Next Article in Journal
An Effective Mechanism for FOG Computing Assisted Function Based on Trustworthy Forwarding Scheme (IOT)
Previous Article in Journal
Influence of Post-Processing Techniques on Random Number Generation Using Chaotic Nanolasers
 
 
Font Type:
Arial Georgia Verdana
Font Size:
Aa Aa Aa
Line Spacing:
Column Width:
Background:
Article

Research on Line Maintenance Strategies Considering Dynamic Island Partitioning in Distribution Areas under Adverse Weather Conditions

1
Economic and Technological Research Institute of State Grid Fujian Electric Power Co., Ltd., Fuzhou 350011, China
2
School of Electrical Engineering and Automation, Harbin Institute of Technology, Harbin 150001, China
*
Author to whom correspondence should be addressed.
Electronics 2024, 13(14), 2714; https://doi.org/10.3390/electronics13142714
Submission received: 24 May 2024 / Revised: 6 July 2024 / Accepted: 10 July 2024 / Published: 11 July 2024

Abstract

As global climate change intensifies, extreme weather events are becoming more frequent, with ice disasters posing an increasingly significant threat to the stable operation of power distribution networks. Particularly during power outages for de-icing, multiple power islands may form within a distribution area, increasing the complexity of grid operations. Existing research has not fully considered the comprehensive coordination of stable operation of these power islands and de-icing maintenance schedules. Therefore, for the potential multi-island operation of distribution networks caused by freezing disasters, this paper first establishes a dynamic island partitioning model based on distribution network reconfiguration technology. Secondly, based on the characteristics of the de-icing phase, a de-icing maintenance schedule model is established. Finally, dispatch optimization of the distribution network is coordinated with the line de-icing maintenance schedule. By adjusting the de-icing strategies and network structure, the aim is to minimize the risk of load loss. The relevant case analysis indicates that the collaborative optimization model established in this paper helps power distribution networks to reduce their economic losses when facing adverse weather conditions.

1. Introduction

With the intensification of global climate change and the frequent occurrence of extreme weather events, the safety and stability of power distribution networks, as an important part of the power system, are directly related to the orderly progress of social production and people’s lives [1,2,3,4]. Therefore, building a strong power distribution network and enhancing the ability of power distribution to cope with extreme weather conditions have become important challenges that the current power industry needs to address urgently.
The National Development and Reform Commission and the National Energy Administration pointed out in the “Guiding Opinions on the High-Quality Development of Power Distribution Networks under New Circumstances” [5] that it is necessary to build a digitalized strong power grid that is “strong in climate resilience, strong in safety resilience, strong in regulatory flexibility, and strong in protection capability”. Ice and snow disasters, as common severe weather events in power grids, have a particularly significant impact on power distribution networks. Under ice and snow disasters, power distribution networks face multiple challenges. On the one hand, ice and snow covering power lines may lead to line icing [6,7], which can cause serious accidents, such as line breaks and tower collapses, affecting the power supply and resulting in economic losses; on the other hand, ice and snow disasters may also affect the normal operation of new energy equipment. For example, wind turbines in the power distribution network may experience ice accretion on blades and transmission system jamming under ice and snow coverage, leading to reduced power generation efficiency or even shutdown [8,9]; distributed photovoltaic panels in the power distribution network may also reduce the power generation capacity under snow cover conditions [10,11]. Therefore, under the conditions of extremely low temperatures and ice and snow coverage, the normal operation of power equipment is affected, and the power supply reliability of the power distribution system is reduced. How to improve the anti-icing ability of the power system and reduce the impact of ice disasters on the power system has become an urgent problem that the power industry needs to solve.
In the field of studying the impact of ice disasters on distribution networks, developing effective response methods and models is crucial for enhancing the resilience and reliability assessment of power grids. Lu et al. conducted an in-depth analysis of the characteristics of the Hunan power grid under ice-covered conditions, providing valuable data support for a reliability assessment under ice disaster conditions [12]. Lian et al. further introduced a resilience evaluation model for power systems based on a cascading failure graph, specifically targeting disturbances that extreme weather events such as ice storms might cause [13]. The research by Billinton and Singh focused on exploring reliability assessment modeling for transmission and distribution systems under extreme weather conditions [14]. Panteli et al. proposed a set of strategies for modeling, probabilistic impact assessment, and adaptation measures for the vulnerability of power systems to extreme weather, aiming to provide strategic guidance for system resilience in power grid design [15]. A study by Li et al. focused on an assessment of the importance of power system components, providing methodological support for enhancing the resilience of power grids under storm conditions. Although this study mainly targeted storms, its methods are also applicable to ice disaster scenarios [16]. Bahrami et al. emphasized the application of mobile and portable de-icing equipment in enhancing the resistance of distribution systems to ice storms, providing a new perspective on technical applications. While the aforementioned literature offers multi-faceted solutions for the stable operation of power grids under extreme weather conditions, none have addressed the integration of power grid dispatch and de-icing strategies [17].
The joint optimization of flexible power grid scheduling and de-icing plans has attracted attention from relevant scholars. In the existing literature, different studies have explored this issue from their unique perspectives. For instance, Reference [18] only considered the de-icing plan for transmission lines and did not integrate it with the power generation plan for the grid. Reference [19] coordinated the ground operations of aircraft and de-icing resources to improve the de-icing efficiency. Reference [20] enhanced the resilience of the transmission network during ice storms by combining the de-icing plan for lines with the power generation plan for the distribution network. Reference [21] explored the optimal routing strategy for mobile de-icing equipment on congested roads to improve the resilience of the distribution system during ice storms. Reference [22] proposed an optimal anti-icing and de-icing coordination scheme to enhance the resilience of the distribution network during ice storms, also considering the application of soft open points (SOPs) within the distribution network.
Although the aforementioned literature has studied de-icing plans and network optimization from different perspectives, they all neglect the potential issue that the implementation of de-icing maintenance plans may lead to the shutdown of certain lines in the distribution network, resulting in the problem of islanded operation. Therefore, it is necessary to conduct related research on islanded operation using network reconfiguration technology. Additionally, if the de-icing maintenance plan is not reasonably formulated, it may cause load shedding in the grid. Therefore, a comparison between this paper and the other literature is shown in the Table 1:
Based on the above analysis, during the line de-icing and maintenance process, certain lines will be out of service due to maintenance, which may result in multiple distribution network islands. To maintain the stable operation of each island, each island must have black-start power sources, and the distribution network of each island must still meet the radial topology constraints. In this context, studying the network reconfiguration and SOPs becomes particularly critical, as they are the technical guarantees of achieving reasonable island partitioning and economic optimization. Especially when facing extreme weather events such as ice disasters, the network reconfiguration and optimization control strategies of the distribution network are of paramount importance.
In the field of distribution network optimization, the application of SOPs and network reconfiguration technologies has received extensive research attention. Reference [23] explored the distributed coordination of SOPs and their application to network reconfiguration, aiming to enhance the resilience of the integrated energy system. Reference [24] highlighted the role of SOPs in facilitating service restoration in coordination with distributed generation; and another document analyzed the joint deployment of SOPs and remote-controlled switches to optimize the operational efficiency under extreme weather conditions [25]. These research results can provide technical support for the stable operation of distribution networks in the face of extreme weather events such as ice disasters. However, there is currently no literature that simultaneously considers the coordination of distribution network reconfiguration and line de-icing maintenance plans.
Therefore, exploring ways to enhance the ability of distribution networks to cope with extreme weather conditions is of great significance for ensuring the safe and stable operation of power systems. The implementation of line de-icing maintenance plans may result in the shutdown of certain lines in the distribution network, leading to the formation of multiple distribution network islands. If the line de-icing maintenance plan and island partitioning strategy are not properly formulated, it may cause load shedding issues.
In summary, this paper aims to explore the comprehensive application of dynamic island partitioning strategies based on network reconfiguration technology and line de-icing maintenance plans to enhance the disaster resistance of distribution networks in the context of extreme weather events, such as ice disasters. The main contributions of this study are summarized as follows:
(1)
A dynamic island partitioning model based on distribution network reconfiguration technology is proposed. This model can adapt to multiple island scenarios that may occur in the distribution network during different periods of ice disasters, thereby improving the flexibility and adaptability of grid operation.
(2)
A line de-icing maintenance plan model is established based on the characteristics of the de-icing phase. Compared with the de-icing models in the existing literature, this model is more intuitive and comprehensive and can be transformed into a linear model for solutions.
By adjusting the de-icing strategies and network structures, the model proposed in this paper aims to minimize the risk of load shedding, i.e., reducing power supply interruptions caused by grid failures, thereby mitigating economic losses under adverse weather conditions.

2. Methods for Enhancing the Resilience of Distribution Networks in Freezing Weather

During an ice disaster, an ice layer adheres to the power distribution lines, significantly increasing the weight of the lines. As the thickness of the ice layer increases, it may cause the lines to deform and even break. At the same time, the adhesion of ice reduces the mechanical strength of the lines, making them brittle due to temperature changes, increasing the risk of fracture. In addition, the attachment of ice to the wires affects their electrical conductivity, especially when the ice layer is uneven, which can lead to an uneven distribution of current and affect the efficiency of power transmission.
In view of these factors, there is an urgent need to develop corresponding de-icing models to effectively deal with ice layers and minimize their impact on normal production and life. To realize the organic unification of the de-icing scheduling scheme and the distribution network reconstruction scheme, the scheduling time in this paper is based on a cycle of one snow and ice disaster.

2.1. Impact of Snow and Ice Hazards on Distribution Lines

To analyze the freezing hazard, first, we calculate the growth of ice cover on each line, and the line ice cover growth model [26] can be expressed as:
Δ h = 1 ρ 1 π ρ 0 S i 2 + 3600 V i W i α d 2
where the density of ice is denoted by ρ1, and the density of freezing rain is denoted by ρ0. Si refers to the precipitation rate in the area of the studied distribution network. Wi is the liquid water content of the air, and the wind speed in the distribution area is denoted by Vi. αd is a correction coefficient to reflect the effect of micro-topographic factors on the rate of ice overlay, which varies according to the enhancement or diminution of wind speed by the topography and is taken to be 1.0 in plain terrain.
According to Equation (1), the growth rate of ice cover on distribution lines susceptible to ice damage can be established:
Δ H i j , t f = Δ h i j , t t
where Δ h i j , t is the natural increment of ice cover thickness of line ij at moment t without human intervention, and t is the number of time periods since the ice storm began.

2.2. De-Icing Strategy

After an ice disaster occurs, to maintain the stability of the power system, prevent damage to and the collapse of lines and towers due to icing, and avoid greater economic losses caused by faults, timely de-icing operations should be performed on the lines and associated wind turbines.
To ensure the effectiveness and efficiency of de-icing operations, it is essential to allocate de-icing personnel and related equipment rationally. During de-icing operations, the relevant lines and equipment usually need to be temporarily taken out of service to ensure safety. This requires full consideration of the operational status of the grid and the power demand of users when scheduling de-icing operations, arranging outages reasonably to minimize the impact on grid stability and user power consumption. The characteristics of the de-icing process that need to be comprehensively considered are as follows:
(1)
Icing characteristics of the lines: Different lines have different icing growth rates due to their locations and designs.
(2)
Limitations of de-icing resources: Mobile de-icing devices are used to de-ice vulnerable lines, and there are limitations on the number of de-icing devices and the duration of de-icing.
(3)
The de-icing process of lines mainly includes the following steps: Power off to check the equipment status, perform de-icing operations according to the predetermined plan, check the de-icing effect, and restore line operations.

2.3. An Island Partitioning Strategy Based on Network Reconfiguration

This paper analyzes a distribution grid as a unit. Under normal operating conditions, the distribution network presents radial constraints. However, when an ice and snow disaster occur, part of the distribution lines may fail, causing changes in the network topology. In this case, some power supply nodes may become islands due to line de-icing maintenance, and it is necessary to use distributed generation (DG) with black-start capabilities within the distribution network to maintain the power supply.
During the de-icing maintenance period, the unique characteristic of the root node of the lines may no longer be satisfied. To minimize the impact of de-icing maintenance on loads, it is necessary to use SOPs and tie switches to reconfigure the network so that each partitioned island line meets the constraints of radial topology and connectivity.
Through distribution network reconfiguration, islands can be dynamically partitioned at different times, thereby optimizing the topology of the power grid during ice disasters. A reasonable distribution network reconfiguration scheme not only ensures the safe implementation of de-icing operations but also minimizes the impact on user power consumption.

3. Establishment of a Network Restructuring and Ice Melting Model

Distribution lines may fail after an ice storm, and the reconfiguration of the network will gradually change as maintenance personnel gradually restore and maintain the distribution lines.

3.1. Objective Function

The objective function of the co-optimization model developed in this paper consists of minimizing the network loss cost f loss , the load shedding cost f load , the distributed generation (DG) operation cost f DG , and the ice melting cost f line .
  min F = f loss + f load + f DG + f line = t T ( α loss ( i , j ) N line I i j , t 2 R i j Δ t + α load i N load P i , t loadf P i , t load Δ t + α DG i N DG P i , t DG Δ t + α line ( i , j ) W ice μ i j , t   )
where T is the total number of scheduling periods during the freezing disaster; α loss , α load , α DG and α line are network loss, load cutting, DG operation, and ice melting cost coefficients, respectively; the set Wice contains all the lines in the power distribution network that require de-icing; NDG is the set of DG nodes; and Nload is the set of load nodes. P i , t load is the load power on node i.

3.2. Network Restructuring and Island Partitioning Constraints

(1)
Radial and connected basic constraints on distribution network operation
β i j , t + β j i , t = α i j , t i j W i N ( j ) β i j , t = 1 j N / N f α i j , t = 0 i , j N e α i , t , α i j , t ,    β i j , t { 0 , 1 } i N , i j W
where the switching state of line ij at time t is denoted by the 0–1 variable αij,t, and the energization state of distribution node i at time t is denoted by the 0–1 variable αi,t, where the energization state is 1. In addition, βij,t serves as a 0–1 auxiliary variable to indicate whether node i is the parent of node j, which is 1 if it is yes, and 0 if it is not. The set N contains all the nodes in the distribution network. The set N(i) contains all the nodes connected to node i. The set Ne contains all the nodes involved in the faulty line; the set Nf contains all the root nodes of the line, and N/Nf denotes the set of all the nodes except the root node. The second equation in (4) emphasizes that all nodes except the root node must and can only have one parent node.
(2)
Single-commodity flow constraints
When line maintenance is required during a freezing disaster, the network topology will be changed, and the related constraints need to be improved to ensure that the radial shape of the distribution network can still be satisfied after line restoration. Further refinement of the network topology constraints is carried out here using the single-commodity flow method [27,28]. Assume that the demand of each load node is 1, Fij,t is the virtual tidal current of line ij, Di,t is the virtual power emitted by node i with power supply, m i DG is the state of DG at node i, and M is a sufficiently large auxiliary constant.
The virtual power of each line as well as each node under the single-commodity flow method can then be expressed as
j N 1 ( i ) F i j , t + α t , i = k N 2 ( i ) F k i , t + D i , t , i N , t
α i j , t M F i j , t α i j , t M , i , j N , t
0 D i , t m i DG M
i j W α i j , t = i N α t , i i N DG m i DG
Equation (5) denotes the virtual tidal current constraint of the line at each time period and each node; Equation (6) denotes the relationship between the line’s on/off state and virtual current; Equation (7) constrains the state and output of the virtual power supply; and Equation (8) indicates that the number of restored lines in the power supply grid is equal to the number of restored nodes minus the number of DG systems that can independently form islands. Establishing the above topology change constraints can be realized to ensure that the lines still meet the topology requirements of the radial shape of the distribution network for each island after an ice storm.

3.3. Power Distribution Network Operational Constraints

(1)
SOP Operational Constraints
SOP runs should satisfy the following constraints:
P t , i SOP + P t , j SOP = 0 Q t , i SOP + Q t , j SOP = 0 P min i P t , i SOP P max i Q min j Q t , j SOP Q max j P t , i SOP 2 + Q t , i SOP 2 S i SOP 2 P t , j SOP 2 + Q t , j SOP 2 S j SOP 2
where P t , i SOP and P t , j SOP denote the active power of the SOPs of node i and node j in time period t. P min j and P max j are the active power output limits. Q t , i SOP and Q t , j SOP are the reactive power of these two nodes in the same time period. Q min j and Q max j are the reactive power output limits.
(2)
Node voltage range constraints
The voltage at each node of the distribution network needs to be framed within safe limits.
U min U i , t U max
At time period t, the voltage value of node i is denoted by Ui,t, and the maximum and minimum limits of the node voltage are denoted by Umax and Umin, respectively.
(3)
Branch current range constraints
The branch currents of the distribution network need to meet a certain range.
I i j , t I i j , max
The current magnitude from node i to node j at time period t is denoted as I i j , t ; the maximum current magnitude limit from node i to node j is Iij,max.
(4)
Network trend constraints
Considering the network reconfiguration condition, the distribution line current equation can be expressed as
k Ψ i α i k , t P i k , t = j Φ i α j i , t P j i , t R j i I j i , t 2 + P t , i k Ψ i α i k , t Q i k , t = j Φ i α j i , t Q j i , t X j i I j i , t 2 + Q t , i
U j , t 2 U t , i 2 = 2 P j i , t r j i + Q j i , t x j i r j i 2 + x j i 2 I j i , t 2 , α j i = 1
P j i , t 2 + Q j i , t 2 = U j , t 2 I j i , t 2 , α j i = 1
Here, we define the set of nodes at the first end of the branch with node i as the terminal ϕ i ; we define the set of nodes at the end of the branch with node i as the beginning ψ i ; the total active and total reactive power injected into node i in time period t is denoted as P i , t and Q i , t ; and the active and reactive power from node j to node i is denoted as P j i , t and Q j i , t . Equations (12)–(14) in the above equation is non-convex, and Equation (15) relaxes it, and for the broken branch circuit, its active power, reactive power, and branch current are all zero.
α i j , t M 1 P i j , t α i j , t M 1 α i j , t M 2 Q i j , t α i j , t M 2 α i j , t M 3 I i j , t α i j , t M 3
Thus, the equation of the tidal current (12)–(14) can be equated to
k Ψ i P i k , t = j Φ i P j i , t R j i I j i , t 2 + P t , i k Ψ i Q i k , t = j Φ i Q j i , t X j i I j i , t 2 + Q t , i
P i , t = P i , t DG + P i , t buy + P i , t SOP P i , t load Q i , t = Q i , t D G + Q i , t SOP Q i , t load
U i , t 2 U j , t 2 2 P j i , t r i j + Q j i , t x j i r j i 2 + x j i 2 I j i , t 2 + M 4 1 α j i , t U i , t 2 U j , t 2 2 P j i , t r j i + Q j i , t x j i r j i 2 + x j i 2 I j i , t 2 M 4 1 α j i , t
P j i , t 2 + Q j i , t 2 = U j , t 2 I j i , t 2
where M1, M2, M3, and M4 denote larger constant values. The resistance and reactance of branch ji are denoted as R ji and X ji , respectively.
In Equation (16), (18), and (19), in which the non-convex constraint term still exists, the above constraints are transformed by replacing I t , i j 2 and U t , i j 2 by using the variable substitutions I ^ t , i j and U ^ t , i j and relaxation. The system tidal current constraints, node voltage constraints, and branch tidal current constraints can further be expressed as, respectively,
k Ψ i P i k , t = j Φ i P j i , t R j i I ^ j i , t + P i , t k Ψ i Q i k , t = j Φ i Q j i , t X j i I ^ j i , t + Q i , t
U ^ j , t   U ^ i , t   2 P j i , t r i j + Q j i , t x j i r j i 2 + x j i 2 I ^ j i , t   + M 4 1 α j i U ^ j , t   U ^ i , t   2 P j i , t r j i + Q j i , t x j i r j i 2 + x j i 2 I ^ j i , t   M 4 1 α j i
2 P i j , t 2 Q i j , t I ^ i j , t U ^ i j , t T 2 I ^ i j , t + U ^ i j , t

3.4. Line Ice Melt Constraints

We define 0–1 variables ν i j , t st , ν i j , t end to indicate whether ice melting has started or ended for the distribution line (the value of starting/ending ice melting is 1; otherwise, it is 0), and we define another 0–1 variable μ i j , t   to indicate whether the distribution line is in an ice melting state (the value of being in ice melting state is 1; otherwise, it is 0). Among them, the duration of ice melting is Tmelt, and when ice melting is not occurring, the thickness of ice cover of the line grows naturally according to Equation (2). Then, the line ice cover thickness can be expressed as follows:
(1)
ν i j , t st and μ i j , t   relationship constraints
The following constraints are required to ensure ν i j , t st only has a value of 1 when it transitions from a melting to a non-melting state and is 0 the rest of the time:
ν i j , t st μ i j , t 1 ν i j , t st 1 μ i j , t   ν i j , t st μ i j , t 1   μ i j , t   μ i j , t   , ν i j , t st { 0 , 1 }
Constraints (23) ensure that ν i j , t st is 1 only when μ i j , t 1   = 1 and μ i j , t   = 0. This ensures that ν i j , t st can be ensured to only be 1 when transitioning from a melting to a non-melting state and 0 otherwise.
(2)
ν i j , t end and μ i j , t relationship constraints
The following constraints need to be set to ensure that ν i j , t end only has a value of 1 when it transitions from a non-melting state to a melting state and is 0 the rest of the time:
ν i j , t end 1 μ i j , t 1   ν i j , t end μ i j , t   ν i j , t end μ i j , t   μ i j , t 1   μ i j , t   , ν i j , t end { 0 , 1 }
(3)
Relationship constraints
ν i j , t st + ν i j , t end 1
Constraint (25) indicates that melting and non-melting operations do not occur simultaneously.
(4)
Melting ice state will last for a bounded period
Each melting state will last for Tmelt time periods, using the following constraints to ensure that at any melting start moment t, the melting state will last for Tmelt time periods:
μ i j , t + 1   + μ i j , t + 2   + + μ i j , t + T melt 1 T melt ν i j , t st ν i j , t st = ν i j , t + T melt end
This constraint ensures that if melting starts at moment t (i.e., ν i j , t st = 1), then the next Tmelt − 1 moments will also be in a melting state.
(5)
Ice melting resource constraints
There is an upper limit on the number of lines that can be simultaneously melted at a given time due to the constraints of the manpower and equipment involved in melting ice:
i j W ice μ i j , t   U sum
Here, Usum is the upper limit of the number of lines to be melted simultaneously.
(6)
Ice melting and line operating condition constraints
When the line is melted for ice maintenance, the related line needs to be shut down, i.e., α i j , t = 0. In addition, the line that is not melted can be reconfigured to improve the power quality and satisfy the network reconfiguration:
α i j , t 1 μ i j , t  
(7)
Line Ice Coverage State Constraints
Changes in line ice cover need to be discussed for two scenarios:
(1)
Non-ice melting hours;
(2)
Ice melting hours.
In the ice melting time period, the relevant distribution line’s ice cover thickness grows according to the growth rate; in the non-ice melting time period, in order to facilitate the modeling, at the beginning of the ice melting process, it is assumed that the ice cover thickness of the distribution line is changed to 0, and this lasts until the end of the melting time period; then, the relevant constraints can be expressed as follows:
h i j , t = h i j , t 1   + Δ H i j , t ν i j , t st h i j , t 1  
Formula (29) means that the ice cover thickness of the line in a certain time period is equal to the thickness of the previous time period plus the ice cover growth in the current time period, where the increment is expressed as
Δ H i j , t = ( 1 μ i j , t   ) Δ H i j , t f
Formula (30) indicates that the ice cover increment of the line is the ice cover increment in the natural state only during the non-melt period, and the ice cover increment is zero during the melt period.
(8)
Line Ice Coverage Melting Constraints
During the development of line ice cover, it needs to be ensured that the thickness of the ice cover on all lines should not exceed the safe limits of ice cover for which the line was designed, i.e., the constraints:
h i j , t h i j max
where is the allowable ice cover limit for line ij.
At the same time, in order to save manpower and material resources, ice melting treatment should be implemented when the ice cover of the line has a certain thickness, i.e,
μ i j , t   = { 0 , 1 } , h i j , t h i j min 0 , h i j , t < h i j min
Equation (32) can be equated to
h i j , t + M 1 μ i j , t   h i j min
The above equation indicates that ice melting operation is performed only when the line ice cover thickness exceeds the limit value ( μ i j , t   = 1).

4. Case Studies

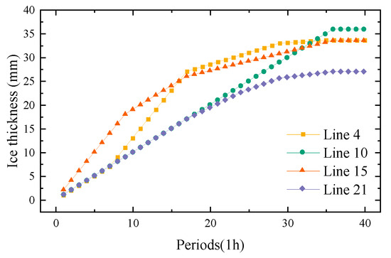
In this paper, cases are solved using the Gurobi 10.0.1 solver in the Python 3.8 environment and executed on a computer with an Intel i7-12700 CPU and 16G RAM. A total of 33 nodes in the distribution network are selected to be analyzed, and the system topology is as seen in Figure 1, where nodes 4–5 (line 4), 10–11 (line 10), 15–16 (line 15), and 21–22 (line 21) are lines prone to ice overlay, where dotted lines are lines where SOPs are installed, and in the event of an ice disaster, the distributed power supply with black-start capability will be dispatched at nodes 9, 20, 23, and 29. Let the ice melting time of each line be 4 h, the total cycle time period for the occurrence of an ice disaster be 40 h, the limit value of the ice cover for each distribution line be 12 mm, and the thickness of the ice cover that triggers line de-icing be 4 mm. The growth rate of the ice cover of each line in the distribution network in the natural state is as shown in Figure 2.
In this paper, two arithmetic examples are set up for comparative analysis:
Model 1: Co-optimization of the distribution network reconfiguration and distribution network ice melting.
Model 2: The distribution network line ice melting and maintenance plan is developed first, and the network reconfiguration plan is developed after.
Here, the line ice melting maintenance program with non-joint scheduling only minimizes the ice melting cost as an objective function.

4.1. Line Ice Melt Constraints

The line ice melting maintenance plan under the two dispatching modes is shown in Figure 3 and Figure 4. The thickness of ice cover of each line under the two methods is shown in Figure 5 and Figure 6.
As can be seen from the scheduling results in the above figures, in the scheme of joint optimal scheduling of the network reconfiguration and ice melting in the distribution network, the ice melting is relatively high in actual operation due to the adoption of a comprehensive scheduling strategy that is able to consider the optimization of the network reconfiguration and ice melting operations at the same time. In contrast, the non-joint scheduling approach determines the ice melting strategy first and optimizes it with the goal of minimizing the ice melting cost, which leads to fewer ice melting operations in practice. Although both scheduling methods can ensure that the ice thickness of all ice-prone lines is controlled below 12 mm, thus ensuring the safe operation of the lines, in evaluation after an ice storm, we can observe that the non-joint scheduling method, due to a reduction in the number of ice melting periods, improves the average value of the ice thickness for the ice-prone lines compared with the joint scheduling method.

4.2. Scheduling Objective Result Analysis

The network loss cost and load shedding cost in Table 2 correspond to terms f loss and f load in Equation (3), respectively.
Table 2 demonstrates a comparison of the operating costs under both joint and non-joint scheduling. Specifically, the cost of the net loss is $27.1 in joint scheduling, while it is $36.8 in non-joint scheduling. This difference indicates that the joint scheduling approach is more effective in reducing network losses, which is due to the fact that joint scheduling considers both ice melting operations and network reconfiguration in the optimization process, thus achieving more accurate energy allocation and loss control. Secondly, the cost of joint scheduling in terms of the load cutting cost is $0, while in non-joint scheduling, the load cutting cost is $218.3. This comparison shows that the joint dispatch strategy is more cost-effective in maintaining grid stability, avoiding unnecessary load shedding measures and thus reducing operating costs.
Analyzing the above reasons and the fact that the cost of load loss is much higher than the cost of ice melting, the results obtained from independent optimization of Mode 2 are actually only a part of a feasible solution set generated in the joint optimization process of Model 1, and thus Model 2 can obtain superior scheduling results relative to Model 1.

4.3. Analysis of the Distribution Network Dispatching Plan and Islanding Results

The topology changes for each line and the results of the DG operation are shown in Figure 7 and Figure 8.
Through the analysis of Figure 7, we find that the power distribution lines can effectively achieve economically optimal operation of the entire system under ice disaster conditions through network reconfiguration at different time periods. Further observation of Figure 8 reveals that some network islanding may occur during the implementation of network reconfiguration. To address this issue, DG with black-start capabilities needs to be utilized to provide power, ensuring that these isolated networks can maintain their radial power supply structure. By analyzing the operation time of these black-start power sources, we can find that they are mainly activated during the de-icing phase of the distribution lines.
Based on the closed and disconnected status of each line in the distribution network and the operation status of the units with black-start capability, this paper selects three representative ice melting time periods—time period 7, time period 25, and time period 34—to carry out a topology analysis of the lines. These three periods correspond to the beginning, middle, and end of ice development. The results of network restructuring and island partitioning for each time period can be seen in Figure 9, Figure 10 and Figure 11.
After a comprehensive analysis of the power grid’s topological structure at different times, it is observed that during the initial and middle stages of an ice disaster, certain ice-covered lines are disconnected to facilitate effective de-icing operations. As the disaster progresses to its later stages, we re-evaluate and adjust the status of other lines to optimize the economic performance, aiming for the most economical operation of the entire power grid system. During an ice storm, the distribution network effectively meets the customer power demand by activating distributed generation (DG) sources with black-start capabilities. Furthermore, through line network reconfiguration, the distribution network maintains the radial structure of the lines, ensuring a continuous power supply and validating the effectiveness and practicality of the model presented in this paper.

5. Conclusions

This paper addresses the impact of extreme weather events on the stability of distribution networks, particularly the issue of multiple island operations caused by ice disasters. In response to this issue, a new strategy is proposed in this paper, which is based on network reconfiguration technology, to achieve joint optimization of dynamic island partitioning and operation, as well as line de-icing maintenance schedules, ensuring that each island can operate stably during ice disasters. The case analysis confirms that the model can achieve effective partitioning of islands and reduce the loss of load compared to non-joint scheduling. In this paper, some reasonable assumptions are made to simplify the model and facilitate the analysis. However, in future research, it is recommended to consider more grid support constraints. For example, technologies such as electric vehicle management can be included in the stability support measures to further enhance the distribution network’s ability to resist extreme weather events.

Author Contributions

Conceptualization, H.C.; formal analysis, L.Z.; methodology, Y.G.; software, W.X.; supervision, Y.G.; writing—original draft, W.X.; writing—review and editing, Y.L. All authors have read and agreed to the published version of the manuscript.

Funding

This research was supported by the Science and Technology Project of the State Grid Fujian Electric Power Co., Ltd., grant number 52130N230011.

Data Availability Statement

The data that support the findings of this study are available from the corresponding author upon reasonable request.

Conflicts of Interest

Author Hao Chen and Linyao Zhang are employed by Economic and Technological Research Institute of State Grid Fujian Electric Power Co. Ltd. The remaining authors declare that the research was conducted in the absence of any commercial or financial relationships that could be construed as a potential conflict of interest.

References

  1. Panteli, M.; Mancarella, P. Modeling and Evaluating the Resilience of Critical Electrical Power Infrastructure to Extreme Weather Events. IEEE Syst. J. 2017, 11, 1733–1742. [Google Scholar] [CrossRef]
  2. Abi-Samra, N.C.; Malcolm, W.P. Extreme Weather Effects on Power Systems. In Proceedings of the 2011 IEEE Power and Energy Society General Meeting, Detroit, MI, USA, 24–28 July 2011; pp. 1–5. [Google Scholar] [CrossRef]
  3. Liu, Y.; Zhong, J. Risk Assessment of Power Systems under Extreme Weather Conditions—A Review. In Proceedings of the 2017 IEEE Manchester PowerTech, Manchester, UK, 18–22 June 2017; pp. 1–6. [Google Scholar] [CrossRef]
  4. Jufri, F.H.; Widiputra, V.; Jung, J. State-of-The-Art Review on Power Grid Resilience to Extreme Weather Events: Definitions, Frameworks, Quantitative Assessment Methodologies, and Enhancement Strategies. Appl. Energy 2019, 239, 1049–1065. [Google Scholar] [CrossRef]
  5. National Development and Reform Commission, National Energy Administration. National Energy Administration’s Guiding Opinions on the High-Quality Development of Distribution Grids in the New Situation. 6 February 2024. Available online: https://www.gov.cn/zhengce/zhengceku/202403/content_6935790.htm (accessed on 6 May 2024).
  6. Wang, L.; Chen, Z.; Zhang, W.; Lu, Z.; Cheng, Y.; Qu, X.; Gul, C.; Yang, Y. The Causes and Forecasting of Icing Events on Power Transmission Lines in Southern China: A Review and Perspective. Atmosphere 2023, 14, 1815. [Google Scholar] [CrossRef]
  7. Zhang, Z.; Zhang, H.; Yue, S.; Zeng, W. A Review of Icing and Anti-Icing Technology for Transmission Lines. Energies 2023, 16, 601. [Google Scholar] [CrossRef]
  8. Martini, F.; Contreras Montoya, L.T.; Ilinca, A. Review of Wind Turbine Icing Modelling Approaches. Energies 2021, 14, 5207. [Google Scholar] [CrossRef]
  9. Chuang, Z.; Yi, H.; Chang, X.; Liu, H.; Zhang, H.; Xia, L. Comprehensive Analysis of the Impact of the Icing of Wind Turbine Blades on Power Loss in Cold Regions. J. Mar. Sci. Eng. 2023, 11, 1125. [Google Scholar] [CrossRef]
  10. Quan, Z.; Lu, H.; Zheng, C.; Zhao, W.; Xu, Y.; Qin, J.; An, F. Experimental Measurement and Numerical Simulation on the Snow-Cover Process of Solar Photovoltaic Modules and Its Impact on Photoelectric Conversion Efficiency. Coatings 2023, 13, 427. [Google Scholar] [CrossRef]
  11. Williams, R.; Lizzadro-McPherson, D.; Pearce, J. The Impact of Snow Losses on Solar Photovoltaic Systems in North America in the Future. Energy Adv. 2023, 2, 1634–1649. [Google Scholar] [CrossRef]
  12. Lu, J.; Zeng, M.; Zeng, X.; Fang, Z.; Yuan, J. Analysis of Ice-Covering Characteristics of China Hunan Power Grid. IEEE Trans. Ind. Appl. 2015, 51, 1997–2002. [Google Scholar] [CrossRef]
  13. Lian, X.; Qian, T.; Li, Z.; Chen, X.; Tang, W. Resilience Assessment for Power System Based on Cascading Failure Graph under Disturbances Caused by Extreme Weather Events. Int. J. Electr. Power Energy Syst. 2023, 145, 108616. [Google Scholar] [CrossRef]
  14. Billinton, R.; Singh, G. Application of Adverse and Extreme Adverse Weather: Modelling in Transmission and Distribution System Reliability Evaluation. IEE Proc. Gener. Transm. Distrib. 2006, 153, 115. [Google Scholar] [CrossRef]
  15. Panteli, M.; Pickering, C.; Wilkinson, S.; Dawson, R.; Mancarella, P. Power System Resilience to Extreme Weather: Fragility Modeling, Probabilistic Impact Assessment, and Adaptation Measures. IEEE Trans. Power Syst. 2017, 32, 3747–3757. [Google Scholar] [CrossRef]
  16. Li, G.; Huang, G.; Bie, Z.; Lin, Y.; Huang, Y. Component Importance Assessment of Power Systems for Improving Resilience under Wind Storms. J. Mod. Power Syst. Clean Energy 2019, 7, 676–687. [Google Scholar] [CrossRef]
  17. Bahrami, A.; Yan, M.; Shahidehpour, M.; Pandey, S.; Vukojevic, A.; Paaso, E.A. Mobile and Portable De-Icing Devices for Enhancing the Distribution System Resilience against Ice Storms: Preventive Strategies for Damage Control. IEEE Electrif. Mag. 2021, 9, 120–129. [Google Scholar] [CrossRef]
  18. Hou, Y.; Wang, X.; Zhang, Y. Multi-Objective Transmission Line De-Icing Outage Optimal Scheduling Framework. IET Gener. Transm. Distrib. 2016, 10, 3865–3874. [Google Scholar] [CrossRef]
  19. Su, J.; Hu, M.; Yin, J.; Liu, Y. Integrated Optimization of Aircraft Surface Operation and De-Icing Resources at Multi De-Icing Zones Airport. IEEE Access 2023, 11, 56008–56026. [Google Scholar] [CrossRef]
  20. Yan, M.; Ai, X.; Shahidehpour, M.; Li, Z.; Wen, J.; Bahramira, S.; Paaso, A. Enhancing the Transmission Grid Resilience in Ice Storms by Optimal Coordination of Power System Schedule with Pre-Positioning and Routing of Mobile DC De-Icing Devices. IEEE Trans. Power Syst. 2019, 34, 2663–2674. [Google Scholar] [CrossRef]
  21. Yan, M.; Shahidehpour, M.; Paaso, A.; Zhang, L.; Alabdulwahab, A.; Abusorrah, A. Distribution System Resilience in Ice Storms by Optimal Routing of Mobile Devices on Congested Roads. IEEE Trans. Smart Grid 2021, 12, 1314–1328. [Google Scholar] [CrossRef]
  22. Zhang, L.; Li, C.; Wu, M.; Li, Y.W.; Cai, Y.; Li, Y.; Wang, Q.; Tang, W. Optimal Anti-Icing and De-Icing Coordination Scheme for Resilience Enhancement in Distribution Networks against Ice Storms. IEEE Trans. Smart Grid 2024, 15, 3486–3498. [Google Scholar] [CrossRef]
  23. Wang, K.; Wang, K.; Wang, K.; Xue, Y.; Xue, Y.; Zhou, Y.; Li, Z.; Li, Z.; Chang, X.; Chang, X.; et al. Distributed Coordinated Reconfiguration with Soft Open Points for Resilience-Oriented Restoration in Integrated Electric and Heating Systems. Appl. Energy 2024, 365, 123207. [Google Scholar] [CrossRef]
  24. Saaklayen, M.A.; Liang, X.; Faried, S.O.; Martirano, L.; Sutherland, P.E. Soft Open Point-Based Service Restoration Coordinated with Distributed Generation in Distribution Networks. IEEE Trans. Ind. Appl. 2023, 60, 2554–2566. [Google Scholar] [CrossRef]
  25. Yang, X.; Zhou, Z.; Zhang, Y.; Liu, J.; Wen, J.; Wu, Q.; Cheng, S. Resilience-Oriented Co-Deployment of Remote-Controlled Switches and Soft Open Points in Distribution Networks. IEEE Trans. Power Syst. 2023, 38, 1350–1365. [Google Scholar] [CrossRef]
  26. Jones, K.F.; Ramsay, A.C.; Lott, J.N. Icing Severity in the December 2002 Freezing-Rain Storm from ASOS Data. Mon. Weather Rev. 2004, 132, 1630–1644. [Google Scholar] [CrossRef]
  27. Wang, Y.; Xu, Y.; Li, J.; He, J.; Wang, X. On the Radiality Constraints for Distribution System Restoration and Reconfiguration Problems. IEEE Trans. Power Syst. 2020, 35, 3294–3296. [Google Scholar] [CrossRef]
  28. Ding, T.; Lin, Y.; Li, G.; Bie, Z. A New Model for Resilient Distribution Systems by Microgrids Formation. IEEE Trans. Power Syst. 2017, 32, 4145–4147. [Google Scholar] [CrossRef]
Figure 1. Distribution line topology.
Figure 1. Distribution line topology.
Electronics 13 02714 g001
Figure 2. The variation in ice thickness on power lines under natural conditions.
Figure 2. The variation in ice thickness on power lines under natural conditions.
Electronics 13 02714 g002
Figure 3. Ice melting plan under joint scheduling.
Figure 3. Ice melting plan under joint scheduling.
Electronics 13 02714 g003
Figure 4. Ice melting plan under non-joint scheduling.
Figure 4. Ice melting plan under non-joint scheduling.
Electronics 13 02714 g004
Figure 5. Ice thickness on lines under joint scheduling.
Figure 5. Ice thickness on lines under joint scheduling.
Electronics 13 02714 g005
Figure 6. Ice thickness on lines under non-joint scheduling.
Figure 6. Ice thickness on lines under non-joint scheduling.
Electronics 13 02714 g006
Figure 7. Opening and closing of lines during various periods.
Figure 7. Opening and closing of lines during various periods.
Electronics 13 02714 g007
Figure 8. Status of DG switches.
Figure 8. Status of DG switches.
Electronics 13 02714 g008
Figure 9. Line topology in time period 7.
Figure 9. Line topology in time period 7.
Electronics 13 02714 g009
Figure 10. Line topology in time period 25.
Figure 10. Line topology in time period 25.
Electronics 13 02714 g010
Figure 11. Line topology in time period 34.
Figure 11. Line topology in time period 34.
Electronics 13 02714 g011
Table 1. Comparison of de-icing strategies in this study with other literature.
Table 1. Comparison of de-icing strategies in this study with other literature.
ReferenceDe-Icing PlanNetwork OptimizationSOPsNetwork ReconfigurationIsland Operation
[18]××××
[19]××××
[20]×××
[21]×××
[22]××
This paper
Note: √ and × indicate whether the item is considered in the listed references, respectively.
Table 2. Comparison of operating costs under different scheduling methods.
Table 2. Comparison of operating costs under different scheduling methods.
Cost Item ($)Joint DispatchNon-Joint Dispatch
network loss cost27.136.8
load shedding cost0218.3
Disclaimer/Publisher’s Note: The statements, opinions and data contained in all publications are solely those of the individual author(s) and contributor(s) and not of MDPI and/or the editor(s). MDPI and/or the editor(s) disclaim responsibility for any injury to people or property resulting from any ideas, methods, instructions or products referred to in the content.

Share and Cite

MDPI and ACS Style

Chen, H.; Guo, Y.; Xu, W.; Zhang, L.; Liu, Y. Research on Line Maintenance Strategies Considering Dynamic Island Partitioning in Distribution Areas under Adverse Weather Conditions. Electronics 2024, 13, 2714. https://doi.org/10.3390/electronics13142714

AMA Style

Chen H, Guo Y, Xu W, Zhang L, Liu Y. Research on Line Maintenance Strategies Considering Dynamic Island Partitioning in Distribution Areas under Adverse Weather Conditions. Electronics. 2024; 13(14):2714. https://doi.org/10.3390/electronics13142714

Chicago/Turabian Style

Chen, Hao, Yufeng Guo, Wei Xu, Linyao Zhang, and Yifei Liu. 2024. "Research on Line Maintenance Strategies Considering Dynamic Island Partitioning in Distribution Areas under Adverse Weather Conditions" Electronics 13, no. 14: 2714. https://doi.org/10.3390/electronics13142714

APA Style

Chen, H., Guo, Y., Xu, W., Zhang, L., & Liu, Y. (2024). Research on Line Maintenance Strategies Considering Dynamic Island Partitioning in Distribution Areas under Adverse Weather Conditions. Electronics, 13(14), 2714. https://doi.org/10.3390/electronics13142714

Note that from the first issue of 2016, this journal uses article numbers instead of page numbers. See further details here.

Article Metrics

Back to TopTop