Abstract
Reconstructing three-dimensional (3D) models of power equipment plays an increasingly important role in advancing digital twin power grids. To reconstruct a high-precision model, it is crucial to accurately obtain the pylon type and its necessary parameter information before modeling. This study proposes an improved method for identifying pylon types based on similarity measurement and a linearly transformed dataset. It begins by simplifying the identification of point clouds using the pylon shape curve. Subsequently, the resemblance between the curve and those curves within the dataset is evaluated using a similarity measurement to determine the pylon type. A novel method is proposed for calculating the characteristic parameters of the pylon point clouds. The horizontal and vertical distribution characteristics of the pylon point clouds are analyzed to identify key segmentation positions based on their types. Feature points are derived from key segmentation positions to calculate the characteristic parameters. Finally, the pylon 3D models are reconstructed on the basis of the calculated values. The experimental results showed that, compared with other similarity measurements, the Hausdorff distance had the best effect as a similarity measurement using the linearly transformed dataset, with an overall evaluation F-score of 86.4%. The maximum relative error of the calculated pylon parameters did not exceed 5%, affirming the feasibility of the algorithm.
1. Introduction
With the rapid advancement of the national economy, there is a continuous surge in demand for fundamental energy sources like electricity. High-voltage transmission lines, serving as essential infrastructure for long-distance power transmission, play a crucial role in national economic development and daily production [1,2,3]. Regular monitoring and maintenance of power transmission corridors are imperative to ensure the safe and stable operation of the power system. Traditional inspection of transmission lines is typically conducted by line inspectors who visually or with handheld instruments inspect power equipment and identify potential hazards based on experience. However, due to several constraints and the absence of three-dimensional (3D) data along the lines, manual inspections entail a significant workload, low precision, and potential safety hazards, rendering them inadequate to meet the inspection needs of the power grid [4,5,6,7].
In recent years, airborne Light Detection and Ranging (LiDAR) technology has been widely used in power inspections because it enables the rapid and precise acquisition of dense 3D point clouds within power transmission corridors without the limitations of light and terrain [8,9,10]. As an essential component of transmission lines, the power pylon plays a pivotal role in ensuring the safety of high-voltage lines. The reconstructed 3D model of the pylon can provide basic data and model support for conducting multi-physics field simulation analysis, simulating real working scenes, and guiding the selection of operational methods. Therefore, it is necessary to develop an accurate and efficient method to extract pylon information from point clouds for 3D model reconstruction.
Currently, the research on pylon point clouds primarily focuses on the segmentation of pylon points from the point clouds collected by airborne LiDAR [11,12,13,14,15,16]. And there are many methods for pylon reconstruction based on point cloud data, which can be classified as data-driven [17], model-driven [10], and hybrid-driven [18]. The data-driven approach is generally a bottom-up strategy. It directly processes the data without the need to presuppose the characteristics of the reconstructed object. Han et al. [17] proposed a data-driven method of modeling the power pylon. In this method, power pylon point clouds were located and extracted by utilizing the connection points of line pairs. The 3D model of the power pylon was constructed according to the 3D line feature obtained from the binary image contour tracking. This method requires high data quality, and it is difficult to reconstruct the pylon structure when there are many noise points in the obtained point clouds. Compared with the data-driven approach, the model-driven approach takes a top-down strategy and requires a model library to be completed in advance. Li et al. [10] divided the pylon into three relatively simple parts: the foot, the body, and the head. The head was reconstructed by seeking the corresponding model from the pre-built model library, and the body was reconstructed by calculating the intersection lines of the fitted side planes. The experiment suggested that the approach can achieve automatic 3D modeling of the pylon head and body effectively. However, the reconstruction of the pylon foot required interactive operation. Since it is difficult to meet the reconstruction requirements of complex objects by using data-driven or model-driven methods alone, hybrid methods combining the above two methods have been proposed. The method adopts appropriate strategies according to different structural modeling requirements, which can improve the modeling accuracy. Zhou et al. [18] divided the pylon into the head and body. They reconstructed the pylon body by a data-driven strategy and the head by a model-driven strategy with the aid of a predefined 3D head model library. This method can accurately reconstruct the original pylon structure, but it cannot effectively handle pylons containing more complex structures.
To solve the problems in the above modeling methods, the pylon types and necessary parameter information obtained from 3D point clouds are used to reconstruct the pylons in this paper.
The existing methods for identifying the pylon types are mainly classified into rule-based methods and machine learning methods [19]. For the first method, the characteristics are extracted from the pylon point clouds, and then the pylon types are identified according to the difference of the characteristics. Qiao et al. [20] layered the pylon head point clouds and then calculated the rate of vertical filling for every individual layer. They classified pylons into two types based on the position of the layer with the largest filling rate. Chen et al. [21] segmented the pylon head point clouds based on point distribution characteristics and then projected it onto the Y0Z0 plane to create an image. The pylon head contour image was acquired by integrating the image processing method. Finally, the pylon type was determined based on the quantity of pixels within the contour. Although the above two methods can distinguish pylons, the types of pylons that can be identified are very limited. Silva F. et al. [22] proposed a classification methodology based on similarity. They utilized point cloud distance metrics to measure the similarity between pylon point clouds and basic reference models, achieving pylon classification based on differences in distance. This method requires handling large amounts of data and is sensitive to fluctuations in the density of sampling points. For the second method, the identification of the pylon types is realized based on the machine learning algorithm. Zhou et al. [18] first defined a 3D parameterized model library of pylon heads. Then, pylon head types were identified by the shape context algorithm, and a simulated annealing algorithm was used to estimate the relevant parameters of the pylon heads. Chen et al. [23] extracted features based on point elevation histograms and frontal projection, and finally used the Support Vector Machine (SVM) classification method to train and classify head feature vector samples. Wang et al. [24] projected inner and outer contour points into rasterized images to extract Histogram of Oriented Gradient (HOG) features. Then, they used these as inputs to the SVM classifier for type identification. However, when the SVM algorithm processes large-scale data sets, it may take longer to train due to its higher computational complexity and storage requirements.
In summary, the current methods for identifying pylon types suffer from limited recognition effectiveness, susceptibility to variations in sampling point density, high computational complexity, and long training times. Moreover, there is no suitable method for calculating the parameters of the pylon point clouds. To solve the aforementioned problems, this study proposes an improved method for identifying pylon types based on similarity measurement and a novel characteristic parameter calculation method of pylon point clouds. Figure 1 shows the data processing flow chart of this paper. Firstly, the point clouds are preprocessed with zero-mean normalization, shifting, and redirection before the pylon information is obtained. Secondly, pylon types are identified by calculating the similarity measurement between the shape curves generated based on the point clouds and curves within the dataset. Then, the pylon characteristic positions are determined based on the calculated point clouds’ number, density, filling rate, and shape parameter. In the case of obtaining these positions, the feature points are derived from the point clouds to calculate the characteristic parameters. Finally, the pylon 3D models are reconstructed on the basis of the calculated values.
Figure 1.
Overall flow chart of type identification and parameter calculation.
The main innovations and contributions of this study are as follows:
- This study proposes an improved method for identifying pylon types based on the similarity measurement and a linearly transformed dataset. Comparing the effects of four similarity measurements on pylon type identification, a similarity measurement that is more suitable for various pylon type identification is obtained.
- A novel method for automatic calculation of characteristic parameters using airborne LiDAR data is proposed for the first time. It can efficiently extract the specific information of the pylon, ensuring the high accuracy of characteristic parameters.
- The 3D models of the four types of pylons are reconstructed on the basis of the identified pylon types and calculated parameters, which can accurately reflect the true structure of the pylons.
2. Pylon Point Cloud Type Identification Based on Similarity Measurements
In the process of collecting pylon point clouds using airborne LiDAR, the majority of laser points are not obtained by scanning the surface of the target vertically but rather through inclined incidence. Therefore, in addition to being located on the top of the pylon, some of the pylon point clouds are situated on the sides of the pylon. Additionally, in the absence of Unmanned Aerial Vehicle (UAV) flight routes and specific spatial geographic information on the pylons, it is impossible to determine which side the points belong to. Furthermore, the pylon structure is generally complex. If all the pylon point clouds are utilized to determine the pylon type in 3D space, the aforementioned circumstances will make it difficult to achieve this goal.
To address this issue more effectively, this paper introduces pylon shape curves, simplifying the pylon type identification in 3D space to the identification of curves in two-dimensional (2D) space. This curve can accurately reflect the shape of the pylon. The shapes of various pylon types exhibit significant differences, and the shapes of pylons that belong to the same type but different models are basically similar. Finally, the similarity measurements are combined to determine the resemblance between the shape curve derived from the pylon point clouds and the curves within the dataset, and then the type of the pylon is determined.
2.1. Point Cloud Preprocessing
Considering that the pylon point clouds collected by airborne LiDAR can be oriented arbitrarily in 3D space, for the sake of facilitating similarity measurement calculation and subsequent processing, we perform zero-mean normalization on the pylon point cloud data using Equation (1). Then, we transform the coordinates of the processed points by shifting them along the Z-axis positive direction, obtaining the updated coordinates (x′, y′, z′).
where x0, y0, and z0 represent the coordinates of the central position of the initial point clouds; and x′, y′, and z′ represent the coordinates of the point clouds after zero-mean normalization and shifting.
The pylon structure is generally symmetrical, and capturing the shape characteristics of the pylon from the front view is more effective. Consequently, it is required to rotate the point clouds of the pylon by a certain angle, θ, before generating the pylon shape curve, aligning its horizontal direction perpendicular to the X-axis.
The horizontal direction of the pylon is generally more relevant to its upper structure. In this study, point clouds with Z coordinates exceeding H are chosen and projected onto the XY plane. Subsequently, the eigenvalues and eigenvectors of the resulting projected point clouds are calculated using the principal component analysis (PCA) algorithm. The obtained minimum eigenvalue corresponds to the eigenvector (v1, v2) perpendicular to the point cloud horizontal orientation. And the rotation angle θ is calculated by Equation (2) [20]. Finally, the coordinate transformation is conducted using Equation (3) to obtain the coordinates (x″, y″, z″) of the rotated point clouds. Figure 2 displays the projections of the redirected pylons.
where x″, y″, and z″ represent the coordinates of the rotated point clouds.
Figure 2.
The projections of the redirected pylons on the Y′Z, X′Y′, and X′Z planes. (a) Type-a pylon. (b) Type-b pylon. (c) Type-c pylon. (d) Type-d pylon.
2.2. Generating the Pylon Point Cloud Shape Curve
The redirected pylon point clouds are projected onto the Y′Z plane, and then vertically layered along the Z-axis at a certain interval of h1. The boundary points of each layer are found by using a sliding window. These points form the overall pylon shape curve. Considering the symmetry of the pylon structure, half of the boundary points can be selected and connected in sequence. Finally, uniformly spaced discrete curves, which are the pylon point cloud shape curves, are obtained, as shown in Figure 3.
Figure 3.
Pylon point cloud shape curve. (a) Type-a pylon. (b) Type-b pylon. (c) Type-c pylon. (d) Type-d pylon.
2.3. Creating the Shape Curve Dataset
The outer shape of pylons serves as a crucial criterion for identifying pylon types. Before calculating similarity measurements, it is essential to create a dataset of pylon shape curves. The creation of this dataset refers to relevant general design and typical design standards issued by the State Grid Corporation of China, along with other pylon design and construction standards, ensuring the accuracy and completeness of the data. Based on common pylon parameters provided by these standards, such as height, length, cross-arm length, and other information in the vertical and horizontal directions, the shape curves of different pylons in the dataset are generated. Then, the shape curves in the dataset are linearly transformed to the same height, as shown in Figure 4. And to facilitate the calculation of the similarity measurement, half of the feature points are connected to form a discrete curve before utilization.
Figure 4.
Shape curves of some pylons in the dataset.
Currently, the dataset contains the shape curves of various common power pylons, such as cat-head pylons, sheep horn pylons, and cup pylons. These curves are generated based on standard parameters. In addition, taking into account the correlation between the number of pylon arms and phases, and the orientation of the power lines, we classify these pylons into single-phase, two-phase, and three-phase pylons. Furthermore, we also consider the cases of single-circuit, double-circuit, and four-circuit pylons [25].
2.4. Similarity Measurements
The shape curve of a pylon can provide various information, such as the shape of the pylon head, pylon height, and the number of crossarms. Reasonably utilizing the distinguishing features of different types of pylons will contribute to accurately determining the pylon type. Moreover, the selection of similarity measurements is crucial for the identification of pylon types. This study selects four widely used similarity evaluation measurements in the fields of pattern recognition and artificial intelligence: the Dynamic Time Warping (DTW) distance, FastDTW distance, discrete Fréchet distance, and Hausdorff distance. We compare their effectiveness in identifying pylon types.
(1) DTW distance and FastDTW distance: The DTW algorithm is widely used in evaluating the resemblance of time sequences with different lengths, and has extensive applications in the field of speech recognition [26,27]. Its main approach is as follows.
Suppose there are two time sequences, X = {x1, x2, …, xi, …, xn} and Y = {y1, y2, …, yj, …, ym}. The cumulative distance matrix D of X and Y is constructed using Euclidean distance. A warping path W in matrix D is found such that the sum of elements along the path is minimized. The minimum cumulative distance can be calculated using Equation (4) by satisfying both the monotonicity and continuity constraints.
where d(xi, yj) represents the distance between xi and yj. D(i, j) represents the cumulative distance between time steps xi and yj.
The final minimum cumulative distance can be used to assess the similarity of sequences X and Y. A smaller value indicates that the two sequences share a greater resemblance in terms of their shape; conversely, a larger value suggests less similarity.
However, when the time sequences are lengthy, the computational complexity of calculating the DTW distance between the two sequences is O(nm), leading to relatively low algorithm efficiency. In this case, the DTW algorithm is usually accelerated by limiting the path search range, data abstraction, and indexing. FastDTW uses the first two methods to expedite DTW. This improved algorithm effectively decreases the time complexity of DTW to O(m). FastDTW primarily involves three processes: coarsening, projection, and refinement [28,29,30].
(2) Discrete Fréchet distance: The discrete Fréchet distance takes into account the shape of curves as well as the sequence of points along the curves. It is a distance measure to determine the degree of similarity between curves and is employed in various fields to gauge the similarity between parameterized curves [31,32]. Its definition is as follows.
If there are two polygon curves X and Y consisting of m and n points, respectively. To calculate the discrete Fréchet distance between X and Y, the corresponding sequence of point pairs is found at first.
Among them, a1 = 1, b1 = 1, ak = m, and bk = n. And to ensure the order of points, for any i = 1, …, n, there is ai+1 = ai or ai+1 = ai + 1, bi+1 = bi, or bi+1 = bi + 1. Then, we calculate the maximum distance between corresponding point pairs.
The discrete Fréchet distance between X and Y is defined as follows:
Df(X, Y) can be used to assess the similarity between X and Y. The resemblance of the shapes between both curves increases as the value decreases.
(3) Hausdorff distance: The Hausdorff distance describes the similarity of two subsets by measuring the distance between them in space [33]. If there are two finite point sets X and Y, with lengths n and m, respectively, then the bidirectional Hausdorff distance Dh(X, Y) of these two sets of data is:
where Dh(X, Y) takes the maximum value between dh(X, Y) and dh(Y, X). ‖·‖ represents the Euclidean distance between point sets X and Y. dh(X, Y) is the maximum shortest distance from the point in X to the Y set. dh(Y, X) represents the maximum shortest distance from the point in Y to the X set.
The Hausdorff distance measures the dissimilarity of two sets of points and can be used to assess the similarity of X and Y. A smaller value of Dh(X, Y) indicates a greater similarity in shape between X and Y.
3. Characteristic Parameter Calculation of Pylon Point Clouds
In this section, the distribution characteristics of the pylon point clouds including number, density, and horizontal filling rate are first calculated. Then, these characteristics and the pylon type are used to identify the key segmentation positions. Finally, based on these positions, feature points are derived from the point clouds to calculate the characteristic parameters.
3.1. Distribution Characteristics of Pylon Point Clouds
The pylon point clouds projected onto the Y′Z plane are vertically layered to generate histograms of the distribution characteristic value. Then, a sliding window is used to identify layers that simultaneously satisfy both the local maximum number of point clouds and the local maximum point cloud density. And the horizontal filling rate of these layers is calculated. Finally, key segmentation positions are identified from the layers with the great filling rate.
The point clouds are layered along the Z-axis with a fixed interval h1. The number of pylon points and the spatial size of each layer are calculated and used to obtain the distribution degree of the point clouds in each layer, that is, the point cloud density. In order to fully consider the number of pylon points and the point cloud density, the two parameters are standardized. The sum De of the two parameters obtained after processing is used as the distribution characteristic value of the pylon point clouds. Then, a window with height h2 slides up from the bottom of the pylon at a fixed interval h1. If the De value of the layer in the middle of the window is greater than the De value of other layers in the window during the sliding process, the layer is regarded as the one that simultaneously satisfies both the local maximum number of point clouds and the local maximum point cloud density, as shown in Figure 5 (yellow lines).
Figure 5.
Distribution characteristics of pylon point clouds. (a,d,g,j) The projections of the pylon on the Y′Z′ plane. (b,e,h,k) Distribution characteristic value histograms, and yellow lines are layers with both the local maximum number of point clouds and the local maximum density. (c,f,i,l) Filling rate histograms, and blue lines are the key segmentation positions.
In practical analysis, not all layers with the above two characteristics are key layers required for subsequent calculations. The top N1 maximum values are selected to further filter the layers here. Subsequently, important layers can be further determined by calculating the filling rate of each layer. The specific calculation process of the filling rate is as follows: important layers are divided into N2 grids at a fixed spacing L1 along the Y′-axis, and the proportion of grids containing points n to the overall count of N2 grids is defined as the filling rate f, as shown in Figure 6.
Figure 6.
The filling rate calculation process.
3.2. Key Segmentation Position Identification
The filling rate f of the expected key segmentation position (yellow lines) is calculated in the previous section. When the filling rate of a layer exceeds the predefined threshold Tf, the key segmentation position S can be described as the average Z coordinate of all the points within the layer, as shown in Figure 5 (blue lines). For type-a pylons and type-d pylons, all the key segmentation positions can be directly identified using the aforementioned method. However, for the other two types of pylons, besides the positions obtained as described above, additional approaches are required to determine other key segmentation positions.
For the type-b pylon, we first consider the outer contour. Due to the presence of a hollow section in the layer containing the connecting insulator position for the type-b pylons, the filling rate of this part is relatively low and thus not considered as a key segmentation position. Considering that the projected shape of the structure above the pylon head of this type of pylon varies with height in the X′Y′ plane, the shape parameter Gi is introduced here to better identify key segmentation positions. This parameter defines the ratio of the maximum projection length of the point clouds on the X′ and Y′ axes to the minimum value. The sum of G1 and the error constant Ce serves as the threshold TG for the shape parameter. Starting from G1, each Gi is sequentially compared to the threshold TG. If Gi exceeds TG, the point cloud layer corresponding to Gi-1 is the segmentation position Si-1 between the pylon head and pylon body, as shown in Figure 7 (red line). Through observation, it can be found that the two segmentation positions with lower filling rates above the segmentation position are the key segmentation positions supporting the connecting lines. Additionally, the two segmentation positions below the segmentation position with filling rates that meet the requirements need not be considered, and this processing will not affect the subsequent parameter calculation.
Figure 7.
Shape parameters of the type-b pylon.
Before modeling the type-b pylons, it is essential to obtain the dimensions of their internal hollow structures. From Figure 6, it is evident that the hollow position lies between the key segmentation position S5 of the pylon body and the key segmentation position S7 of the pylon head. Furthermore, there are relatively lower filling rates at the key segmentation positions inside the hollow structure compared to the aforementioned positions. Combining the positional relationship and point cloud distribution characteristics, the key segmentation positions in the hollow structure can be identified.
For the type-b pylon and the type-c pylon, it can be found that the segmentation position at the top of the pylon has not been identified due to the low filling rate of the point clouds by observing Figure 5, and it needs to be considered separately. The highest among the expected key segmentation positions that do not meet the filling rate threshold requirement can be chosen as one of the key segmentation positions. Finally, all the key segmentation positions of the type-b pylon and the type-c pylon can be obtained, as shown in Figure 8.
Figure 8.
The key segmentation positions of the pylon. (a) Type-b pylon. (b) Type-c pylon.
3.3. Determination of Feature Points
The main purpose of determining pylon feature points is to better calculate various parameters of unknown pylons, such as pylon height, cross-arm length, pylon leg spacing, etc. This study chooses points on the boundaries of pylon key segmentation positions as feature points. The four types of pylons considered in this study have the same pylon body and pylon leg structures. These feature points suffice to calculate the required parameters for these two structures. However, each type of pylon has a complex and unique pylon head structure, requiring the identification of additional feature points to calculate the relevant parameters of the pylon head.
Taking the type-b pylon as an example to introduce the feature point selection strategy, the selected position of the feature points of the type-b pylon is shown in Figure 9, in which the orange points represent the feature points obtained in conjunction with the key segmentation positions. Point 25, as indicated in the figure, represents the connection point between the cross-arm and the pylon body. The Z-axis coordinate can be determined by identifying its characteristic position. Combined with the surrounding point 27 and point 30, a line can be fitted to calculate the Y′-axis coordinate. Similarly, coordinate information on point 11, point 12, and point 26 can be obtained in this way. Regarding point 7 and point 8, the point clouds between point 1 and point 2 are layered along the Y′-axis with a certain interval, and the point with the maximum Z-axis coordinate in each layer is selected. Then, moving from point 1 and point 2 towards the middle by a sliding window, the first points with Z-axis coordinates located at the key segmentation position S10 are found. These two points are identified as point 7 and point 8, as indicated by the red markers in Figure 10.
Figure 9.
Pylon feature points and numbers, and red points are the feature points obtained by combining with the surrounding orange points. (a) Type-a pylon. (b) Type-b pylon. (c) Type-c pylon. (d) Type-d pylon.
Figure 10.
Point cloud distribution curve of the type-b pylon head.
In total, 36 feature points need to be determined for the type-a pylon, while the type-b, type-c, and type-d pylons require 63, 51, and 52 feature points, respectively.
3.4. Calculation of Characteristic Parameters
Based on the coordinate information on the feature points, characteristic parameters are calculated from the perspectives of height, length, and width. This study takes the type-a pylon as an example to introduce the parameters that need to be calculated. In terms of height, the vertical coordinate difference between point 20 and point 30 represents the pylon head height. The vertical coordinate difference between point 30 and point 32 represents the pylon body height, and the difference between point 32 and point 34 represents the pylon leg height. Concerning length, the ground line cross-arm length can be obtained by measuring the horizontal coordinate difference between point 1 and point 2, while the cross-arm length is determined by the difference between point 9 and point 10. Additionally, the difference in horizontal coordinates between point 17 and point 19 represents the pylon leg spacing. Regarding width, for points projected onto the X′Z plane, calculating the horizontal coordinate difference of the points at the same height can provide the required width parameters.
4. Experiments
In this section, the data and parameters used in the experiment are first introduced in Section 4.1, and then the accuracy of the tower type identification and feature parameter calculation is, respectively, listed in Section 4.2 and Section 4.3. Finally, the reconstructed 3D models of the pylons are shown in Section 4.4.
4.1. Experimental Data and Parameter Introduction
This study obtained point cloud data using the DJI M300RTK flight platform with the integrated Livox L1 LiDAR module. The basic parameters of the LiDAR data are shown in Table 1. The collected LiDAR data comprise not only the 3D coordinates of the points but also their RGB color information. The data cover power transmission corridors with voltage levels of 110 kV and 220 kV in Hubei Province and Sichuan Province. In order to facilitate the progress of this study, the data were segmented using the open-source software CloudCompare 2.13 to obtain the pylon point cloud data.
Table 1.
Basic parameters of LiDAR data.
The programs for pylon type identification and parameter calculation were written in Python and run on a laptop. The laptop’s configuration information is shown in Table 2. The pylon point cloud data obtained by segmentation were processed using the method proposed in this paper. The parameters involved in the processing are shown in Table 3.
Table 2.
Laptop configuration information.
Table 3.
Parameter settings.
4.2. Accuracy of Pylon Type Identification
Four different similarity evaluation measurements, namely DTW distance, FastDTW distance, discrete Fréchet distance, and Hausdorff distance, are employed for pylon type identification using the method described in the previous section. This section uses two types of shape curve datasets to conduct the experiments. One is the dataset obtained directly based on drawing information, and the other is the dataset obtained by linearly scaling the above dataset to the same height. Finally, the pylon type identification results of the four similarity evaluation measurements were obtained.
To comprehensively evaluate the identification performance of the various similarity measurements, this study used precision, recall, and F-score as three indexes to analyze the experimental results [25].
Precision refers to the proportion of pylons predicted to belong to a certain type that actually belongs to that type in the experiment.
Recall refers to the proportion of pylons of a certain type that are ultimately predicted to belong to that type.
where TP is the number of samples determined to be of a certain pylon type and actually belonging to that type; FP is the number of samples determined to be of a certain pylon type but actually belonging to other types; and FN is the number of samples of a certain pylon type that are determined to be of other types.
The F-score refers to the harmonic mean of precision and recall, and it was used as an overall evaluation index of pylon identification performance in this study.
The larger the values of these three evaluation indexes, the better the identification performance of the similarity measurement. For the four types of pylons in this study, the pylon type identification results using different similarity evaluation methods are shown in Figure 11.
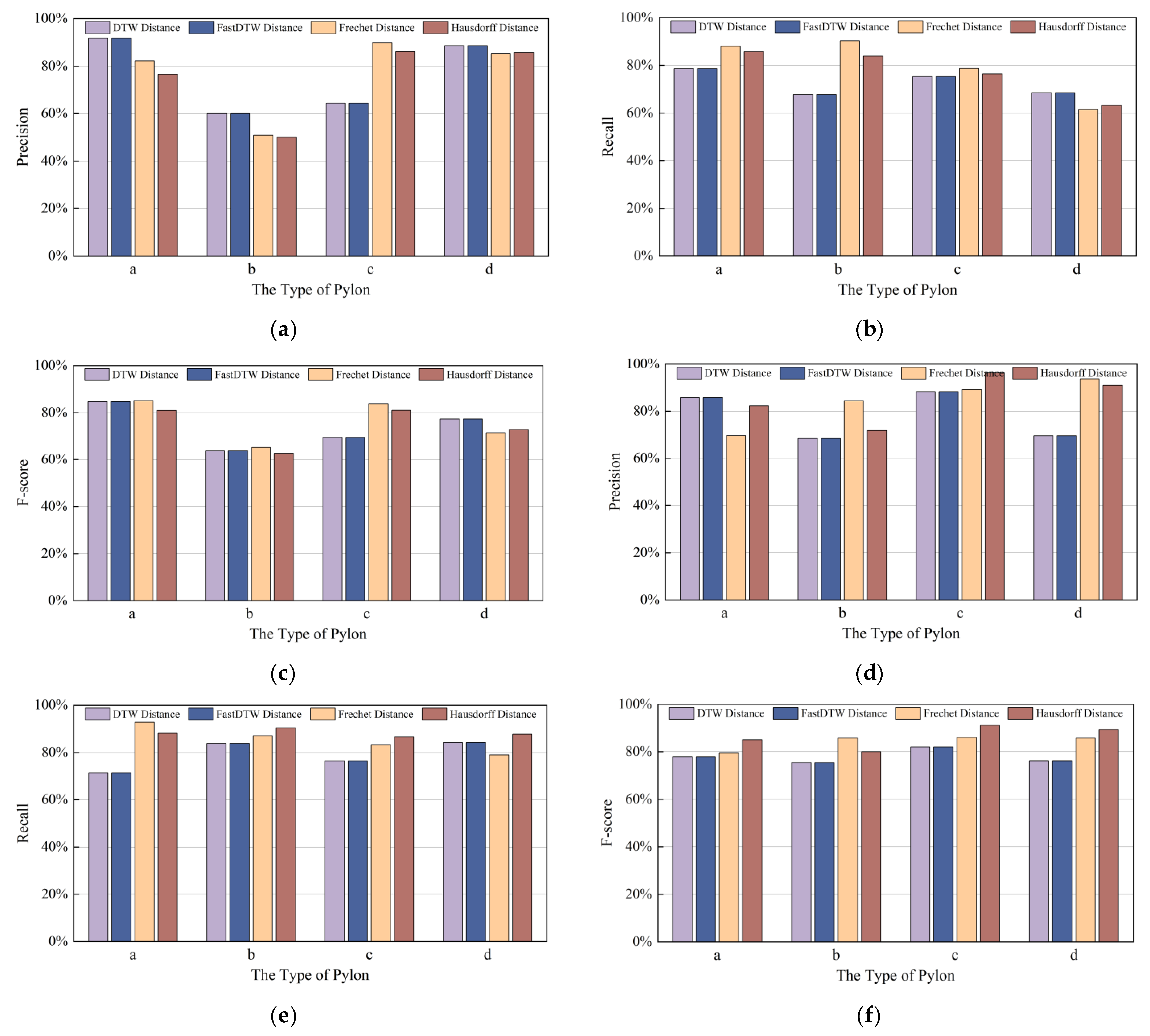
Figure 11.
Identification results of pylon types using different similarity measurements. (a) The precision of four similarity measurements (original dataset). (b) The recall of four similarity measurements (original dataset). (c) The F-score of four similarity measurements (original dataset). (d) The precision of four similarity measurements (linearly transformed dataset). (e) The recall of four similarity measurements (linearly transformed dataset). (f) The F-score of four similarity measurements (linearly transformed dataset).
Using the original dataset for calculation, regarding precision, the DTW distance and FastDTW distance exhibited the highest precision for both the type-a pylon and the type-b pylon. For the type-c pylon, the precision of the discrete Fréchet distance was 89.7%, which was significantly higher than the other three similarity measurements. For the type-d pylon, all four similarity measurements were basically equivalent. In terms of recall, for the type-a pylon and the type-b pylon, the Hausdorff distance and Discrete Fréchet distance yielded slightly higher results. For the type-c pylon, the recall of all four similarity measurements was around 76%. For the type-d pylon, the results of all four similarity measurements were relatively lower compared to the other three types. Considering the overall evaluation index of the algorithm performance, for the type-a pylon, all four similarity measurements yielded similar results, with the Hausdorff distance slightly inferior. For the type-b pylon, the F-scores of all four similarity measurements were below 66%, indicating poor identification performance. For the type-c pylon, the F-score of the discrete Fréchet distance was 83.8%, which was better than other similarity measurements. For the type-d pylon, the DTW distance and FastDTW distance yielded slightly higher F-scores.
Using the dataset transformed by linear scaling for calculation, all four similarity measurements showed a significant improvement in the precision of identifying the type-b pylon. For the type-c pylon and the type-d pylon, the precision of the Hausdorff distance could exceed 90%. Regarding recall, for the type-a pylon, the discrete Fréchet distance yielded higher results. For the other three types of pylons, the recall results of the Hausdorff distance were 90.3%, 86.5%, and 87.7%, respectively, significantly higher than the other similarity measurements. Considering the overall evaluation index of the algorithm performance, the F-scores of all four similarity measurements had seen substantial improvement for the type-b pylon. For the other three types of pylons, the F-score of the Hausdorff distance was higher than the other three measurements.
In summary, when identifying the type of pylon point clouds, using the ordinary dataset for calculation, the discrete Fréchet distance exhibited the best overall evaluation index, with an average F-score of 76.4%. Using the dataset transformed by linear scaling for calculation, the overall evaluation index of the Hausdorff distance was the best, with an average F-score of 86.4%.
4.3. Calculation Accuracy of Pylon Characteristic Parameters
This section validated the accuracy of calculating key parameters for four types of pylons using practical examples. The type-a pylon was taken as a typical case here. The calculated values of this pylon are listed in Table 4 and were compared with the manual measurement values. Finally, the relative error was obtained.
Table 4.
Parameter calculation results of the type-a pylon.
Finally, it was found that the overall relative error did not exceed 5% by calculating 80 pylon samples and comparing their maximum relative errors, thus validating the feasibility of the algorithm. The calculated results for the pylons are presented in Table 5.
Table 5.
Calculation error.
4.4. Pylon Reconstruction
Based on the characteristic parameters calculated in the previous section, 3D models of the four types of pylons were reconstructed. The final models are shown in Figure 12.
Figure 12.
3D models of pylons.
5. Discussion
This section mainly discusses the errors encountered in pylon type identification, the impact of the LiDAR data noise points on the calculation of characteristic parameters, and the influence of data sparsity.
5.1. Errors in Pylon Type Identification
When using the ordinary dataset, the DTW distance and FastDTW distance tend to misclassify the type-b pylon and the type-d pylon as the type-c pylon. This may be attributed to the fact that DTW is a local matching method insensitive to global shape changes, while pylon shapes involve global changes, resulting in the misidentification of certain pylon types. The discrete Fréchet distance and Hausdorff distance exhibit more errors in identifying the type-d pylon point clouds, which may be related to the similarity in height between the type-d pylon and other types of pylons in the dataset. After using the linearly transformed dataset, the errors in pylon type identification are reduced. Currently, this method is only applicable to identifying existing pylon types in the dataset. Future research can focus on designing more suitable identification algorithms based on the findings of this study to improve its generality.
5.2. The Influence of Noise Points on the Calculation of Characteristic Parameters
Noise points are primarily distributed in two areas of the pylon. One of the areas is at the junction of the pylon body and the cross-arm, as indicated by the blue circle in Figure 13. These noise points cause the selected feature points on the pylon body to shift outward, resulting in excessive errors in characteristic parameter calculation. In this study, the true feature points can be distinguished by the density characteristics of points after the key segmentation positions layering, thereby eliminating the interference of such noise points on feature point selection. Another part of the noise points primarily consists of insulator string points and line points, as shown by the red circle in Figure 13. This kind of noise point has the greatest impact on the calculation of characteristic parameters. If such points exist, it will be difficult to accurately calculate the pylon parameters using the method proposed in this paper. Therefore, it is necessary to manually remove such noise points before identifying the pylon type.
Figure 13.
Pylon point clouds with interference points.
5.3. The Influence of Data Sparsity
In the process of power inspection, the change in flight height and speed of the UAV will lead to the difference in point density. When the flight altitude is higher and the flight speed is faster, the obtained point density is lower. To analyze the influence of data sparsity on pylon type identification and characteristic parameter calculation, the original pylon point cloud data are sampled by the voxel sampling method. The number of pylon points obtained at different sampling distances is shown in Table 6. When the sampling distance is less than 0.4 m, the methods in this paper can be used to correctly judge the type of pylon and the calculated pylon parameters are relatively accurate. However, when the sampling distance is greater than 0.4 m, the point clouds become sparse and the distribution parameters of the point clouds cannot reflect the characteristics of the key segmentation positions of the pylons. The redirection processing is also affected when the sampling distance exceeds 0.6 m. The parameters in Table 3 cannot make the horizontal direction of the pylon perpendicular to the X-axis. In this case, the parameters need to be reset to solve this problem.
Table 6.
The number of pylon points sampled with different distances.
6. Conclusions
This study proposes an improved method for identifying power pylon types and a novel method for the automatic calculation of characteristic parameters, aiming to solve the problems of complex calculation and low efficiency in existing methods. They can provide the necessary data support for reconstructing 3D models of pylons. The proposed method in this paper exhibits several characteristics and demonstrates great potential in utilizing airborne LiDAR data to acquire basic information about pylons. The research results of this article can be summarized as follows.
(1) This article introduces a method for generating pylon shape curves based on point cloud data. On this basis, an improved method for point cloud type identification based on similarity measurements and a linearly transformed dataset is proposed. This method simplifies the pylon type identification problem in 3D space to curve identification in 2D space. It can effectively identify a variety of pylon types and provide information support for the parameter calculation of pylon point clouds.
(2) This study compared the identification effects of four similarity measurements: the DTW distance, FastDTW distance, discrete Fréchet distance, and Hausdorff distance. In terms of the overall evaluation index (F-score), when using the ordinary dataset, the discrete Fréchet distance as the similarity measurement yielded the optimal overall evaluation index of 76.4%. Meanwhile, the Hausdorff distance as the similarity measurement achieved the best performance using the dataset after linear transformation, with an average F-score of 86.4%.
(3) A novel method for calculating pylon parameters based on point cloud distribution characteristics is proposed. This method can effectively extract point cloud specific information and ensure the accuracy of the parameter calculation. Through the calculation and analysis of 80 groups of pylons, it could be found that the maximum relative error produced by this algorithm did not exceed 5%, thus verifying the feasibility of the algorithm.
Although the method proposed in this study can yield relatively accurate results in pylon type identification and characteristic parameter calculation, there are still some aspects that need to be optimized in future research, as follows. (1) The pylon types considered in this paper are limited by the dataset. Therefore, it is necessary to expand the dataset in future studies. (2) The selection method for feature points needs to be continuously optimized to reduce calculation errors in the characteristic parameters. (3) In future research, pylons with asymmetric structure will also be taken into account.
Author Contributions
Conceptualization, S.Z. and L.W.; methodology, S.Z.; validation, S.Z.; resources, L.W. and B.S.; data curation, S.Z., S.W. and G.W.; writing—original draft preparation, S.Z.; writing—review and editing, S.Z.; visualization, S.Z. All authors have read and agreed to the published version of the manuscript.
Funding
This research received no external funding.
Data Availability Statement
The data presented in this study are available on request from the corresponding author. The data are not publicly available due to privacy restrictions.
Conflicts of Interest
The authors declare no conflicts of interest.
References
- Lu, Z.; Gong, H.; Jin, Q.; Hu, Q.; Wang, S. A Transmission Tower Tilt State Assessment Approach Based on Dense Point Cloud from UAV-Based LiDAR. Remote Sens. 2022, 14, 408. [Google Scholar] [CrossRef]
- Li, W.; Luo, Z.; Xiao, Z.; Chen, Y.; Wang, C.; Li, J. A GCN-Based Method for Extracting Power Lines and Pylons from Airborne LiDAR Data. IEEE Trans. Geosci. Remote Sens. 2022, 60, 1–14. [Google Scholar] [CrossRef]
- Chen, C.; Jin, A.; Yang, B.; Ma, R.; Sun, S.; Wang, Z.; Zong, Z.; Zhang, F. DCPLD-Net: A Diffusion Coupled Convolution Neural Network for Real-Time Power Transmission Lines Detection from UAV-Borne LiDAR Data. Int. J. Appl. Earth Obs. Geoinf. 2022, 112, 102960. [Google Scholar] [CrossRef]
- Yang, J.; Kang, Z. Voxel-Based Extraction of Transmission Lines from Airborne LiDAR Point Cloud Data. IEEE J. Sel. Top. Appl. Earth Obs. Remote Sens. 2018, 11, 3892–3904. [Google Scholar] [CrossRef]
- Xie, X.; Liu, Z.; Xu, C.; Zhang, Y. A Multiple Sensors Platform Method for Power Line Inspection Based on a Large Unmanned Helicopter. Sensors 2017, 17, 1222. [Google Scholar] [CrossRef] [PubMed]
- Jiang, S.; Jiang, W.; Huang, W.; Yang, L. UAV-Based Oblique Photogrammetry for Outdoor Data Acquisition and Offsite Visual Inspection of Transmission Line. Remote Sens. 2017, 9, 278. [Google Scholar] [CrossRef]
- Yang, L.; Fan, J.; Liu, Y.; Li, E.; Peng, J.; Liang, Z. A Review on State-of-the-Art Power Line Inspection Techniques. IEEE Trans. Instrum. Meas. 2020, 69, 9350–9365. [Google Scholar] [CrossRef]
- Zhou, R.; Jiang, W.; Jiang, S. A Novel Method for High-Voltage Bundle Conductor Reconstruction from Airborne LiDAR Data. Remote Sens. 2018, 10, 2051. [Google Scholar] [CrossRef]
- Zhao, P.; Yang, W.; Feng, Y.; Li, F.; Huang, X. Construction of 3D Scene of Transmission Line Corridor Based on GIM and 3D GIS. J. Phys. Conf. Ser. 2021, 2005, 012083. [Google Scholar] [CrossRef]
- Li, Q.; Chen, Z.; Hu, Q. A Model-Driven Approach for 3D Modeling of Pylon from Airborne LiDAR Data. Remote Sens. 2015, 7, 11501–11524. [Google Scholar] [CrossRef]
- Tang, Q.; Zhang, L.; Lan, G.; Shi, X.; Duanmu, X.; Chen, K. A Classification Method of Point Clouds of Transmission Line Corridor Based on Improved Random Forest and Multi-Scale Features. Sensors 2023, 23, 1320. [Google Scholar] [CrossRef] [PubMed]
- Zhu, S.; Li, Q.; Zhao, J.; Zhang, C.; Zhao, G.; Li, L.; Chen, Z.; Chen, Y. A Deep-Learning-Based Method for Extracting an Arbitrary Number of Individual Power Lines from UAV-Mounted Laser Scanning Point Clouds. Remote Sens. 2024, 16, 393. [Google Scholar] [CrossRef]
- Guo, B.; Huang, X.; Li, Q.; Zhang, F.; Zhu, J.; Wang, C. A Stochastic Geometry Method for Pylon Reconstruction from Airborne LiDAR Data. Remote Sens. 2016, 8, 243. [Google Scholar] [CrossRef]
- Yang, L.; Kong, S.; Deng, J.; Li, H.; Liu, Y. DRA-Net: A Dual-Branch Residual Attention Network for Pixelwise Power Line Detection. IEEE Trans. Instrum. Meas. 2023, 72, 5010813. [Google Scholar] [CrossRef]
- Wang, G.; Wang, L.; Wu, S.; Zu, S.; Song, B. Semantic Segmentation of Transmission Corridor 3D Point Clouds Based on CA-PointNet++. Electronics 2023, 12, 2829. [Google Scholar] [CrossRef]
- Shen, Y.; Yang, Y.; Jiang, J.; Wang, J.; Huang, J.; Ferreira, V.; Chen, Y. A Novel Method to Segment Individual Wire from Bundle Conductor Using UAV-LiDAR Point Cloud Data. Measurement 2023, 211, 112603. [Google Scholar] [CrossRef]
- Han, W. Three-dimensional power tower modeling with airborne LiDAR data. J. Yangtze River Sci. Res. Inst. 2012, 29, 122–126. [Google Scholar] [CrossRef]
- Zhou, R.; Jiang, W.; Huang, W.; Xu, B.; Jiang, S. A Heuristic Method for Power Pylon Reconstruction from Airborne LiDAR Data. Remote Sens. 2017, 9, 1172. [Google Scholar] [CrossRef]
- Camuffo, E.; Mari, D.; Milani, S. Recent Advancements in Learning Algorithms for Point Clouds: An Updated Overview. Sensors 2022, 22, 1357. [Google Scholar] [CrossRef]
- Qiao, Y.; Xi, X.; Nie, S.; Wang, P.; Guo, H.; Wang, C. Power Pylon Reconstruction from Airborne LiDAR Data Based on Component Segmentation and Model Matching. Remote Sens. 2022, 14, 4905. [Google Scholar] [CrossRef]
- Chen, S.; Wang, C.; Dai, H.; Zhang, H.; Pan, F.; Xi, X.; Yan, Y.; Wang, P.; Yang, X.; Zhu, X.; et al. Power Pylon Reconstruction Based on Abstract Template Structures Using Airborne LiDAR Data. Remote Sens. 2019, 11, 1579. [Google Scholar] [CrossRef]
- Silva, F.; Amaro, N. Transmission Tower Classification Using Point Cloud Similarity. In Proceedings of the APCA International Conference on Automatic Control and Soft Computing, Caparica, Portugal, 6–8 July 2022; pp. 609–618. [Google Scholar]
- Chen, Z.; Lan, Z.; Long, H.; Hu, Q. 3D Modeling of Pylon from Airborne LiDAR Data. In Proceedings of the Remote Sensing of the Environment: 18th National Symposium on Remote Sensing of China, Wuhan, China, 14 May 2014; p. 915807. [Google Scholar]
- Wang, H.; Hu, T.; Wang, Z.; Kang, Z.; Akwensi, P.H.; Yang, J. Reconstruction of Power Pylons from LiDAR Point Clouds Based on Structural Segmentation and Parameter Estimation. IEEE Geosci. Remote Sens. Lett. 2022, 19, 1–5. [Google Scholar] [CrossRef]
- Zhang, M.; Su, X.; Xu, H.; Li, H.; Wang, D. Transmission Tower Category Identification from Airborne LiDAR Point Clouds Based on Shape Curve. In Proceedings of the 3rd International Conference on Mechatronics, Automation and Intelligent Control, Guilin, China, 15–17 September 2023; p. 012026. [Google Scholar] [CrossRef]
- Principi, E.; Squartini, S.; Cambria, E.; Piazza, F. Acoustic Template-Matching for Automatic Emergency State Detection: An ELM Based Algorithm. Neurocomputing 2015, 149, 426–434. [Google Scholar] [CrossRef]
- Obaid, M.; Hodrob, R.; Abu Mwais, A.; Aldababsa, M. Small Vocabulary Isolated-Word Automatic Speech Recognition for Single-Word Commands in Arabic Spoken. Soft Comput. 2023, 1–14. [Google Scholar] [CrossRef]
- Salvador, S.; Chan, P. Toward Accurate Dynamic Time Warping in Linear Time and Space. IDA 2007, 11, 561–580. [Google Scholar] [CrossRef]
- Gao, Y.; Yang, Y.; Ma, Y.; Xu, W. Study on Intelligent Diagnosis of Railway Turnout Switch Based on Improved FastDTW and Time Series Segmentation under Big Data Monitoring. Math. Probl. Eng. 2022, 2022, 7048813. [Google Scholar] [CrossRef]
- Yeo, K.; Yin, O.S.; Han, P.Y.; Kwee, W.K. Real Time Mobile Application of In-Air Signature with Fast Dynamic Time Warping (FastDTW). In Proceedings of the 2015 IEEE International Conference on Signal and Image Processing Applications (ICSIPA), Kuala Lumpur, Malaysia, 19–21 October 2015; pp. 315–320. [Google Scholar]
- Barbay, J. Adaptive Computation of the Discrete Fréchet Distance. In Proceedings of the String Processing and Information Retrieval, Lima, Peru, 14 September 2018; pp. 50–60. [Google Scholar]
- Avraham, R.B.; Filtser, O.; Kaplan, H.; Katz, M.J.; Sharir, M. The Discrete and Semicontinuous Fréchet Distance with Shortcuts via Approximate Distance Counting and Selection. ACM Trans. Algorithms 2015, 11, 1–29. [Google Scholar] [CrossRef]
- Ali, M.; Hussain, Z.; Yang, M.-S. Hausdorff Distance and Similarity Measures for Single-Valued Neutrosophic Sets with Application in Multi-Criteria Decision Making. Electronics 2022, 12, 201. [Google Scholar] [CrossRef]
Disclaimer/Publisher’s Note: The statements, opinions and data contained in all publications are solely those of the individual author(s) and contributor(s) and not of MDPI and/or the editor(s). MDPI and/or the editor(s) disclaim responsibility for any injury to people or property resulting from any ideas, methods, instructions or products referred to in the content. |
© 2024 by the authors. Licensee MDPI, Basel, Switzerland. This article is an open access article distributed under the terms and conditions of the Creative Commons Attribution (CC BY) license (https://creativecommons.org/licenses/by/4.0/).












