Job Recommendations: Benchmarking of Collaborative Filtering Methods for Classifieds
Abstract
1. Introduction
- We comprehensively evaluate diverse, scalable, and collaborative filtering approaches in a laboratory setting regarding accuracy, diversity, and efficiency. We evaluate the accuracy for different groups of users, depending on the number of items they interacted with, together with statistical analysis of differences. The proposed evaluation methodology addresses the major challenges of classifieds.
- We present the results of two online A/B tests demonstrating the impact of the ALS and RP3Beta models on OLX users. More than 1 million users participated in each test. The reported impact may be used to estimate the importance of recommender systems in the classifieds domain and enable other companies to make more informed decisions about developing such models.
- We publish and present a job interactions dataset. To our knowledge, this is the largest publicly available dataset on job interactions.
2. Related Work
2.1. Classified ad Sites
- The requirements in an ad indicate the type of user who may respond to the ad—not all users possess the required competencies.
- More intensive involvement of the user during the search process, as finding a job is a primary need compared to, for example, buying a car.
- The job location dramatically impacts the user—to buy a mobile phone or a car, a user may travel or use a parcel service to deliver the item. Still, a job requires relocation if it is distant from the user’s home.
- From a technical perspective, a job description has many qualitative aspects, and depending on the position, the differences may be significant even between ads from the same company.
- The number of users and offers: with OLX Jobs, we dealt with millions of users and tens of thousands of offers, both constantly changing.
- A user does not have to create a profile to interact with ads, meaning that information from a profile cannot be used for recommendation, and recommendations are determined by user behavior during viewing.
- An ad usually has a limited number of visitors (interacting with the ad), as an ad usually concerns a unique offer. After the need is addressed, the ad is disabled.
- There is no information on whether a transaction occurred; on classifieds, conversion relates to receiving an answer to a published ad, as any transaction is offline.
2.2. Recommendation Systems
2.3. Recommendation Methods
- Popularity in the literature. We selected methods whose performances were thoroughly evaluated. All but one of the selected methods have been cited at least hundreds of times.
- Popularity in industry. Evaluating this aspect was challenging because companies rarely share the results of conducted experiments. Some popularity indicators include implementation availability and the number of people who use it (e.g., reflected in the number of stars and forks on GitHub). We also considered the experience of data scientists working within our company, who deployed most of the selected methods for some other use cases in the past.
- Scalability. We only considered solutions capable of handling millions of users and items. Additionally, we reduced the cold-start problem by frequently retraining the model. Hence, we had to choose techniques to be trained on our dataset within a few hours.
- Diversity of approaches. We wanted to test methods representing different “families” to assess their applicability to classifieds. We planned to identify the most promising family of approaches to continue research in this direction.
2.3.1. Matrix Factorization Models
2.3.2. Neighborhood-Based Models
2.3.3. Graph-Based Approaches
2.3.4. Prod2Vec
2.4. Research Gap
3. OLX Job Interactions Dataset
- click: the user visited the item detail page;
- bookmark: the user added the item to bookmarks;
- chat_click: the user opened the chat to contact the item’s owner;
- contact_phone_click_1: the user revealed the phone number attached to the item;
- contact_phone_click_2: the user clicked to make a phone call to the item’s owner;
- contact_phone_click_3: the user clicked to send an SMS message to the item’s owner;
- contact_partner_click: the user clicked to access the item’s owner’s external page;
- contact_chat: the user sent the item’s owner a message.
- Original user and item identifiers were replaced with unique random integers;
- Some undisclosed constant integer was added to each timestamp;
- Some fractions of interactions were filtered out;
- Some additional artificial interactions were added.
4. Experimental Setup
4.1. Implementation
4.2. Laboratory Research and Online Testing Goals
4.3. Data Split
4.4. Model Tuning
4.5. Model Evaluation
5. Laboratory Evaluation
5.1. Accuracy
5.1.1. Evaluation of Accuracy
5.1.2. Statistical Comparison for Precision@10
5.1.3. Accuracy for Users with Different Numbers of Interactions
5.1.4. Statistical Evaluation of Accuracy for Users with Different Numbers of Interactions
5.2. Diversity
5.3. Overlap of Methods
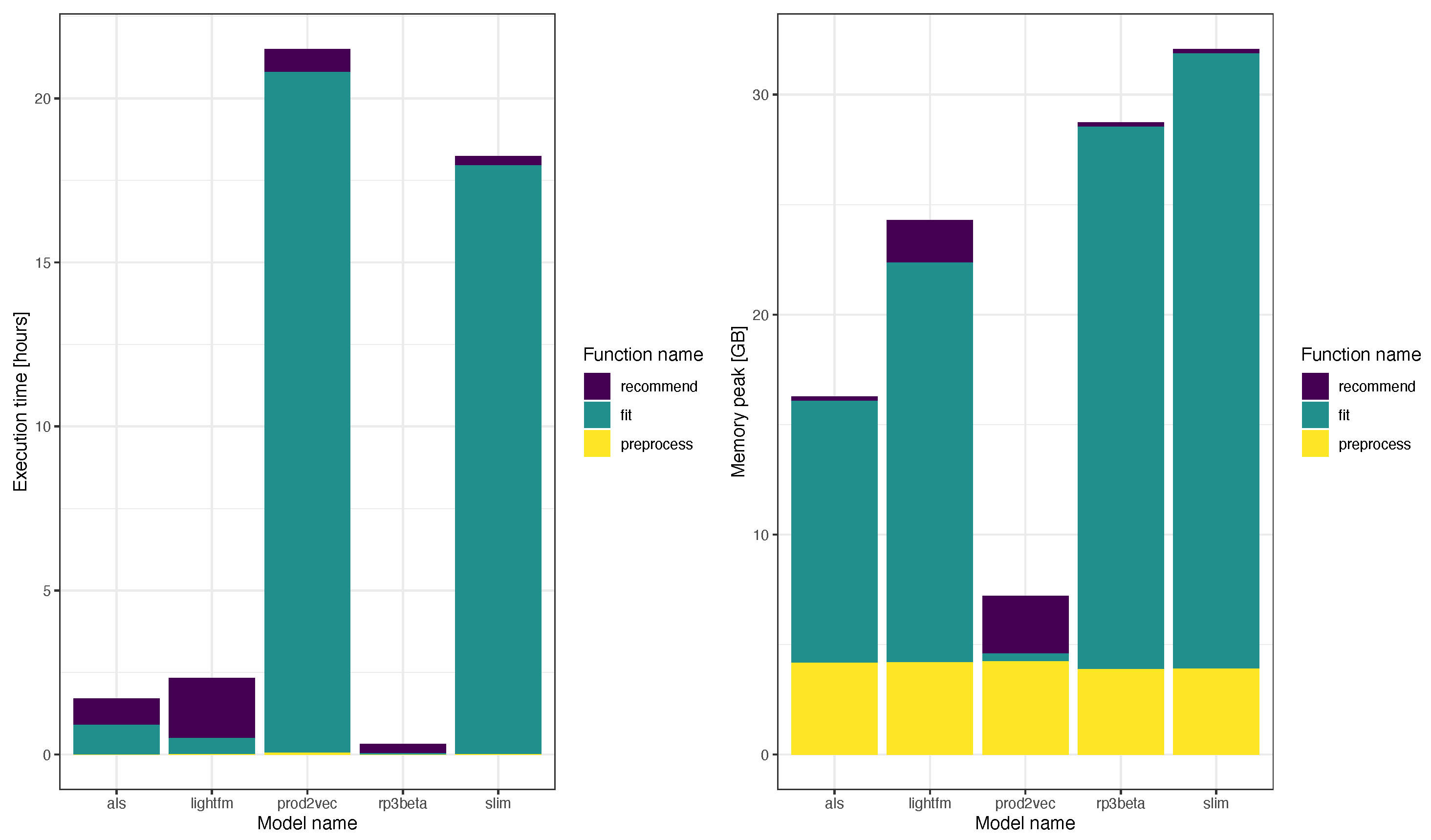
5.4. Evaluation of Efficiency
5.5. Summary
6. Online Evaluation
6.1. Impact of the ALS Model
6.2. Comparison of ALS and RP3Beta Models
6.3. Discussion
7. Summary
Author Contributions
Funding
Data Availability Statement
Conflicts of Interest
References
- Davis, M. What are Online Classifieds? Big Easy Magazine, 4 January 2021. [Google Scholar]
- Jones, S. Online Classifieds; Pew Internet & American Life Project: Washington, DC, USA, 2009. [Google Scholar]
- Gourville, J.; Soman, D. Overchoice and Assortment Type: When and Why Variety Backfires. Mark. Sci. 2005, 24, 382–395. [Google Scholar] [CrossRef]
- Chernev, A. When More Is Less and Less Is More: The Role of Ideal Point Availability and Assortment in Consumer Choice. J. Consum. Res. 2003, 30, 170–183. [Google Scholar] [CrossRef]
- Boatwright, P.; Nunes, J. Reducing Assortment: An Attribute-Based Approach. J. Mark. 2001, 65, 50–63. [Google Scholar] [CrossRef]
- Gómez-Uribe, C.; Hunt, N. The Netflix Recommender System. ACM Trans. Manag. Inf. Syst. 2015, 6, 1–19. [Google Scholar] [CrossRef]
- Smith, B.; Linden, G. Two Decades of Recommender Systems at Amazon.com. IEEE Internet Comput. 2017, 21, 12–18. [Google Scholar] [CrossRef]
- Aggarwal, C.C. Recommender Systems: The Textbook, 1st ed.; Springer: Berlin/Heidelberg, Germany, 2016. [Google Scholar]
- Li, S.; Karahanna, E. Online Recommendation Systems in a B2C E-Commerce Context: A Review and Future Directions. J. Assoc. Inf. Syst. 2015, 16, 72–107. [Google Scholar] [CrossRef]
- Twardowski, B. Modelling Contextual Information in Session-Aware Recommender Systems with Neural Networks. In Proceedings of the 10th ACM Conference on Recommender Systems, Boston, MA, USA, 15–19 September 2016; pp. 273–276. [Google Scholar] [CrossRef]
- Alotaibi, S. A survey of job recommender systems. Int. J. Phys. Sci. 2012, 7, 5127–5142. [Google Scholar] [CrossRef]
- Abel, F.; Benczúr, A.; Kohlsdorf, D.; Larson, M.; Pálovics, R. RecSys Challenge’16: Proceedings of the Recommender Systems Challenge; Association for Computing Machinery: New York, NY, USA, 2016. [Google Scholar]
- Abel, F.; Deldjoo, Y.; Elahi, M.; Kohlsdorf, D. RecSys Challenge’17: Proceedings of the Recommender Systems Challenge 2017; Association for Computing Machinery: New York, NY, USA, 2017. [Google Scholar]
- Li, S.; Shi, B.; Yang, J.; Yan, J.; Wang, S.; Chen, F.; He, Q. Deep Job Understanding at LinkedIn. In Proceedings of the 43rd International ACM SIGIR Conference on Research and Development in Information Retrieval, Virtual, 25–30 July 2020; pp. 2145–2148. [Google Scholar] [CrossRef]
- Zhu, G.; Chen, Y.; Wang, S. Graph-Community-Enabled Personalized Course-Job Recommendations with Cross-Domain Data Integration. Sustainability 2022, 14, 7439. [Google Scholar] [CrossRef]
- Lacic, E.; Reiter-Haas, M.; Kowald, D.; Reddy Dareddy, M.; Cho, J.; Lex, E. Using autoencoders for session-based job recommendations. User Model. User-Adapt. Interact. 2020, 30, 617–658. [Google Scholar] [CrossRef]
- Pazzani, M.J.; Billsus, D. Content-Based Recommendation Systems. In The Adaptive Web: Methods and Strategies of Web Personalization; Springer: Berlin/Heidelberg, Germany, 2007; pp. 325–341. [Google Scholar] [CrossRef]
- Chen, R.; Hua, Q.; Chang, Y.S.; Wang, B.; Zhang, L.; Kong, X. A Survey of Collaborative Filtering-Based Recommender Systems: From Traditional Methods to Hybrid Methods Based on Social Networks. IEEE Access 2018, 6, 64301–64320. [Google Scholar] [CrossRef]
- Wang, X.; He, X.; Wang, M.; Feng, F.; Chua, T.S. Neural Graph Collaborative Filtering. In Proceedings of the 42nd International ACM SIGIR Conference on Research and Development in Information Retrieval, Paris, France, 21–25 July 2019; pp. 165–174. [Google Scholar] [CrossRef]
- Schafer, J.B.; Frankowski, D.; Herlocker, J.; Sen, S. Collaborative filtering recommender systems. In The Adaptive Web; Springer: Berlin/Heidelberg, Germany, 2007; pp. 291–324. [Google Scholar] [CrossRef]
- Takács, G.; Pilászy, I.; Németh, B.; Tikk, D. Scalable Collaborative Filtering Approaches for Large Recommender Systems. J. Mach. Learn. Res. 2009, 10, 623–656. [Google Scholar] [CrossRef]
- Jawaheer, G.; Szomszor, M.; Kostkova, P. Comparison of implicit and explicit feedback from an online music recommendation service. In Proceedings of the 1st International Workshop on Information Heterogeneity and Fusion in Recommender Systems, Barcelona, Spain, 26 September 2010; pp. 47–51. [Google Scholar] [CrossRef]
- Tamm, Y.M.; Damdinov, R.; Vasilev, A. Quality Metrics in Recommender Systems: Do We Calculate Metrics Consistently? In Proceedings of the Fifteenth ACM Conference on Recommender Systems, Amsterdam, The Netherlands, 27 September–1 October 2021; pp. 708–713. [Google Scholar] [CrossRef]
- Kaminskas, M.; Bridge, D. Diversity, Serendipity, Novelty, and Coverage: A Survey and Empirical Analysis of Beyond-Accuracy Objectives in Recommender Systems. ACM Trans. Interact. Intell. Syst. 2016, 7, 1–42. [Google Scholar] [CrossRef]
- Kunaver, M.; Pozrl, T. Diversity in Recommender Systems, A Survey. Knowl.-Based Syst. 2017, 123, 154–162. [Google Scholar] [CrossRef]
- Ge, M.; Delgado-Battenfeld, C.; Jannach, D. Beyond Accuracy: Evaluating Recommender Systems by Coverage and Serendipity. In Proceedings of the Fourth ACM Conference on Recommender Systems, Barcelona, Spain, 26–30 September 2010; pp. 257–260. [Google Scholar] [CrossRef]
- Mogenet, A.; Pham, T.A.N.; Kazama, M.; Kong, J. Predicting Online Performance of Job Recommender Systems with Offline Evaluation. In Proceedings of the 13th ACM Conference on Recommender Systems, Copenhagen, Denmark, 16–20 September 2019; pp. 477–480. [Google Scholar] [CrossRef]
- Anelli, V.W.; Bellogín, A.; Di Noia, T.; Jannach, D.; Pomo, C. Top-N Recommendation Algorithms: A Quest for the State-of-the-Art. In Proceedings of the 30th ACM Conference on User Modeling, Adaptation and Personalization, Barcelona, Spain, 4–7 July 2022; pp. 121–131. [Google Scholar] [CrossRef]
- Dacrema, M.F.; Boglio, S.; Cremonesi, P.; Jannach, D. A Troubling Analysis of Reproducibility and Progress in Recommender Systems Research. ACM Trans. Inf. Syst. 2021, 39, 1–49. [Google Scholar] [CrossRef]
- Anelli, V.W.; Bellogín, A.; Di Noia, T.; Pomo, C. Reenvisioning the Comparison between Neural Collaborative Filtering and Matrix Factorization. In Proceedings of the Fifteenth ACM Conference on Recommender Systems, Amsterdam, The Netherlands, 27 September–1 October 2021; pp. 521–529. [Google Scholar] [CrossRef]
- Zhu, J.; Dai, Q.; Su, L.; Ma, R.; Liu, J.; Cai, G.; Xiao, X.; Zhang, R. BARS: Towards Open Benchmarking for Recommender Systems. In Proceedings of the 45th International ACM SIGIR Conference on Research and Development in Information Retrieval, Madrid, Spain, 11–15 July 2022; pp. 2912–2923. [Google Scholar] [CrossRef]
- Dong, Y.; Li, J.; Schnabel, T. When Newer is Not Better: Does Deep Learning Really Benefit Recommendation From Implicit Feedback? In Proceedings of the 46th International ACM SIGIR Conference on Research and Development in Information Retrieval, Taipei, Taiwan, 23–27 July 2023; pp. 942–952. [Google Scholar] [CrossRef]
- Anelli, V.W.; Malitesta, D.; Pomo, C.; Bellogin, A.; Di Sciascio, E.; Di Noia, T. Challenging the Myth of Graph Collaborative Filtering: A Reasoned and Reproducibility-driven Analysis. In Proceedings of the 17th ACM Conference on Recommender Systems, Singapore, 18–22 September 2023; pp. 350–361. [Google Scholar] [CrossRef]
- Koren, Y.; Bell, R.; Volinsky, C. Matrix Factorization Techniques for Recommender Systems. Computer 2009, 42, 30–37. [Google Scholar] [CrossRef]
- Kula, M. Metadata embeddings for user and item cold-start recommendations. arXiv 2015, arXiv:1507.08439. [Google Scholar]
- Rendle, S.; Freudenthaler, C.; Gantner, Z.; Schmidt-Thieme, L. BPR: Bayesian Personalized Ranking from Implicit Feedback. arXiv 2012, arXiv:1205.2618. [Google Scholar]
- Weston, J.; Bengio, S.; Usunier, N. Wsabie: Scaling up to large vocabulary image annotation. In Proceedings of the Twenty-Second International Joint Conference on Artificial Intelligence, Barcelona, Spain, 16–22 July 2011; pp. 2764–2770. [Google Scholar]
- Weston, J.; Yee, H.; Weiss, R.J. Learning to Rank Recommendations with the K-Order Statistic Loss. In Proceedings of the 7th ACM Conference on Recommender Systems, Hong Kong, China, 12–16 October 2013; pp. 245–248. [Google Scholar] [CrossRef]
- Hu, Y.; Koren, Y.; Volinsky, C. Collaborative Filtering for Implicit Feedback Datasets. In Proceedings of the 2008 Eighth IEEE International Conference on Data Mining, Pisa, Italy, 15–19 December 2008; pp. 263–272. [Google Scholar] [CrossRef]
- Takács, G.; Pilászy, I.; Tikk, D. Applications of the Conjugate Gradient Method for Implicit Feedback Collaborative Filtering. In Proceedings of the Fifth ACM Conference on Recommender Systems, Chicago, IL, USA, 23–27 October 2011; pp. 297–300. [Google Scholar] [CrossRef]
- Ning, X.; Karypis, G. SLIM: Sparse Linear Methods for Top-N Recommender Systems. In Proceedings of the 2011 IEEE 11th International Conference on Data Mining, Vancouver, BC, Canada, 11–14 December 2011; pp. 497–506. [Google Scholar] [CrossRef]
- Christoffel, F.; Paudel, B.; Newell, C.; Bernstein, A. Blockbusters and Wallflowers: Accurate, Diverse, and Scalable Recommendations with Random Walks. In Proceedings of the 9th ACM Conference on Recommender Systems, Vienna, Austria, 16–20 September 2015; pp. 163–170. [Google Scholar] [CrossRef]
- Cooper, C.; Lee, S.H.; Radzik, T.; Siantos, Y. Random Walks in Recommender Systems: Exact Computation and Simulations. In Proceedings of the 23rd International Conference on World Wide Web, New York, NY, USA, 7–11 April 2014; pp. 811–816. [Google Scholar] [CrossRef]
- Grbovic, M.; Radosavljevic, V.; Djuric, N.; Bhamidipati, N.; Savla, J.; Bhagwan, V.; Sharp, D. E-Commerce in Your Inbox: Product Recommendations at Scale. In Proceedings of the 21th ACM SIGKDD International Conference on Knowledge Discovery and Data Mining, Sydney, NSW, Australia, 10–13 August 2015; pp. 1809–1818. [Google Scholar] [CrossRef]
- Barkan, O.; Koenigstein, N. ITEM2VEC: Neural item embedding for collaborative filtering. In Proceedings of the 2016 IEEE 26th International Workshop on Machine Learning for Signal Processing (MLSP), Vietri sul Mare, Italy, 13–16 September 2016; pp. 1–6. [Google Scholar] [CrossRef]
- Mikolov, T.; Sutskever, I.; Chen, K.; Corrado, G.; Dean, J. Distributed Representations of Words and Phrases and Their Compositionality. In Proceedings of the 26th International Conference on Neural Information Processing Systems—Volume 2, Red Hook, NY, USA, 5–10 December 2013; pp. 3111–3119. [Google Scholar]
- De Ruijt, C.; Bhulai, S. Job recommender systems: A review. arXiv 2021, arXiv:2111.13576. [Google Scholar]
- Kula, M. LightFM—Github Repository. 2023. Available online: https://github.com/lyst/lightfm (accessed on 29 May 2024).
- Frederickson, B. ALS—Github Repository. 2022. Available online: https://github.com/benfred/implicit/blob/main/implicit/als.py (accessed on 29 May 2024).
- Levy, M.; Grisel, O. SLIM—Github Repository. 2014. Available online: https://github.com/Mendeley/mrec/blob/master/mrec/item_similarity/slim.py (accessed on 29 May 2024).
- Quadrana, M. SLIM—Github Repository. 2021. Available online: https://github.com/MaurizioFD/RecSys2019_DeepLearning_Evaluation/blob/master/SLIM_ElasticNet/SLIMElasticNetRecommender.py (accessed on 29 May 2024).
- Bernardis, C. RP3Beta—Github Repository. 2021. Available online: https://github.com/MaurizioFD/RecSys2019_DeepLearning_Evaluation/blob/master/GraphBased/RP3betaRecommender.py (accessed on 29 May 2024).
- Paudel, B.; Christoffel, F.; Newell, C.; Bernstein, A. Updatable, Accurate, Diverse, and Scalable Recommendations for Interactive Applications. ACM Trans. Interact. Intell. Syst. 2016, 7, 1–34. [Google Scholar] [CrossRef]
- Řehůřek, R.; Sojka, P. Software Framework for Topic Modelling with Large Corpora. In Proceedings of the LREC 2010 Workshop on New Challenges for NLP Frameworks, Valletta, Malta, 22 May 2010; pp. 45–50, ISBN 2-9517408-6-7. Available online: http://is.muni.cz/publication/884893/en (accessed on 29 May 2012).
- Meng, Z.; McCreadie, R.; Macdonald, C.; Ounis, I. Exploring Data Splitting Strategies for the Evaluation of Recommendation Models. In Proceedings of the 14th ACM Conference on Recommender Systems, Virtual, 22–26 September 2020; pp. 681–686. [Google Scholar] [CrossRef]
- Shani, G.; Gunawardana, A. Evaluating Recommendation Systems. In Recommender Systems Handbook; Springer: Boston, MA, USA, 2011; pp. 257–297. [Google Scholar] [CrossRef]
- Friedman, M. The Use of Ranks to Avoid the Assumption of Normality Implicit in the Analysis of Variance. J. Am. Stat. Assoc. 1937, 32, 675–701. [Google Scholar] [CrossRef]
- Friedman, M. A Comparison of Alternative Tests of Significance for the Problem of m Rankings. Ann. Math. Stat. 1940, 11, 86–92. [Google Scholar] [CrossRef]
- Iman, R.L.; Davenport, J.M. Approximations of the critical region of the Friedman statistic. Commun. Stat.-Theory Methods 1980, 9, 571–595. [Google Scholar] [CrossRef]
- García, S.; Herrera, F. An extension on “Statistical comparisons of classifiers over multiple data sets” for all pairwise comparisons. J. Mach. Learn. Res. 2008, 9, 2677–2694. [Google Scholar]
- García, S.; Fernández, A.; Luengo, J.; Herrera, F. Advanced Nonparametric Tests for Multiple Comparisons in the Design of Experiments in Computational Intelligence and Data Mining: Experimental Analysis of Power. Inf. Sci. 2010, 180, 2044–2064. [Google Scholar] [CrossRef]
- Demšar, J. Statistical Comparisons of Classifiers over Multiple Data Sets. J. Mach. Learn. Res. 2006, 7, 1–30. [Google Scholar]
- Nemenyi, P. Distribution-Free Multiple Comparisons. Ph.D. Thesis, Princeton University, Princeton, NJ, USA, 1963. [Google Scholar]
- Dacrema, M.F.; Cremonesi, P.; Jannach, D. Are We Really Making Much Progress? A Worrying Analysis of Recent Neural Recommendation Approaches. In Proceedings of the 13th ACM Conference on Recommender Systems, Copenhagen, Denmark, 16–20 September 2019; pp. 101–109. [Google Scholar] [CrossRef]
- Wilcoxon, F. Individual Comparisons by Ranking Methods. Biom. Bull. 1945, 1, 80–83. [Google Scholar] [CrossRef]
- Vijaymeena, M.; Kavitha, K. A Survey on Similarity Measures in Text Mining. Mach. Learn. Appl. Int. J. 2016, 3, 19–28. [Google Scholar] [CrossRef]
- Kwieciński, R.; Melniczak, G.; Górecki, T. Comparison of Real-Time and Batch Job Recommendations. IEEE Access 2023, 11, 20553–20559. [Google Scholar] [CrossRef]
- Kwieciński, R.; Górecki, T.; Filipowska, A. Learning edge importance in bipartite graph-based recommendations. In Proceedings of the 2022 17th Conference on Computer Science and Intelligence Systems (FedCSIS), Sofia, Bulgaria, 4–7 September 2022; pp. 227–233. [Google Scholar] [CrossRef]








| User | Item | Event | Timestamp |
|---|---|---|---|
| 1745587 | 168661 | click | 1582216025 |
| 843008 | 62838 | click | 1582485868 |
| 14285 | 30469 | bookmark | 1582247367 |
| 1142944 | 80122 | click | 1581805847 |
| 2835659 | 23728 | chat_click | 1582397836 |
| Action | Frequency (%) |
|---|---|
| click | 89.794 |
| contact_phone_click_1 | 2.628 |
| bookmark | 2.511 |
| chat_click | 2.136 |
| contact_chat | 1.448 |
| contact_partner_click | 0.701 |
| contact_phone_click_2 | 0.679 |
| contact_phone_click_3 | 0.103 |
| OLX Jobs Interactions | CareerBuilder12 | RecSys16 | RecSys17 | |
|---|---|---|---|---|
| Interactions | 65.50 M | 1.60 M | 8.83 M | 8.27 M |
| Unique interactions | 47.17 M | 1.60 M | - | - |
| Users | 3.30 M | 0.3 2M | 1.37 M | 1.50 M |
| Average number of unique interactions per user | 14.31 () | 4.99 () | <6.46 | <5.51 |
| Items | 0.19 M | 0.37 M | 1.36 M | 1.31 M |
| Average number of unique interactions per item | 254.42 () | 4.38 () | <6.50 | <6.31 |
| Density of the interaction matrix (%) | 0.0077% | 0.0014% | <0.0005% | <0.0004% |
| Types of interactions | 8 | 1 | 4 | 5 |
| Timestamps | ✓ | ✓ | ✓ | ✓ |
| User features | ✗ | ✓ | ✓ | ✓ |
| Item features | ✗ | ✓ | ✓ | ✓ |
| Method | Family of Methods | Source | Difference from the Original Method |
|---|---|---|---|
| LightFM | Matrix factorization | Implementation based on: [48]. Supporting paper: [35]. | None |
| ALS | Matrix factorization | Implementation based on: [49]. Supporting papers: [39,40]. | None |
| SLIM | Neighborhood-based | Sources that inspired our implementation: [50,51]. Supporting paper: [41]. | None |
| RP3Beta | Graph-based | Source that inspired our implementation: [52]. Supporting papers: [29,53]. | Performed direct computations on sparse matrices instead of random walks approximation. |
| Prod2Vec | Word2Vec | Implementation based on: [54]. Supporting papers: [44,45]. | Sequences of interactions, ordered by a timestamp. Representing the user as an average of the representations of interacted items. We also experimented with CBOW (continuous bag of words). |
| OLX Job Interactions Interactions | Training and Validation Set | Test Set | |
|---|---|---|---|
| Interactions | 65.50 M | 52.40 M | 6.11 M |
| Unique interactions | 47.17 M | 38.25 M | 6.11 M |
| Users | 3.30 M | 2.83 M | 0.62 M |
| Average number of unique interactions per user | 14.31 () | 13.50 () | 9.87 () |
| Items | 0.19 M | 0.18 M | 0.13 M |
| Average number of unique interactions per item | 254.42 () | 214.05 () | 47.51 () |
| Density of the interaction matrix (%) | 0.0077% | 0.0076% | 0.0077% |
| Model | Model Hyperparameters |
|---|---|
| als | {‘factors’: 357, ‘regularization’: 0.001, ‘iterations’: 20, ‘event_weights_multiplier’: 63} |
| lightfm | {‘no_components’: 512, ‘k’: 3, ‘n’: 20, ‘learning_schedule’: ‘adadelta’, ‘loss’: ‘warp’, ‘max_sampled’: 61, ‘epochs’: 11} |
| prod2vec | {‘vector_size’: 168, ‘alpha’: 0.028728, ‘window’: 20, ‘min_count’: 16, ‘sample’: 0.002690026, ‘min_alpha’: 0.0, ‘sg’: 1, ‘hs’: 1, ‘negative’: 200, ‘ns_exponent’: −0.16447846705441527, ‘cbow_mean’: 0, ‘epochs’: 22} |
| RP3Beta | {‘alpha’: 0.61447198, ‘beta’: 0.1443548} |
| slim | {‘alpha’: 0.00181289, ‘l1_ratio’: 0.0, ‘iterations’: 3} |
| Metric | RP3Beta | SLIM | ALS | Prod2Vec | LightFM | Most Popular | Random |
|---|---|---|---|---|---|---|---|
| precision | 0.0484 | 0.0472 | 0.0434 | 0.0368 | 0.0359 | 0.0012 | 0.00006 |
| recall | 0.0783 | 0.0736 | 0.0657 | 0.0580 | 0.0564 | 0.0012 | 0.00005 |
| ndcg | 0.0759 | 0.0721 | 0.0657 | 0.0567 | 0.0545 | 0.0016 | 0.00007 |
| mAP | 0.0393 | 0.0365 | 0.0329 | 0.0282 | 0.0264 | 0.0006 | 0.00002 |
| MRR | 0.1365 | 0.1314 | 0.1230 | 0.1065 | 0.1034 | 0.0038 | 0.00019 |
| LAUC | 0.5391 | 0.5368 | 0.5328 | 0.5289 | 0.5281 | 0.5006 | 0.49999 |
| HR | 0.3131 | 0.3066 | 0.2878 | 0.2537 | 0.2547 | 0.0112 | 0.00059 |
| Bin | p-Value |
|---|---|
| [1.0, 3.0) | 0 |
| [3.0, 5.0) | 0 |
| [5.0, 8.0) | 0 |
| [8.0, 11.0) | 0 |
| [11.0, 16.0) | 0 |
| [16.0, 22.0) | 1.25 × 10−6 |
| [22.0, 31.0) | 9.27 × 10−7 |
| [31.0, 45.0) | 0 |
| [45.0, 74.0) | 0 |
| [74.0, 852.0) | 0 |
| Metric | RP3Beta | SLIM | ALS | Prod2Vec | LightFM | Most Popular | Random |
|---|---|---|---|---|---|---|---|
| test coverage | 0.5725 | 0.5171 | 0.3038 | 0.7400 | 0.7031 | 0.0002 | 0.9778 |
| Shannon | 9.5271 | 9.6728 | 9.6270 | 10.4031 | 10.1385 | 2.3296 | 11.7267 |
| Gini | 0.9083 | 0.9029 | 0.9120 | 0.7956 | 0.8397 | 0.9999 | 0.1159 |
| Model | RP3Beta | SLIM | ALS | Prod2Vec | LightFM |
|---|---|---|---|---|---|
| RP3Beta | 100% | 73% | 53% | 37% | 38% |
| SLIM | 73% | 100% | 50% | 35% | 35% |
| ALS | 53% | 50% | 100% | 38% | 37% |
| Prod2Vec | 37% | 35% | 38% | 100% | 28% |
| LightFM | 38% | 35% | 37% | 28% | 100% |
| Variant | Users | % Converted Users |
|---|---|---|
| control | 129,308 | 15.98% |
| ALS | 1,170,262 | 16.83% |
| Variant | Users | % Converted Users |
|---|---|---|
| ALS | 343,892 | 15.25% |
| RP3Beta | 345,273 | 15.40% |
| ALS+RP3Beta | 343,896 | 15.30% |
| Variant | Users | % Converted Users |
|---|---|---|
| ALS | 44,775 | 19.66% |
| RP3Beta | 46,097 | 20.94% |
| ALS+RP3Beta | 45,469 | 20.59% |
Disclaimer/Publisher’s Note: The statements, opinions and data contained in all publications are solely those of the individual author(s) and contributor(s) and not of MDPI and/or the editor(s). MDPI and/or the editor(s) disclaim responsibility for any injury to people or property resulting from any ideas, methods, instructions or products referred to in the content. |
© 2024 by the authors. Licensee MDPI, Basel, Switzerland. This article is an open access article distributed under the terms and conditions of the Creative Commons Attribution (CC BY) license (https://creativecommons.org/licenses/by/4.0/).
Share and Cite
Kwieciński, R.; Górecki, T.; Filipowska, A.; Dubrov, V. Job Recommendations: Benchmarking of Collaborative Filtering Methods for Classifieds. Electronics 2024, 13, 3049. https://doi.org/10.3390/electronics13153049
Kwieciński R, Górecki T, Filipowska A, Dubrov V. Job Recommendations: Benchmarking of Collaborative Filtering Methods for Classifieds. Electronics. 2024; 13(15):3049. https://doi.org/10.3390/electronics13153049
Chicago/Turabian StyleKwieciński, Robert, Tomasz Górecki, Agata Filipowska, and Viacheslav Dubrov. 2024. "Job Recommendations: Benchmarking of Collaborative Filtering Methods for Classifieds" Electronics 13, no. 15: 3049. https://doi.org/10.3390/electronics13153049
APA StyleKwieciński, R., Górecki, T., Filipowska, A., & Dubrov, V. (2024). Job Recommendations: Benchmarking of Collaborative Filtering Methods for Classifieds. Electronics, 13(15), 3049. https://doi.org/10.3390/electronics13153049

