models for different scenarios in the presence of Gaussian noise, CCI, and impulsive noise, are presented.
- Performance analysis is critically reviewed and summarized. The commonly used performance metrics and channel fading statistics are introduced, based on which the performance of MRC under different channel fading conditions is summarized and derived. The major influential factors for MRC are analyzed in terms of channel correlation, CCI and impulsive noise.
- We investigate a series of MRC-based or modified MRC techniques. Open issues in emergent communication techniques and the development of MRC-related techniques are outlined. Future research directions for MRC integrated with new techniques such as deep learning are reviewed to help readers clarify the possible applications, various representative scenarios and the prospect for future MRC-aided systems.
2. Classical Systems Employing Maximum Ratio Combination
2.1. MIMO System with Spatial Diversity
2.2. Rake Receiver with Time Diversity
2.3. OFDM System with Frequency Diversity
3. Typical Application Scenarios and Channel Fading on Maximum Ratio Combination
3.1. Typical Scenarios for MRC
3.1.1. Gaussian Noise-Limited Scenario
3.1.2. CCI Limited Scenario
3.1.3. Gaussian Noise and CCI Scenarios
3.1.4. Impulsive Noise Scenario
3.2. Channel Fading Statistics
3.2.1. Rayleigh Fading
3.2.2. Rice Fading
3.2.3. Hoyt Fading
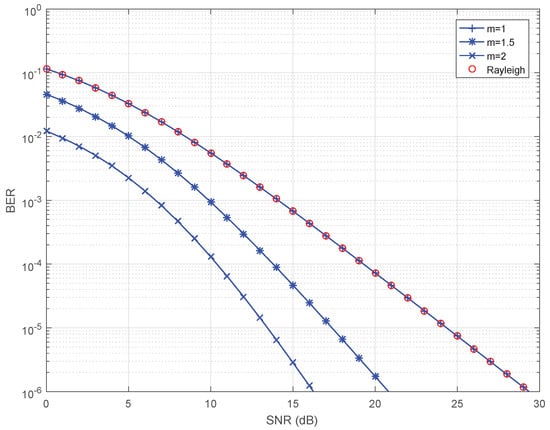
3.2.4. Nakagami-m Fading
3.2.5. Fading and Fading
3.2.6. Log-Normal Fading
3.2.7. Composite Fading Model
3.2.8. Fluctuating Two-Ray Fading Model
3.3. Channel Correlation
3.4. CCI and Impulsive Noise
- Middleton’s Class-A noise
- SS noise
- Gaussian-mixture noise
4. Performance Analysis on Maximum Ratio Combination
4.1. Metric Criteria for MRC
4.1.1. Average SNR
4.1.2. Average Bit Error Rate
4.1.3. Outage Probability
4.1.4. Average Channel Capacity
4.1.5. Amount of Fading
4.1.6. Average Outage Duration
4.1.7. Moment Generating Function-Based Method
4.2. Closed-Form of MRC Performance over Fading Channel
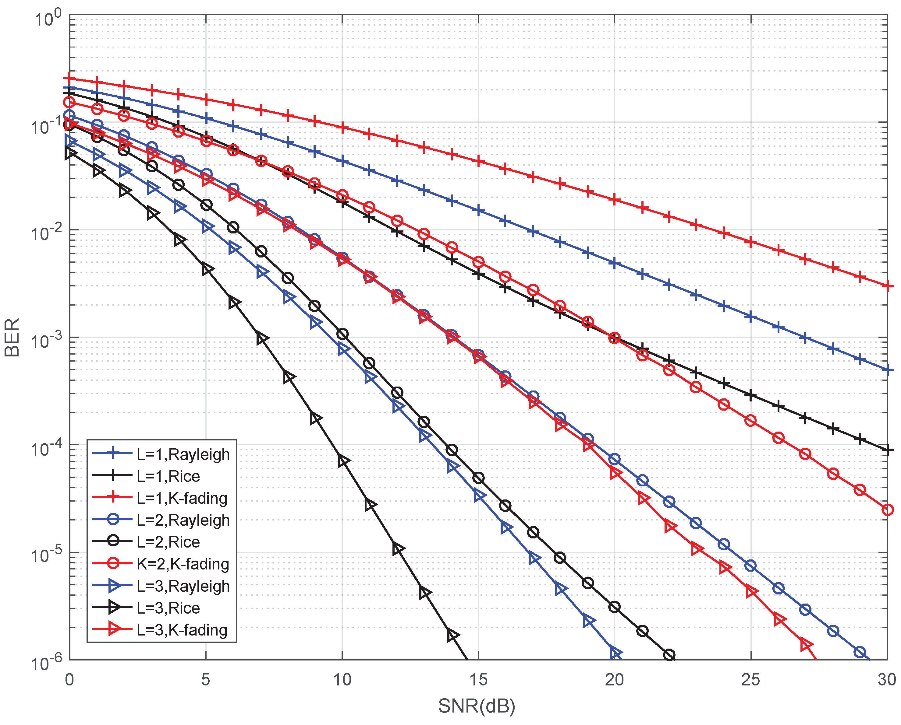
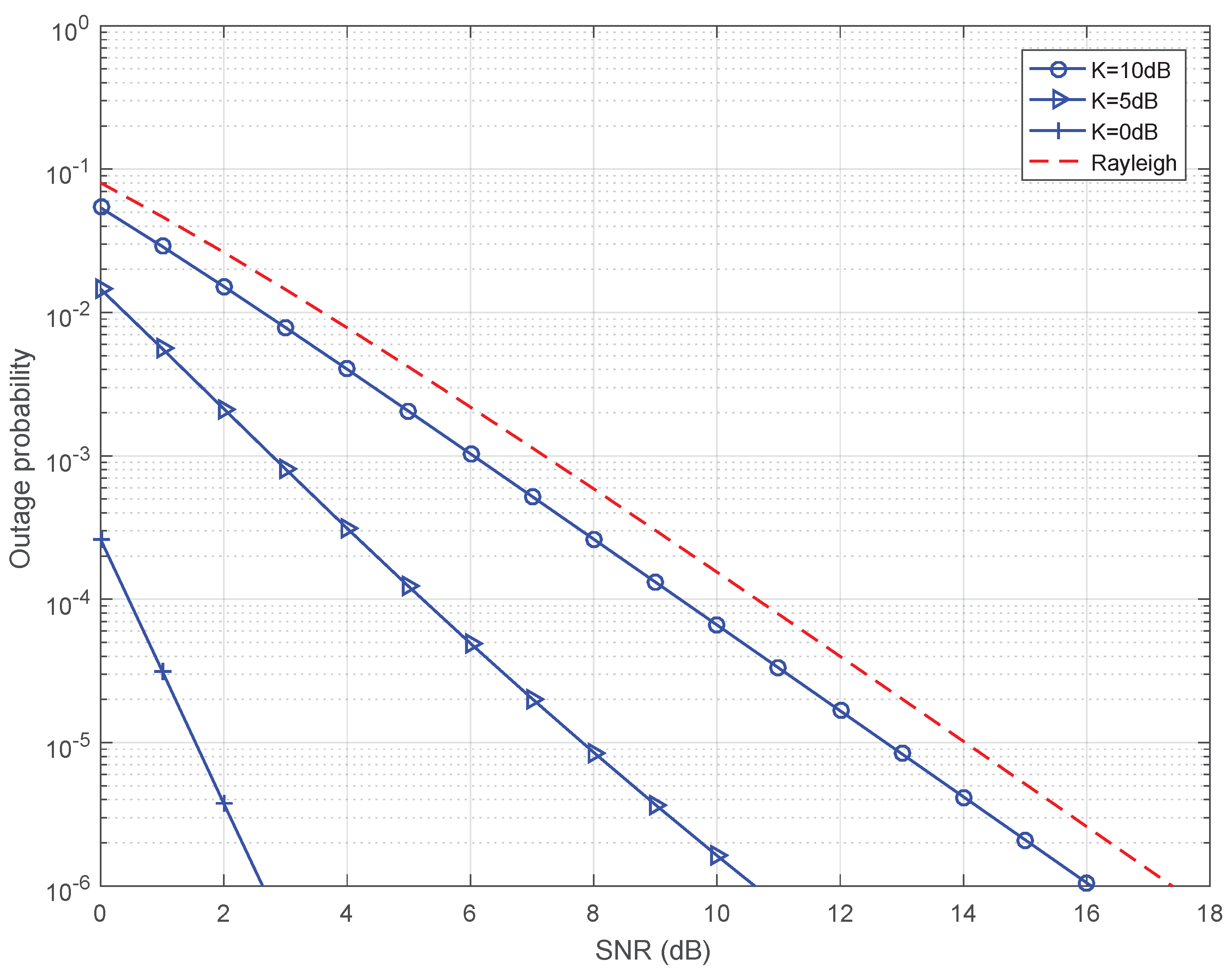
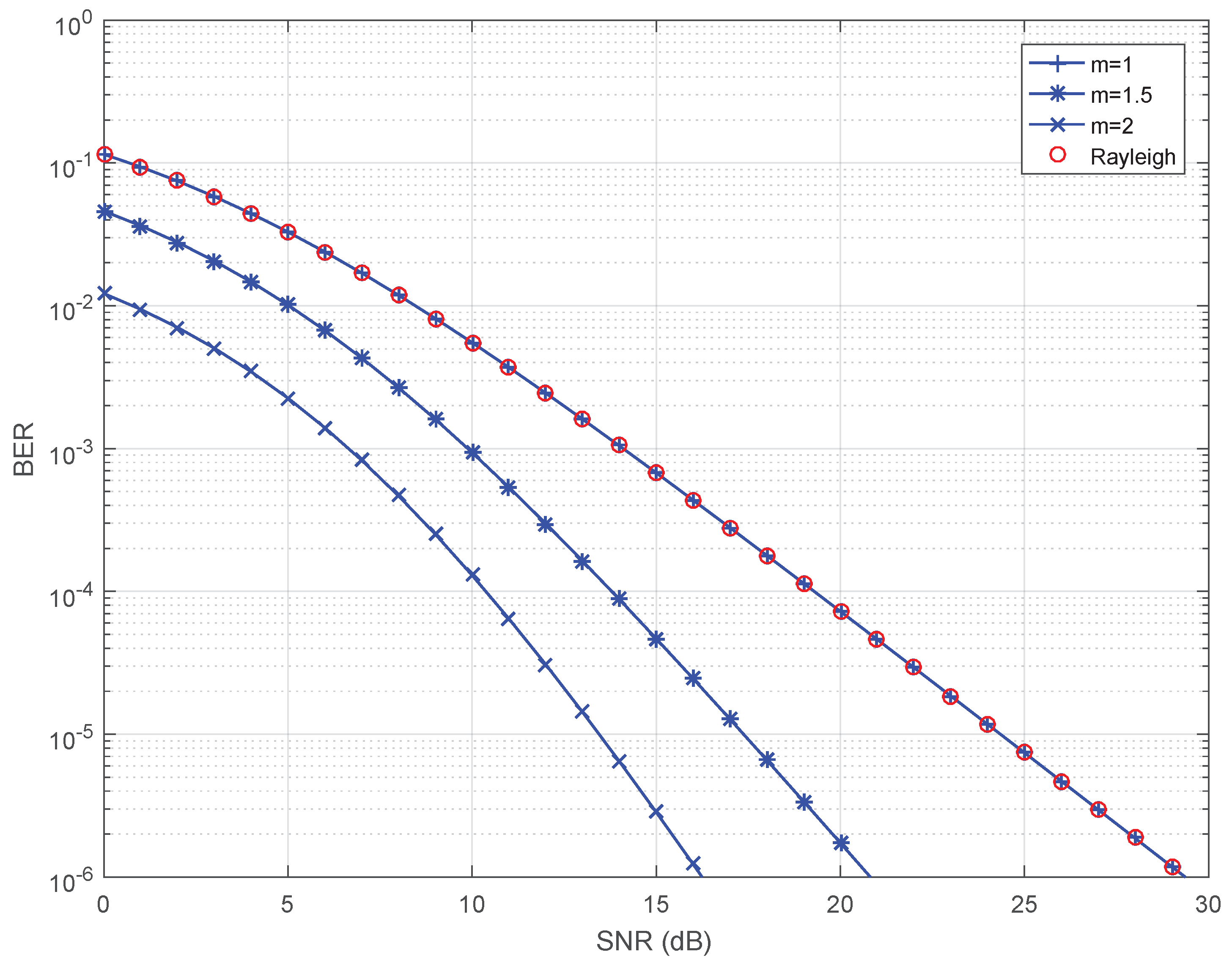
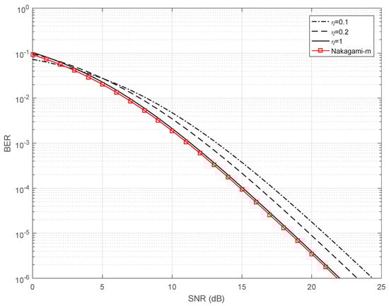
4.3. MRC Performance over Different Fading Channel
4.4. MRC Performance with CCI or Impulsive Noise
5. Future Directions and Open Issues
5.1. TAS/MRC
5.2. Imperfect CSI and Time-Varying Channel
5.3. Beamforming and Combining
5.4. Deep Learning-Based Combining
5.5. Development with Other Systems
6. Conclusions
Author Contributions
Funding
Data Availability Statement
Conflicts of Interest
References
- Brennan, D.G. Linear diversity combining techniques. Proc. IRE 1959, 47, 1075–1102. [Google Scholar] [CrossRef]
- Ding, Z.; Adachi, F.; Poor, H.V. The application of MIMO to non-orthogonal multiple access. IEEE Trans. Wirel. Commun. 2015, 15, 537–552. [Google Scholar] [CrossRef]
- Wei, Z.; Ng, D.W.K.; Yuan, J. Joint pilot and payload power control for uplink MIMO-NOMA with MRC-SIC receivers. IEEE Commun. Lett. 2018, 22, 692–695. [Google Scholar] [CrossRef]
- Beiranvand, J.; Meghdadi, H. Analytical performance evaluation of MRC receivers in massive MIMO systems. IEEE Access 2018, 6, 53226–53234. [Google Scholar] [CrossRef]
- Pitarokoilis, A.; Mohammed, S.K.; Larsson, E.G. Uplink performance of time-reversal MRC in massive MIMO systems subject to phase noise. IEEE Trans. Wirel. Commun. 2014, 14, 711–723. [Google Scholar] [CrossRef]
- Mukherjee, S.; Mohammed, S.K. Impact of frequency selectivity on the information rate performance of CFO impaired single-carrier massive MU-MIMO uplink. IEEE Wirel. Commun. Lett. 2016, 5, 648–651. [Google Scholar] [CrossRef]
- Borges, D.; Montezuma, P.; Ferreira, A.; Dinis, R. Two low complexity MRC and EGC based receivers for SC-FDE modulations with massive MIMO schemes. J. Signal Process. Syst. 2018, 90, 1357–1367. [Google Scholar] [CrossRef]
- Wang, X.; Wang, Y.; Zhang, Y.; Meng, S. Approximate analysis on uplink sum rate with MRC receivers in massive MIMO systems. In Proceedings of the IEEE 19th International Symposium on Wireless Personal Multimedia Communications (WPMC), Shenzhen, China, 14–16 November 2016; pp. 119–123. [Google Scholar]
- Wang, Q.; Jing, Y. Performance analysis and scaling law of MRC/MRT relaying with CSI error in multi-pair massive MIMO systems. IEEE Trans. Wirel. Commun. 2017, 16, 5882–5896. [Google Scholar] [CrossRef]
- Khansefid, A.; Minn, H. Achievable downlink rates of MRC and ZF precoders in massive MIMO with uplink and downlink pilot contamination. IEEE Trans. Commun. 2015, 63, 4849–4864. [Google Scholar] [CrossRef]
- Mukherjee, S.; Mohammed, S.K. Information-theoretic Performance of TR-MRC Receiver in Frequency-Selective Massive MU-MIMO Systems impaired by CFO. IEEE Wirel. Commun. Lett. 2016, 5, 648–651. [Google Scholar] [CrossRef]
- Tanbourgi, R.; Dhillon, H.S.; Jondral, F.K. Analysis of joint transmit–receive diversity in downlink MIMO heterogeneous cellular networks. IEEE Trans. Wirel. Commun. 2015, 14, 6695–6709. [Google Scholar] [CrossRef]
- Jia, X.; Zhou, M.; Yang, L.; Zhu, H. Stochastic geometry based asymptotic analysis for two-tier HetNets with massive MIMO relay employing MRC/MRT and ZF processing. Trans. Emerg. Telecommun. Technol. 2017, 28, e3098. [Google Scholar] [CrossRef]
- Van Luong, T.; Ko, Y. The BER analysis of MRC-aided greedy detection for OFDM-IM in presence of uncertain CSI. IEEE Wirel. Commun. Lett. 2018, 7, 566–569. [Google Scholar] [CrossRef]
- Hashemi, H.; Haghighat, J.; Eslami, M.; Hamouda, W.A. Analysis of equal gain combining over fluctuating two-ray channels with applications to millimeter-wave communications. IEEE Trans. Veh. Technol. 2019, 69, 1751–1765. [Google Scholar] [CrossRef]
- Kong, N.; Milstein, L.B. Average SNR of a generalized diversity selection combining scheme. IEEE Commun. Lett. 1999, 3, 57–59. [Google Scholar] [CrossRef]
- Win, M.Z.; Winters, J.H. Analysis of hybrid selection/maximal-ratio combining in Rayleigh fading. In Proceedings of the 1999 IEEE International Conference on Communications (Cat. No. 99CH36311), Vancouver, BC, Canada, 6–10 June 1999; Volume 1, pp. 6–10. [Google Scholar]
- Zhang, X.; Beaulieu, N.C. Error rate of quadrature subbranch hybrid selection/maximal-ratio combining in Rayleigh fading. IEEE Trans. Commun. 2007, 55, 247–250. [Google Scholar] [CrossRef]
- Sagias, N.C.; Peppas, K. Error rate analysis of threshold-based hybrid selection/maximal-ratio diversity over correlated Nakagami-m fading channels. IEEE Commun. Lett. 2007, 11, 922–924. [Google Scholar] [CrossRef]
- Price, R.; Green, P.E. A communication technique for multipath channels. Proc. IRE 1958, 46, 555–570. [Google Scholar] [CrossRef]
- Zheng, L.; Tse, D.N.C. Diversity and multiplexing: A fundamental tradeoff in multiple-antenna channels. IEEE Trans. Inf. Theory 2003, 49, 1073–1096. [Google Scholar] [CrossRef]
- Choi, W.; Andrews, J.G. Improved performance analysis for maximal ratio combining in asynchronous CDMA channels. IEEE Trans. Wirel. Commun. 2007, 6, 3297–3305. [Google Scholar] [CrossRef]
- Wu, Z.; Weigandt, D.; Nassar, C.R. Combining techniques for DS-CDMA RAKE receiver. In Proceedings of the IEEE International Conference on Communications, Austin, TX, USA, 27 October 2003; Volume 3, pp. 2164–2169. [Google Scholar]
- Tang, S.; Gong, K.; Song, J.; Pan, C.; Yang, Z. Intercarrier interference cancellation with frequency diversity for OFDM systems. IEEE Trans. Broadcast. 2007, 53, 132–137. [Google Scholar] [CrossRef]
- Shah, A.; Haimovich, A.M. Performance analysis of optimum combining in wireless communications with Rayleigh fading and cochannel interference. IEEE Trans. Commun. 1998, 46, 473–479. [Google Scholar] [CrossRef]
- Catipovic, J.; Johnson, M.; Adams, D. Noise cancelling performance of an adaptive receiver for underwater communications. In Proceedings of the IEEE Symposium on Autonomous Underwater Vehicle Technology (AUV’94), Cambridge, MA, USA, 19–20 July 1994; pp. 171–178. [Google Scholar]
- Chitre, M.A.; Potter, J.R.; Ong, S.H. Optimal and near-optimal signal detection in snapping shrimp dominated ambient noise. IEEE J. Ocean. Eng. 2006, 31, 497–503. [Google Scholar] [CrossRef]
- Middleton, D. Statistical-physical models of electromagnetic interference. IEEE Trans. Electromagn. Compat. 1977, EMC-19, 106–127. [Google Scholar] [CrossRef]
- Win, M.Z.; Pinto, P.C.; Shepp, L.A. A mathematical theory of network interference and its applications. Proc. IEEE 2009, 97, 205–230. [Google Scholar] [CrossRef]
- Nakagami, M. The m-distribution—A general formula of intensity distribution of rapid fading. In Statistical Methods in Radio Wave Propagation; Elsevier: Amsterdam, The Netherlands, 1960; pp. 3–36. [Google Scholar]
- Youssef, N.; Wang, C.X.; Patzold, M. A study on the second order statistics of Nakagami-Hoyt mobile fading channels. IEEE Trans. Veh. Technol. 2005, 54, 1259–1265. [Google Scholar] [CrossRef]
- Yacoub, M.D. The α-μ Distribution: A Physical Fading Model for the Stacy Distribution. IEEE Trans. Veh. Technol. 2007, 56, 27–34. [Google Scholar] [CrossRef]
- Fraidenraich, G.; Yacoub, M.D. The α-η-μ and α-κ-μ fading distributions. In Proceedings of the IEEE 9th International Symposium on Spread Spectrum Techniques and Applications, Manaus, Brazil, 28–31 August 2006; pp. 16–20. [Google Scholar]
- Linnartz, J.P. Narrowband Land-Mobile Radio Networks; Artech House, Inc.: Norwood, MA, USA, 1993. [Google Scholar]
- Singh, R.; Soni, S.K.; Raw, R.S.; Kumar, S. A new approximate closed-form distribution and performance analysis of a composite Weibull/log-normal fading channel. Wirel. Pers. Commun. 2017, 92, 883–900. [Google Scholar] [CrossRef]
- Kumar, S.; Soni, S.K.; Jain, P. Performance analysis of Hoyt-lognormal composite fading channel. In Proceedings of the 2017 International Conference on Wireless Communications, Signal Processing and Networking (WiSPNET), Chennai, India, 22–24 March 2017; pp. 2503–2507. [Google Scholar]
- Bhatt, M.; Soni, S.K. ASEP Analysis Over Unified Lognormal Shadowed α–η–μ and α–κ–μ Composite Fading Channels. In Proceedings of the 2nd International Conference on Intelligent Computing and Control Systems (ICICCS), Madurai, India, 14–15 June 2018; pp. 1126–1129. [Google Scholar]
- Bithas, P.S.; Sagias, N.C.; Mathiopoulos, P.T. The bivariate generalized-K (K G) distribution and its application to diversity receivers. IEEE Trans. Commun. 2009, 57, 2655–2662. [Google Scholar] [CrossRef]
- Al-Hmood, H.; Al-Raweshidy, H.S. Unified Modeling of Composite κ-μ/Gamma, η-μ/Gamma, and α-μ/Gamma Fading Channels Using a Mixture Gamma Distribution with Applications to Energy Detection. IEEE Antennas Wirel. Propag. Lett. 2016, 16, 104–108. [Google Scholar] [CrossRef]
- Rangaswamy, M. Spherically invariant random processes for modeling non-Gaussian radar clutter. In Proceedings of the IEEE 27th Asilomar Conference on Signals, Systems and Computers, Pacific Grove, CA, USA, 1–3 November 1993; pp. 1106–1110. [Google Scholar]
- Raghavan, R. A model for spatially correlated radar clutter. IEEE Trans. Aerosp. Electron. Syst. 1991, 27, 268–275. [Google Scholar] [CrossRef]
- Bithas, P.S.; Sagias, N.C.; Mathiopoulos, P.T.; Karagiannidis, G.K.; Rontogiannis, A.A. On the performance analysis of digital communications over generalized-K fading channels. IEEE Commun. Lett. 2006, 10, 353–355. [Google Scholar] [CrossRef]
- Yang, W.B.; Yang, T. M-ary frequency shift keying communications over an underwater acoustic channel: Performance comparison of data with models. J. Acoust. Soc. Am. 2006, 120, 2694–2701. [Google Scholar] [CrossRef]
- Abdi, A.; Kaveh, M. K distribution: An appropriate substitute for Rayleigh-lognormal distribution in fading-shadowing wireless channels. Electron. Lett. 1998, 34, 851–852. [Google Scholar] [CrossRef]
- Abdi, A.; Lau, W.C.; Alouini, M.S.; Kaveh, M. A new simple model for land mobile satellite channels: First-and second-order statistics. IEEE Trans. Wirel. Commun. 2003, 2, 519–528. [Google Scholar] [CrossRef]
- Shankar, P.M. Error rates in generalized shadowed fading channels. Wirel. Pers. Commun. 2004, 28, 233–238. [Google Scholar] [CrossRef]
- Khalighi, M.A.; Uysal, M. Survey on free space optical communication: A communication theory perspective. IEEE Commun. Surv. Tutorials 2014, 16, 2231–2258. [Google Scholar] [CrossRef]
- Chatzidiamantis, N.D.; Karagiannidis, G.K. On the distribution of the sum of gamma-gamma variates and applications in RF and optical wireless communications. IEEE Trans. Commun. 2011, 59, 1298–1308. [Google Scholar] [CrossRef]
- Sagias, N.C.; Karagiannidis, G.K.; Mathiopoulos, P.T.; Tsiftsis, T.A. On the performance analysis of equal-gain diversity receivers over generalized Gamma fading channels. IEEE Trans. Wirel. Commun. 2006, 5, 2967–2975. [Google Scholar] [CrossRef][Green Version]
- Piboongungon, T.; Aalo, V.; Iskander, C.; Efthymoglou, G. Bivariate generalised gamma distribution with arbitrary fading parameters. Electron. Lett. 2005, 41, 709–710. [Google Scholar] [CrossRef]
- Paris, J.F. Statistical Characterization of κ-μ Shadowed Fading. IEEE Trans. Veh. Technol. 2013, 63, 518–526. [Google Scholar] [CrossRef]
- Moreno-Pozas, L.; Lopez-Martinez, F.J.; Paris, J.F.; Martos-Naya, E. The κ-μ Shadowed Fading Model: Unifying the κ-μ and η-μ Distributions. IEEE Trans. Veh. Technol. 2016, 65, 9630–9641. [Google Scholar] [CrossRef]
- García, F.D.A.; Parente, F.R.A.; Garzón, N.O.; Mora, H.R.C.; Santos Filho, J.C.S. New Findings on the Sum of Squared Fluctuating Two-Ray Random Variables and Applications. IEEE Trans. Veh. Technol. 2023, 73, 7357–7362. [Google Scholar] [CrossRef]
- Romero-Jerez, J.M.; Lopez-Martinez, F.J.; Paris, J.F.; Goldsmith, A.J. The fluctuating two-ray fading model: Statistical characterization and performance analysis. IEEE Trans. Wirel. Commun. 2017, 16, 4420–4432. [Google Scholar] [CrossRef]
- Zhang, J.; Zeng, W.; Li, X.; Sun, Q.; Peppas, K.P. New results on the fluctuating two-ray model with arbitrary fading parameters and its applications. IEEE Trans. Veh. Technol. 2017, 67, 2766–2770. [Google Scholar] [CrossRef]
- Zheng, J.; Zhang, J.; Pan, G.; Cheng, J.; Ai, B. Sum of squared fluctuating two-ray random variables with wireless applications. IEEE Trans. Veh. Technol. 2019, 68, 8173–8177. [Google Scholar] [CrossRef]
- Olyaee, M.; Hashemi, H.; Romero-Jerez, J.M. A Tractable Statistical Representation of IFTR Fading with Applications. IEEE Trans. Commun. 2024. [Google Scholar] [CrossRef]
- Alouini, M.S.; Simon, M.K. Multichannel reception of digital signals over correlated Nakagami fading channels. In Proceedings of the Annual Allerton Conference on Communication Control and Computing, Monticello, IL, USA, 23–26 September 1998; Volume 36, pp. 146–155. [Google Scholar]
- Pierce, J.N.; Stein, S. Multiple diversity with nonindependent fading. Proc. IRE 1960, 48, 89–104. [Google Scholar] [CrossRef]
- Al-Juboori, S.; Fernando, X.N. Multiantenna spectrum sensing over correlated Nakagami-m channels with MRC and EGC diversity receptions. IEEE Trans. Veh. Technol. 2017, 67, 2155–2164. [Google Scholar] [CrossRef]
- Loyka, S.L. Channel capacity of MIMO architecture using the exponential correlation matrix. IEEE Commun. Lett. 2001, 5, 369–371. [Google Scholar] [CrossRef]
- Kim, S.; Lee, J.; Wang, H.; Hong, D. Sensing performance of energy detector with correlated multiple antennas. IEEE Signal Process. Lett. 2009, 16, 671–674. [Google Scholar]
- Al-Juboori, S.; Fernando, X. Unified approach for performance analysis of cognitive radio spectrum sensing over correlated multipath fading channels. In Proceedings of the IEEE 16th International Symposium on a World of Wireless, Mobile and Multimedia Networks (WoWMoM), Boston, MA, USA, 14–17 June 2015; pp. 1–6. [Google Scholar]
- Wu, Y.; Louie, R.H.; McKay, M.R. Asymptotic outage probability of MIMO-MRC systems in double-correlated Rician environments. IEEE Trans. Wirel. Commun. 2015, 15, 367–376. [Google Scholar] [CrossRef]
- Han, J.K.; Yook, J.G.; Park, H.K. A deterministic channel simulation model for spatially correlated Rayleigh fading. IEEE Commun. Lett. 2002, 6, 58–60. [Google Scholar]
- Sorooshyari, S.; Daut, D.G. Generation of correlated Rayleigh fading envelopes for accurate performance analysis of diversity systems. In Proceedings of the 14th IEEE Proceedings on Personal, Indoor and Mobile Radio Communications, PIMRC 2003, Beijing, China, 7–10 September 2003; Volume 2, pp. 1800–1804. [Google Scholar]
- Zhang, Q. A decomposition technique for efficient generation of correlated Nakagami fading channels. IEEE J. Sel. Areas Commun. 2000, 18, 2385–2392. [Google Scholar] [CrossRef]
- Yip, K.W.; Ng, T.S. A simulation model for Nakagami-m fading channels, m < 1. IEEE Trans. Commun. 2000, 48, 214–221. [Google Scholar]
- Baddour, K.E.; Beaulieu, N.C. Accurate simulation of multiple cross-correlated Rician fading channels. IEEE Trans. Commun. 2004, 52, 1980–1987. [Google Scholar] [CrossRef]
- Baddour, K.E.; Beaulieu, N.C. Autoregressive modeling for fading channel simulation. IEEE Trans. Wirel. Commun. 2005, 4, 1650–1662. [Google Scholar] [CrossRef]
- Rad, H.S.; Gazor, S. A cross-correlation MIMO channel model for non-isotropic scattering environment and non-omnidirectional antennas. In Proceedings of the Canadian Conference on Electrical and Computer Engineering, Saskatoon, SK, Canada, 1–4 May 2005; pp. 25–28. [Google Scholar]
- Chung, W.H.; Hudson, R.E.; Yao, K. A unified approach for generating cross-correlated and auto-correlated MIMO fading envelope processes. IEEE Trans. Commun. 2009, 57, 3481–3488. [Google Scholar] [CrossRef]
- Martin, C.; Ottersten, B. Asymptotic eigenvalue distributions and capacity for MIMO channels under correlated fading. IEEE Trans. Wirel. Commun. 2004, 3, 1350–1359. [Google Scholar] [CrossRef]
- Kermoal, J.P.; Schumacher, L.; Pedersen, K.I.; Mogensen, P.E.; Frederiksen, F. A stochastic MIMO radio channel model with experimental validation. IEEE J. Sel. Areas Commun. 2002, 20, 1211–1226. [Google Scholar] [CrossRef]
- Sayeed, A.M. Deconstructing multiantenna fading channels. IEEE Trans. Signal Process. 2002, 50, 2563–2579. [Google Scholar] [CrossRef]
- Weichselberger, W.; Herdin, M.; Ozcelik, H.; Bonek, E. A stochastic MIMO channel model with joint correlation of both link ends. IEEE Trans. Wirel. Commun. 2006, 5, 90–100. [Google Scholar] [CrossRef]
- Ren, F.; Zheng, Y.R. A novel emulator for discrete-time MIMO triply selective fading channels. IEEE Trans. Circuits Syst. I Regul. Pap. 2010, 57, 2542–2551. [Google Scholar] [CrossRef]
- Eslami, H.; Tran, S.V.; Eltawil, A.M. Design and implementation of a scalable channel Emulator for wideband MIMO systems. IEEE Trans. Veh. Technol. 2009, 58, 4698–4709. [Google Scholar] [CrossRef]
- Alimohammad, A.; Fard, S.F. A compact architecture for simulation of spatio-temporally correlated MIMO fading channels. IEEE Trans. Circuits Syst. I Regul. Pap. 2013, 61, 1280–1288. [Google Scholar] [CrossRef]
- Middleton, D. Non-Gaussian noise models in signal processing for telecommunications: New methods an results for class A and class B noise models. IEEE Trans. Inform. Theory 1999, 45, 1129–1149. [Google Scholar] [CrossRef]
- Banerjee, S.; Agrawal, M. Underwater acoustic noise with generalized Gaussian statistics: Effects on error performance. In Proceedings of the 2013 MTS/IEEE OCEANS-Bergen, Bergen, Norway, 10–14 June 2013; pp. 1–8. [Google Scholar]
- Stein, D.W. Detection of random signals in Gaussian mixture noise. IEEE Trans. Inform. Theory 1995, 41, 1788–1801. [Google Scholar] [CrossRef]
- El Ghannudi, H.; Clavier, L.; Azzaoui, N.; Septier, F.; Rolland, P.A. α-stable interference modeling and Cauchy receiver for an IR-UWB ad hoc network. IEEE Trans. Commun. 2010, 58, 1748–1757. [Google Scholar] [CrossRef]
- Nassar, M.; Gulati, K.; DeYoung, M.R.; Evans, B.L.; Tinsley, K.R. Mitigating near-field interference in laptop embedded wireless transceivers. J. Signal Process. Syst. 2011, 63, 1–12. [Google Scholar] [CrossRef][Green Version]
- Chitre, M.; Potter, J.; Heng, O.S. Underwater acoustic channel characterisation for medium-range shallow water communications. In Proceedings of the Oceans’ 04 MTS/IEEE Techno-Ocean’04 (IEEE Cat. No. 04CH37600), Kobe, Japan, 9–12 November 2004; Volume 1, pp. 40–45. [Google Scholar]
- Aazhang, B.; Poor, H. Performance of DS/SSMA communications in impulsive channels-Part I: Linear correlation receivers. IEEE Trans. Commun. 1987, 35, 1179–1188. [Google Scholar] [CrossRef]
- Kolodziejski, K.R.; Betz, J.W. Detection of weak random signals in IID non-Gaussian noise. IEEE Trans. Commun. 2000, 48, 222–230. [Google Scholar] [CrossRef]
- Proakis, J.G. Digital Communications; McGraw-Hill Book Company: New York, NY, USA, 1989. [Google Scholar]
- Annamalai, A.; Tellambura, C. Error rates for Nakagami-m fading multichannel reception of binary and M-ary signals. IEEE Trans. Commun. 2001, 49, 58–68. [Google Scholar] [CrossRef]
- Maseng, T. Digital communication over fading channels: A unified approach to performance analysis. IEEE Commun. Mag. 2001, 39, 36. [Google Scholar] [CrossRef]
- Romero-Jerez, J.M.; Goldsmith, A.J. Receive antenna array strategies in fading and interference: An outage probability comparison. IEEE Trans. Wirel. Commun. 2008, 7, 920–932. [Google Scholar] [CrossRef]
- Shah, A.; Haimovich, A.M. Performance analysis of maximal ratio combining and comparison with optimum combining for mobile radio communications with cochannel interference. IEEE Trans. Veh. Technol. 2000, 49, 1454–1463. [Google Scholar] [CrossRef]
- Zhang, X.; Beaulieu, N.C. Outage probability of MRC with unequal-power cochannel interferers in correlated Rayleigh fading. IEEE Commun. Lett. 2006, 10, 7–9. [Google Scholar] [CrossRef]
- Chayawan, C.; Aalo, V.A. On the outage probability of optimum combining and maximal ratio combining schemes in an interference-limited Rice fading channel. IEEE Trans. Commun. 2002, 50, 532–535. [Google Scholar] [CrossRef]
- Wang, G.; Yue, D.; Feng, B. Outage probability analysis of MRC with unequal power Nakagami-m co-channel interference and AWGN. In Proceedings of the 1st IEEE International Conference on Communications and Networking in China, Beijing, China, 25–27 October 2006; pp. 1–4. [Google Scholar]
- Romero-Jerez, J.M.; Pena-Martin, J.P.; Goldsmith, A.J. Outage probability of MRC with arbitrary power cochannel interferers in Nakagami fading. IEEE Trans. Commun. 2007, 55, 1283–1286. [Google Scholar] [CrossRef]
- Aalo, V.A.; Zhang, J. Performance analysis of maximal ratio combining in the presence of multiple equal-power cochannel interferers in a Nakagami fading channel. IEEE Trans. Veh. Technol. 2001, 50, 497–503. [Google Scholar] [CrossRef]
- Srinivasan, M.; Kalyani, S. Analysis of optimal combining in Rician fading with co-channel interference. IEEE Trans. Veh. Technol. 2019, 68, 3613–3628. [Google Scholar] [CrossRef]
- Abu-Dayya, A.A.; Beaulieu, N.C. Outage probabilities of cellular mobile radio systems with multiple Nakagami interferers. IEEE Trans. Veh. Technol. 1991, 40, 757–768. [Google Scholar] [CrossRef]
- Aalo, V.A.; Zhang, J. On the effect of cochannel interference on average error rates in Nakagami-fading channels. IEEE Commun. Lett. 1999, 3, 136–138. [Google Scholar] [CrossRef]
- Morales-Jiménez, D.; Paris, J.F.; Lozano, A. Outage probability analysis for MRC in η-μ fading channels with co-channel interference. IEEE Commun. Lett. 2012, 16, 674–677. [Google Scholar] [CrossRef]
- Cui, X.; Zhang, Q.; Feng, Z. Outage probability for maximal ratio combining of arbitrarily correlated faded signals corrupted by multiple Rayleigh interferers. IEEE Trans. Veh. Technol. 2006, 55, 383–386. [Google Scholar] [CrossRef]
- Reig, J.; Cardona, N.; Rubio, L. Performance of radio cellular systems using maximal ratio combining in a correlated Nakagami fading with multiple interferers. In Proceedings of the 1999 IEEE 49th Vehicular Technology Conference (Cat. No. 99CH36363), Houston, TX, USA, 16–20 May 1999; Volume 3, pp. 2358–2362. [Google Scholar]
- Al-Hussaini, E.; Al-Bassiouni, A. Performance of MRC diversity systems for the detection of signals with Nakagami fading. IEEE Trans. Commun. 1985, 33, 1315–1319. [Google Scholar] [CrossRef]
- Tepedelenlioglu, C.; Gao, P. On diversity reception over fading channels with impulsive noise. IEEE Trans. Veh. Technol. 2005, 54, 2037–2047. [Google Scholar] [CrossRef]
- Nasri, A.; Schober, R.; Ma, Y. Unified asymptotic analysis of linearly modulated signals in fading, non-Gaussian noise, and interference. IEEE Trans. Commun. 2008, 56, 980–990. [Google Scholar] [CrossRef]
- Nezampour, A.; Nasri, A.; Schober, R.; Ma, Y. Asymptotic BEP and SEP of quadratic diversity combining receivers in correlated ricean fading, non-gaussian noise, and interference. IEEE Trans. Commun. 2009, 57, 1039–1049. [Google Scholar] [CrossRef][Green Version]
- Alhussein, O.; Ahmed, I.; Liang, J.; Muhaidat, S. Unified analysis of diversity reception in the presence of impulsive noise. IEEE Trans. Veh. Technol. 2016, 66, 1408–1417. [Google Scholar] [CrossRef]
- Brown, C.L.; Zoubir, A.M. A nonparametric approach to signal detection in impulsive interference. IEEE Trans. Signal Process. 2000, 48, 2665–2669. [Google Scholar] [CrossRef]
- Rajan, A.; Tepedelenlioğlu, C. Diversity combining over Rayleigh fading channels with symmetric alpha-stable noise. IEEE Trans. Wirel. Commun. 2010, 9, 2968–2976. [Google Scholar] [CrossRef]
- Tsihrintzis, G.A. Diversity reception in alpha-stable impulsive interference. In Proceedings of the MILCOM’96 IEEE Military Communications Conference, McLean, VA, USA, 24 October 1996; Volume 3, pp. 828–832. [Google Scholar]
- Niranjayan, S.; Beaulieu, N.C. The BER optimal linear rake receiver for signal detection in symmetric alpha-stable noise. IEEE Trans. Commun. 2009, 57, 3585–3588. [Google Scholar] [CrossRef]
- Mei, Z.; Johnston, M.; Le Goff, S.; Chen, L. Performance analysis of LDPC-coded diversity combining on rayleigh fading channels with impulsive noise. IEEE Trans. Commun. 2017, 65, 2345–2356. [Google Scholar] [CrossRef]
- Yeoh, P.L.; Elkashlan, M.; Collings, I.B. Exact and asymptotic SER of distributed TAS/MRC in MIMO relay networks. IEEE Trans. Wirel. Commun. 2011, 10, 751–756. [Google Scholar] [CrossRef]
- El-Moutaouakkil, Z.; Tourki, K.; Saoudi, S.; Yanikomeroglu, H. Optimal TAS for cross-interference mitigation in cognitive MIMO MRC systems. In Proceedings of the 2019 15th International Wireless Communications & Mobile Computing Conference (IWCMC), Tangier, Morocco, 24–28 June 2019; pp. 2058–2063. [Google Scholar]
- Thoen, S.; Van der Perre, L.; Gyselinckx, B.; Engels, M. Performance analysis of combined transmit-SC/receive-MRC. IEEE Trans. Commun. 2001, 49, 5–8. [Google Scholar] [CrossRef]
- Bereyhi, A.; Asaad, S.; Muller, R.R.; Schaefer, R.F.; Rabiei, A.M. On robustness of massive MIMO systems against passive eavesdropping under antenna selection. In Proceedings of the 2018 IEEE Global Communications Conference (GLOBECOM), Abu Dhabi, United Arab Emirates, 9–13 December 2018; pp. 1–7. [Google Scholar]
- AbdelNabi, A.A.; Al-Qahtani, F.S.; Radaydeh, R.M.; Shaqfeh, M. Hybrid access femtocells in overlaid mimo cellular networks with transmit selection under Poisson field interference. IEEE Trans. Commun. 2017, 66, 163–179. [Google Scholar] [CrossRef]
- Chen, Y.; Tellambura, C. Performance analysis of maximum ratio transmission with imperfect channel estimation. IEEE Commun. Lett. 2005, 9, 322–324. [Google Scholar] [CrossRef]
- Tanairat, M.; Boonsrimuang, P. Pilot-Assisted Channel Estimation for SFBC MIMO-OFDM with Index Modulation in Higher Time-Varying Fading Channel. In Proceedings of the 2024 12th IEEE International Electrical Engineering Congress (iEECON), Pattaya, Thailand, 6–8 March 2024; pp. 1–4. [Google Scholar]
- Arai, K.; Ishibashi, K.; Iimori, H.; Klaine, V.; Malomsoky, S. Joint Channel and Data Estimation for Multiuser Extremely Large-Scale MIMO Systems. arXiv 2024, arXiv:2406.19289. [Google Scholar]
- Li, M.; Lin, M.; Zhu, W.P.; Huang, Y.; Nallanathan, A.; Yu, Q. Performance analysis of MIMO MRC systems with feedback delay and channel estimation error. IEEE Trans. Veh. Technol. 2015, 65, 707–717. [Google Scholar] [CrossRef]
- Zhao, R.; Lin, H.; He, Y.C.; Chen, D.H.; Huang, Y.; Yang, L. Secrecy performance of transmit antenna selection for MIMO relay systems with outdated CSI. IEEE Trans. Commun. 2017, 66, 546–559. [Google Scholar] [CrossRef]
- Guo, Y.; Chen, W.; Xu, J.; Li, L.; Ai, B. Deep Joint CSI Feedback and Multiuser Precoding for MIMO OFDM Systems. arXiv 2024, arXiv:2404.16289. [Google Scholar]
- Kang, M.; Alouini, M.S. Largest eigenvalue of complex Wishart matrices and performance analysis of MIMO MRC systems. IEEE J. Sel. Areas Commun. 2003, 21, 418–426. [Google Scholar] [CrossRef]
- Ahmed, I.; Allen, E.J. Deep learning based diversity combining for generic noise and interference. In Proceedings of the IEEE 91st Vehicular Technology Conference (VTC2020-Spring), Antwerp, Belgium, 25–28 May 2020; pp. 1–4. [Google Scholar]
- Tao, J.; Chen, J.; Xing, J.; Fu, S.; Xie, J. Autoencoder neural network based intelligent hybrid beamforming design for mmWave massive MIMO systems. IEEE Trans. Cogn. Commun. Netw. 2020, 6, 1019–1030. [Google Scholar] [CrossRef]
- Liu, F.; Li, X.; Yang, X.; Shi, H.; Shi, B.; Du, R. Deep Learning Based Joint Hybrid Precoding and Combining Design for mmWave MIMO Systems. IEEE Syst. J. 2024, 18, 560–567. [Google Scholar] [CrossRef]
- Ye, M.; Pan, C.; Xu, Y.; Li, C. Generative Adversarial Networks Based Channel Estimation for Intelligent Reflecting Surface Assisted mmWave MIMO Systems. IEEE Trans. Cogn. Commun. Netw. 2024. [Google Scholar] [CrossRef]
- Xia, J.; He, K.; Xu, W.; Zhang, S.; Fan, L.; Karagiannidis, G.K. A MIMO detector with deep learning in the presence of correlated interference. IEEE Trans. Veh. Technol. 2020, 69, 4492–4497. [Google Scholar] [CrossRef]
- Carvajal, H.; Orozco, N.; de Almeida, C. On the performance of maximal ratio combining and maximum likelihood detection in M-QAM/MC-CDMA systems. In Proceedings of the 2014 IEEE International Telecommunications Symposium (ITS), Sao Paulo, Brazil, 17–20 August 2014; pp. 1–5. [Google Scholar]
- Georgiou, O.; Raza, U. Low power wide area network analysis: Can LoRa scale? IEEE Wirel. Commun. Lett. 2017, 6, 162–165. [Google Scholar] [CrossRef]
- Ma, H.; Fang, Y.; Chen, P.; Mumtaz, S.; Li, Y. A novel differential chaos shift keying scheme with multidimensional index modulation. IEEE Trans. Wirel. Commun. 2022, 22, 237–256. [Google Scholar] [CrossRef]
- Du, H.; Zhang, J.; Guan, K.; Niyato, D.; Jiao, H.; Wang, Z.; Kürner, T. Performance and optimization of reconfigurable intelligent surface aided THz communications. IEEE Trans. Commun. 2022, 70, 3575–3593. [Google Scholar] [CrossRef]









| Channel Fading | PDF of Amplitude r, Instantaneous SNR and Average SNR |
|---|---|
| Rayleigh | |
| Rice | |
| , | |
| K-fading | |
| , | |
| Nakagami-m | , |
| , | |
| , , | |
| , | |
| , | |
| , | |
| , | |
| , | |
| Channel Fading | BER |
|---|---|
| Rayleigh | |
| Rice | |
| K-fading | |
| Nakagami-m | |
| Channel Fading | Outage Probability |
|---|---|
| Rayleigh | |
| Rice | |
| K-fading | |
| Nakagami-m | |
Disclaimer/Publisher’s Note: The statements, opinions and data contained in all publications are solely those of the individual author(s) and contributor(s) and not of MDPI and/or the editor(s). MDPI and/or the editor(s) disclaim responsibility for any injury to people or property resulting from any ideas, methods, instructions or products referred to in the content. |
© 2024 by the authors. Licensee MDPI, Basel, Switzerland. This article is an open access article distributed under the terms and conditions of the Creative Commons Attribution (CC BY) license (https://creativecommons.org/licenses/by/4.0/).
Share and Cite
Feng, X.; Tian, F.; Wang, J.; Zhou, M.; Li, D.; Sun, H.; Song, R. A Survey on Maximum Ratio Combination: Applications, Evaluation and Future Directions. Electronics 2024, 13, 3087. https://doi.org/10.3390/electronics13153087
Feng X, Tian F, Wang J, Zhou M, Li D, Sun H, Song R. A Survey on Maximum Ratio Combination: Applications, Evaluation and Future Directions. Electronics. 2024; 13(15):3087. https://doi.org/10.3390/electronics13153087
Chicago/Turabian StyleFeng, Xiao, Feng Tian, Junfeng Wang, Mingzhang Zhou, Dingzhao Li, Haixin Sun, and Ruiping Song. 2024. "A Survey on Maximum Ratio Combination: Applications, Evaluation and Future Directions" Electronics 13, no. 15: 3087. https://doi.org/10.3390/electronics13153087
APA StyleFeng, X., Tian, F., Wang, J., Zhou, M., Li, D., Sun, H., & Song, R. (2024). A Survey on Maximum Ratio Combination: Applications, Evaluation and Future Directions. Electronics, 13(15), 3087. https://doi.org/10.3390/electronics13153087

