Quality Assessment of Light Field Images Based on Adaptive Attention in ViT
Abstract
1. Introduction
- After selecting the sub-aperture images in four directions, we input them in sequences of three consecutive images. This approach reduces redundant information in the input images without compromising the integrity of the light field image information, thereby improving training efficiency.
- Based on the ViT architecture, we designed an adaptive learnable attention layer that incorporates strategies such as diagonal masking and learnable temperature coefficients. These adaptive strategies mitigate the lack of inductive bias in ViT, enabling it to achieve better performance on small datasets.
2. Related Work
2.1. Light-Field Image-Quality Assessment
2.2. Quality Assessment of Light Field Images Based on Deep Learning
3. Method
3.1. Input
- Image grayscale conversionGrayscale conversion of the input SAI group refers to setting each pixel of the image to a single color, resulting in a grayscale representation of the image. This means converting the original image, which has three channels, into a single-channel image, making it more convenient for processing. Additionally, grayscale reflects important information such as light intensity, which can be used to extract edge information and improve network computation speed.In this method, we first randomly divide the dataset into an 80:20 ratio, where 80 percent is allocated to the training set and 20 percent to the test set. As described above, taking a light field image with an angular resolution of 9 × 9 and a spatial resolution of 434 × 625 as an example, we consider the image sequence of each light field image , denoted as SAI-IS. The original dimension of each image subsequence is (9,434,625). After grayscale conversion, the 3-channel image becomes a 1-channel image, reducing the dimension of to (3,434,625). Therefore, the final input image sequence, SAI-IS, has a dimension of (4,3,434,625).
- Image standardization and normalizationStandardization, in simple terms, involves calculating the variance and mean of each channel’s data, then subtracting the mean and dividing by the variance for each data point within each channel. This process yields normalized results. In deep learning image processing, after standardization, data can better respond to activation functions, enhancing data expressiveness, and reducing the occurrence of gradient explosion and vanishing. Normalizing images involves adjusting the magnitude of feature values to a similar range by dividing all pixel values by the maximum pixel value. This can reduce computational costs and improve efficiency.
3.2. The ViT with Adaptive Attention Mechanism
- Diagonal maskingFrom the token calculation mechanism, it can be observed that the self-token lies on the diagonal, which represents the dot product with itself. At this point, diagonal masking plays a crucial role in enhancing the scores for token interactions. Specifically, the values on the diagonal components are set to , as shown in the following equation. This ensures that the attention of ViT is more focused on other tokens rather than itself. The specific calculation formula is shown in Equation (7):where is each component of the masked similarity matrix.
- Learnable temperature coefficientIn a standard ViT, the temperature in Softmax is a constant, typically the square root of the dimensionality, used for normalization. However, the learnable temperature coefficient allows ViT to determine the temperature of the Softmax during the learning process. Figure 6 illustrates the average learning temperature based on depth when the Softmax temperature is used as a learnable parameter in the equation. It can be observed that the average learning temperature is lower than the temperature coefficient in standard ViT. Generally, a lower temperature in Softmax sharpens the score distribution. Therefore, the learnable temperature scaling makes the distribution of attention scores clearer.
4. Experiment
4.1. Experimental Procedure
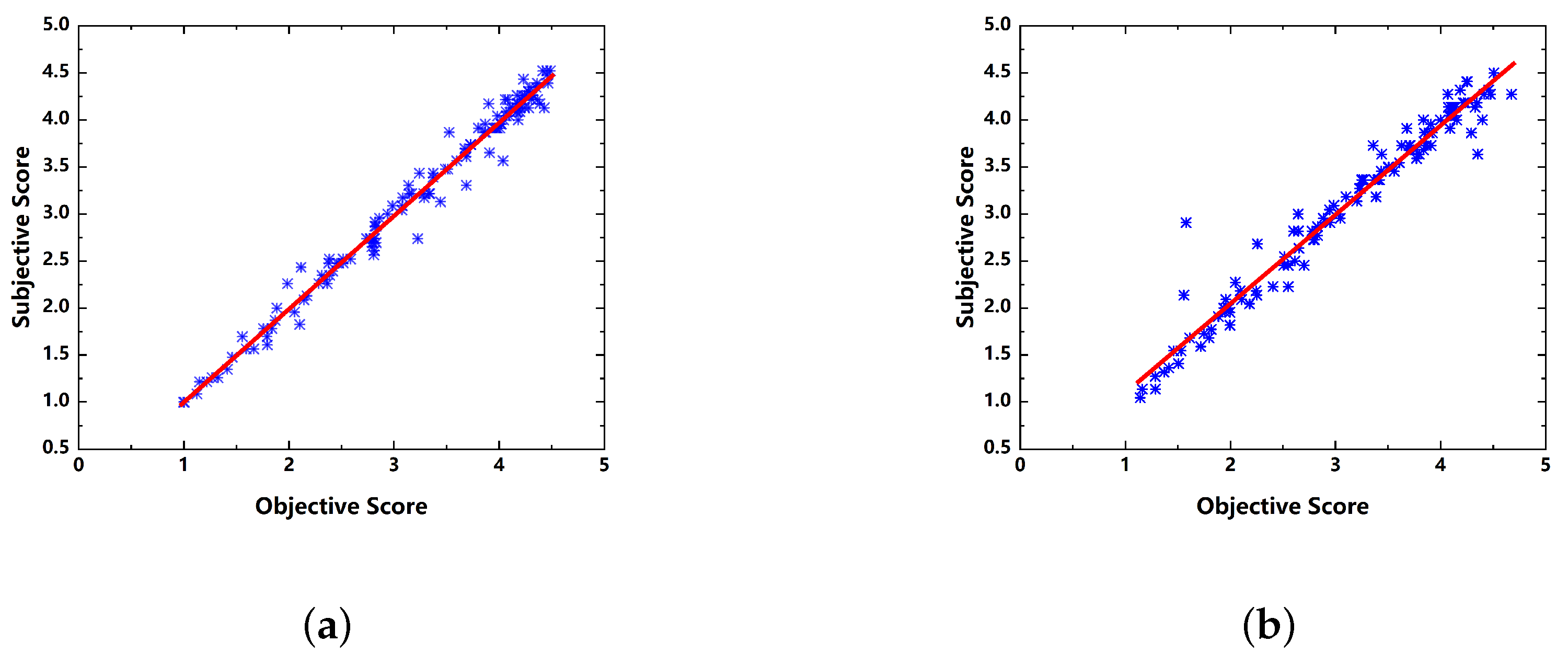
4.2. Performance Analysis
4.3. Ablation Experiment
4.4. Performance Analysis of Different Distortion Types
4.5. Discussion
5. Conclusions
- Designing a multi-view sub-aperture image sequence input method, reducing redundant information in input images and improving training efficiency.
- Designing an adaptive learnable attention layer based on ViT, incorporating adaptive strategies such as diagonal masking and learnable temperature coefficients, effectively mitigating the issue of ViT’s lack of inductive bias.
Author Contributions
Funding
Data Availability Statement
Conflicts of Interest
Abbreviations
| Adaptive Vision Transformer-based Light-Field Image-Quality Assessment | AViT-LFIQA |
| Vision Transformer | ViT |
| Human Visual System | HVS |
| Sub-aperture Images | SAIs |
| Light Field Images | LFIs |
| Blind Quality Evaluator Of Light Field Image | BELIF |
| No-reference light-field image-quality assessment | NR-LFQA |
| Mean Difference Image | MDI |
| Curvelet Multi-scale and Multi-directional decomposition | CMMD |
| Combining Tensor Slice and Singular Value for Blind light-field image-quality Assessment | TSSV-LFIQA |
| Long Short-Term Memory deep neural network | LSTM-DNN |
| Natural Language Processing | NLP |
| Transformer for Image Quality | TRIQ |
| Image Quality Transformer | IQT |
| Mean Squared Error | MSE |
| Multilayer Perceptron | MLP |
| SAI Image Sequences | SAI-IS |
| Position Embeddings | PEs |
| Adaptive Multi-Attention | AMA |
| Feed Forward Network | FFN |
| Layer Normalization | LN |
| Pearson Linear Correlation Coefficient | PLCC |
| Spearman Rank Correlation Coefficient | SPOCC |
| Root Mean Square Error | RMSE |
References
- Fang, Y.; Wei, K.; Hou, J.; Wen, W.; Imamoglu, N. Light filed image quality assessment by local and global features of epipolar plane image. In Proceedings of the 2018 IEEE Fourth International Conference on Multimedia Big Data (BigMM), Xi’an, China, 13–16 September 2018; pp. 1–6. [Google Scholar]
- Shan, L.; An, P.; Meng, C.; Huang, X.; Yang, C.; Shen, L. A no-reference image quality assessment metric by multiple characteristics of light field images. IEEE Access 2019, 7, 127217–127229. [Google Scholar] [CrossRef]
- Xiang, J.; Yu, M.; Chen, H.; Xu, H.; Song, Y.; Jiang, G. VBLFI: Visualization-based blind light field image quality assessment. In Proceedings of the 2020 IEEE International Conference on Multimedia and Expo (ICME), London, UK, 6–10 July 2020; pp. 1–6. [Google Scholar]
- Tian, Y.; Zeng, H.; Xing, L.; Chen, J.; Zhu, J.; Ma, K.K. A multi-order derivative feature-based quality assessment model for light field image. J. Vis. Commun. Image Represent. 2018, 57, 212–217. [Google Scholar] [CrossRef]
- Meng, C.; An, P.; Huang, X.; Yang, C.; Liu, D. Full reference light field image quality evaluation based on angular-spatial characteristic. IEEE Signal Process. Lett. 2020, 27, 525–529. [Google Scholar] [CrossRef]
- Min, X.; Zhou, J.; Zhai, G.; Le Callet, P.; Yang, X.; Guan, X. A metric for light field reconstruction, compression, and display quality evaluation. IEEE Trans. Image Process. 2020, 29, 3790–3804. [Google Scholar] [CrossRef] [PubMed]
- Tian, Y.; Zeng, H.; Hou, J.; Chen, J.; Zhu, J.; Ma, K.K. A light field image quality assessment model based on symmetry and depth features. IEEE Trans. Circuits Syst. Video Technol. 2020, 31, 2046–2050. [Google Scholar] [CrossRef]
- Huang, H.; Zeng, H.; Hou, J.; Chen, J.; Zhu, J.; Ma, K.K. A spatial and geometry feature-based quality assessment model for the light field images. IEEE Trans. Image Process. 2022, 31, 3765–3779. [Google Scholar] [CrossRef] [PubMed]
- Meng, C.; An, P.; Huang, X.; Yang, C.; Shen, L.; Wang, B. Objective quality assessment of lenslet light field image based on focus stack. IEEE Trans. Multimed. 2021, 24, 3193–3207. [Google Scholar] [CrossRef]
- Paudyal, P.; Battisti, F.; Carli, M. Reduced reference quality assessment of light field images. IEEE Trans. Broadcast. 2019, 65, 152–165. [Google Scholar] [CrossRef]
- Shi, L.; Zhao, S.; Chen, Z. BELIF: Blind quality evaluator of light field image with tensor structure variation index. In Proceedings of the 2019 IEEE International Conference on Image Processing (ICIP), Taipei, Taiwan, 22–25 September 2019; pp. 3781–3785. [Google Scholar]
- Luo, Z.; Zhou, W.; Shi, L.; Chen, Z. No-reference light field image quality assessment based on micro-lens image. In Proceedings of the 2019 Picture Coding Symposium (PCS), Ningbo, China, 12–15 November 2019; pp. 1–5. [Google Scholar]
- Shi, L.; Zhou, W.; Chen, Z.; Zhang, J. No-reference light field image quality assessment based on spatial-angular measurement. IEEE Trans. Circuits Syst. Video Technol. 2019, 30, 4114–4128. [Google Scholar] [CrossRef]
- Zhou, W.; Shi, L.; Chen, Z.; Zhang, J. Tensor oriented no-reference light field image quality assessment. IEEE Trans. Image Process. 2020, 29, 4070–4084. [Google Scholar] [CrossRef]
- Cui, Y.; Yu, M.; Jiang, Z.; Peng, Z.; Chen, F. Blind light field image quality assessment by analyzing angular-spatial characteristics. Digit. Signal Process. 2021, 117, 103138. [Google Scholar] [CrossRef]
- Pan, Z.; Yu, M.; Jiang, G.; Xu, H.; Ho, Y.S. Combining tensor slice and singular value for blind light field image quality assessment. IEEE J. Sel. Top. Signal Process. 2021, 15, 672–687. [Google Scholar] [CrossRef]
- Xiang, J.; Yu, M.; Jiang, G.; Xu, H.; Song, Y.; Ho, Y.S. Pseudo video and refocused images-based blind light field image quality assessment. IEEE Trans. Circuits Syst. Video Technol. 2020, 31, 2575–2590. [Google Scholar] [CrossRef]
- Zhao, P.; Chen, X.; Chung, V.; Li, H. Low-complexity deep no-reference light field image quality assessment with discriminative EPI patches focused. In Proceedings of the 2021 IEEE International Conference on Consumer Electronics (ICCE), Las Vegas, NV, USA, 10–12 January 2021; pp. 1–6. [Google Scholar]
- Guo, Z.; Gao, W.; Wang, H.; Wang, J.; Fan, S. No-reference deep quality assessment of compressed light field images. In Proceedings of the 2021 IEEE International Conference on Multimedia and Expo (ICME), Shenzhen, China, 5–9 July 2021; pp. 1–6. [Google Scholar]
- Lamichhane, K.; Battisti, F.; Paudyal, P.; Carli, M. Exploiting saliency in quality assessment for light field images. In Proceedings of the 2021 Picture Coding Symposium (PCS), Bristol, UK, 29 June–2 July 2021; pp. 1–5. [Google Scholar]
- Alamgeer, S.; Farias, M.C. No-reference light field image quality assessment method based on a long-short term memory neural network. In Proceedings of the 2022 IEEE International Conference on Multimedia and Expo Workshops (ICMEW), Taipei City, Taiwan, 18–22 July 2022; pp. 1–6. [Google Scholar]
- Vaswani, A.; Shazeer, N.; Parmar, N.; Uszkoreit, J.; Jones, L.; Gomez, A.N.; Kaiser, Ł.; Polosukhin, I. Attention is all you need. Adv. Neural Inf. Process. Syst. 2017, 30. [Google Scholar] [CrossRef]
- Chen, M.; Radford, A.; Child, R.; Wu, J.; Jun, H.; Luan, D.; Sutskever, I. Generative pretraining from pixels. In Proceedings of the International Conference on Machine Learning, PMLR, Virtual, 13–18 July 2020; pp. 1691–1703. [Google Scholar]
- Carion, N.; Massa, F.; Synnaeve, G.; Usunier, N.; Kirillov, A.; Zagoruyko, S. End-to-end object detection with transformers. In Proceedings of the European Conference on Computer Vision, Glasgow, UK, 23–28 August 2020; Springer: Berlin/Heidelberg, Germany, 2020; pp. 213–229. [Google Scholar]
- You, J.; Korhonen, J. Transformer for image quality assessment. In Proceedings of the 2021 IEEE International Conference on Image Processing (ICIP), Anchorage, AK, USA, 19–22 September 2021; pp. 1389–1393. [Google Scholar]
- Cheon, M.; Yoon, S.J.; Kang, B.; Lee, J. Perceptual image quality assessment with transformers. In Proceedings of the IEEE/CVF Conference on Computer Vision and Pattern Recognition, Nashville, TN, USA, 20–25 June 2021; pp. 433–442. [Google Scholar]
- Ramachandran, P.; Parmar, N.; Vaswani, A.; Bello, I.; Levskaya, A.; Shlens, J. Stand-alone self-attention in vision models. Adv. Neural Inf. Process. Syst. 2019, 32. [Google Scholar] [CrossRef]
- Qu, Q.; Chen, X.; Chung, Y.Y.; Cai, W. Lfacon: Introducing anglewise attention to no-reference quality assessment in light field space. IEEE Trans. Vis. Comput. Graph. 2023, 29, 2239–2248. [Google Scholar] [CrossRef]
- Zhang, Z.; Tian, S.; Zou, W.; Morin, L.; Zhang, L. Pvblif: A pseudo video-based blind quality assessment metric for light field image. IEEE J. Sel. Top. Signal Process. 2023, 17, 1193–1207. [Google Scholar] [CrossRef]
- Shi, L.; Zhao, S.; Zhou, W.; Chen, Z. Perceptual evaluation of light field image. In Proceedings of the 2018 25th IEEE International Conference on Image Processing (ICIP), Athens, Greece, 7–10 October 2018; pp. 41–45. [Google Scholar]
- Huang, Z.; Yu, M.; Jiang, G.; Chen, K.; Peng, Z.; Chen, F. Reconstruction distortion oriented light field image dataset for visual communication. In Proceedings of the 2019 International Symposium on Networks, Computers and Communications (ISNCC), Washington, DC, USA, 22–25 October 2019; pp. 1–5. [Google Scholar]
- Wang, Z.; Li, Q. Information content weighting for perceptual image quality assessment. IEEE Trans. Image Process. 2010, 20, 1185–1198. [Google Scholar] [CrossRef]
- Wang, Z.; Bovik, A.C.; Sheikh, H.R.; Simoncelli, E.P. Image quality assessment: From error visibility to structural similarity. IEEE Trans. Image Process. 2004, 13, 600–612. [Google Scholar] [CrossRef]
- Zhang, L.; Zhang, L.; Mou, X.; Zhang, D. FSIM: A feature similarity index for image quality assessment. IEEE Trans. Image Process. 2011, 20, 2378–2386. [Google Scholar] [CrossRef]
- Wang, Z.; Simoncelli, E.P.; Bovik, A.C. Multiscale structural similarity for image quality assessment. In Proceedings of the Thirty-Seventh Asilomar Conference on Signals, Systems & Computers, Pacific Grove, CA, USA, 9–12 November 2003; Volume 2, pp. 1398–1402. [Google Scholar]
- Meng, C.; An, P.; Huang, X.; Yang, C.; Chen, Y. Image quality evaluation of light field image based on macro-pixels and focus stack. Front. Comput. Neurosci. 2022, 15, 768021. [Google Scholar] [CrossRef] [PubMed]










| IQA | Models | Win5-LID | NBU-LF1.0 | |||||
|---|---|---|---|---|---|---|---|---|
| PLCC | SROCC | RMSE | PLCC | SROCC | RMSE | |||
| 2D-FR IQA | IWSSIM | 0.7712 | 0.7425 | 0.6394 | 0.8071 | 0.8045 | 0.5461 | |
| SSIM | 0.7731 | 0.7384 | 0.6381 | 0.7424 | 0.7223 | 0.6197 | ||
| FSIM | 0.7635 | 0.7237 | 0.6547 | 0.8157 | 0.8106 | 0.5351 | ||
| MS-SSIM | 0.7801 | 0.7478 | 0.6319 | 0.8083 | 0.8125 | 0.5447 | ||
| NR-LFIQA | BELIF | 0.8955 | 0.8701 | 0.4467 | 0.8713 | 0.8254 | 0.4490 | |
| NR-LFQA | 0.9231 | 0.9033 | 0.3856 | 0.8783 | 0.8551 | 0.4323 | ||
| Tensor-NLFQ | 0.9124 | 0.8988 | 0.4108 | 0.8335 | 0.7796 | 0.5062 | ||
| VBLFI | 0.9232 | 0.9009 | 0.3505 | 0.7934 | 0.7439 | 0.5568 | ||
| FR-LFIQA | MDFM | 0.7790 | 0.7353 | 0.6325 | 0.7635 | 0.7354 | 0.5902 | |
| MPFS | 0.6742 | 0.7142 | — | 0.8833 | 0.8754 | 0.4336 | ||
| RVI | 0.9302 | 0.9003 | 0.3650 | 0.9104 | 0.9051 | 0.4108 | ||
| BS | 0.9405 | 0.9218 | 0.3790 | 0.9280 | 0.8905 | 0.3905 | ||
| AViT | 0.9638 | 0.9846 | 0.2208 | 0.9400 | 0.9308 | 0.2931 |
| Win5-LID | NBU-LF1.0 | ||||
|---|---|---|---|---|---|
| PLCC | SROCC | PLCC | SROCC | ||
| Normal attention + Single Sub-Aperture Image | 0.8501 | 0.8103 | 0.8309 | 0.7917 | |
| AMA + Single Sub-Aperture Image | 0.9070 | 0.9106 | 0.8965 | 0.9028 | |
| Normal attention + SAI-IS | 0.9202 | 0.9180 | 0.9098 | 0.9187 | |
| AMA + SAI-IS | 0.9638 | 0.9846 | 0.9400 | 0.9308 |
| Distortion Type | PLCC | SROCC | RMSE |
|---|---|---|---|
| NN | 0.9626 | 0.8878 | 0.2388 |
| LN | 0.9626 | 0.8467 | 0.2120 |
| HEVC | 0.9199 | 0.8998 | 0.4044 |
| JPEG | 0.9858 | 0.9588 | 0.2098 |
| USCD | 0.9835 | 0.9663 | 0.2028 |
| EPICNN | 0.7056 | 0.7765 | 0.2309 |
| Overall | 0.9638 | 0.9846 | 0.2208 |
| Distortion Type | PLCC | SROCC | RMSE |
|---|---|---|---|
| NN | 0.9386 | 0.9206 | 0.3786 |
| EPICNN | 0.8389 | 0.7714 | 0.5639 |
| BI | 0.9951 | 0.8000 | 0.1465 |
| VDSR | 0.9619 | 0.9445 | 0.3231 |
| DR | 0.9308 | 0.8070 | 0.3168 |
| Overall | 0.9400 | 0.9308 | 0.2931 |
Disclaimer/Publisher’s Note: The statements, opinions and data contained in all publications are solely those of the individual author(s) and contributor(s) and not of MDPI and/or the editor(s). MDPI and/or the editor(s) disclaim responsibility for any injury to people or property resulting from any ideas, methods, instructions or products referred to in the content. |
© 2024 by the authors. Licensee MDPI, Basel, Switzerland. This article is an open access article distributed under the terms and conditions of the Creative Commons Attribution (CC BY) license (https://creativecommons.org/licenses/by/4.0/).
Share and Cite
Du, Y.; Lang, W.; Hu, X.; Yu, L.; Zhang, H.; Zhang, L.; Wu, Y. Quality Assessment of Light Field Images Based on Adaptive Attention in ViT. Electronics 2024, 13, 2985. https://doi.org/10.3390/electronics13152985
Du Y, Lang W, Hu X, Yu L, Zhang H, Zhang L, Wu Y. Quality Assessment of Light Field Images Based on Adaptive Attention in ViT. Electronics. 2024; 13(15):2985. https://doi.org/10.3390/electronics13152985
Chicago/Turabian StyleDu, Yifan, Wei Lang, Xinwen Hu, Li Yu, Hua Zhang, Lingjun Zhang, and Yifan Wu. 2024. "Quality Assessment of Light Field Images Based on Adaptive Attention in ViT" Electronics 13, no. 15: 2985. https://doi.org/10.3390/electronics13152985
APA StyleDu, Y., Lang, W., Hu, X., Yu, L., Zhang, H., Zhang, L., & Wu, Y. (2024). Quality Assessment of Light Field Images Based on Adaptive Attention in ViT. Electronics, 13(15), 2985. https://doi.org/10.3390/electronics13152985
