The Power Board of the KM3NeT Digital Optical Module: Design, Upgrade, and Production
Abstract
1. Introduction
2. Design and Architecture of the Power Board
- The filter block at the input voltage of the PB, which removes the high-frequency noise generated by the power converters at the DU base and breakout board;
- The hysteresis block, which prevents the PB from entering into an unstable state during startup and shutdown;
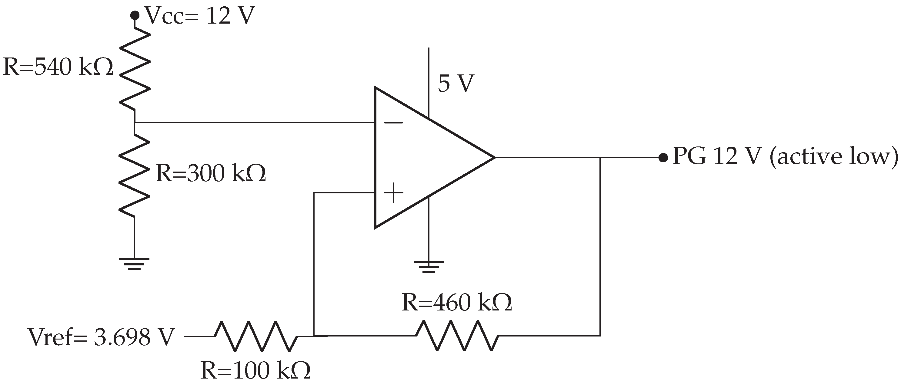
- The startup block, which allows the different voltages to start up monotonically as needed by the FPGA of the CLB;
- The Nanobeacon power supply controller, which controls the power supply of the Nanobeacon and can be configured through I2C;
- The monitoring system, which reads out the voltages and currents of every power rail, in addition to the temperature sensor.
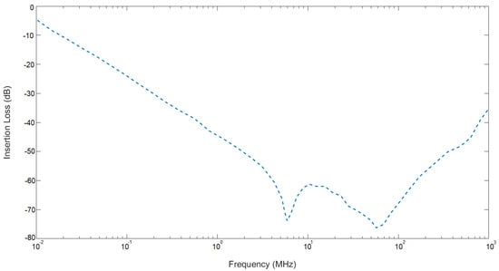
2.1. Input High-Frequency Filter
2.2. Hysteresis
2.3. Power Startup
2.4. DC/DC Rails
2.5. Nanobeacon
2.6. Monitoring System
2.7. Layout
2.8. Firmware
3. Power Board Upgrade
4. Reliability: FIDES and HALT
4.1. FIDES
4.2. HALT
5. Production Control
- The PCB production and assembly process must comply with standard IPC 6011 Class 3 [20].
- Solder paste masks should be generated using the given gerber files, choosing the pad-shrinking factor based on the solder paste and the mask thickness.
- Solder paste must be deposited on the PCB using automatic machines and the aforementioned masks for good uniformity.
- Solder paste deposition must be inspected before the PCB is populated.
- All surface-mounted device components must be placed using automatic pick and place machines.
- A reflow oven must be used for soldering the components.
- The boards must be identifiable. If the PCBs also have an individual identifying code from the producing company, an electronic file with the correspondence between the board label and the PCB label must be provided.
- The production must provide traceability of all procured components in accordance with IPC1782 [21] level 2 (M2), with level 3 (M3) traceability as a second option.
5.1. PCB Test Control
- 100% electrical continuity tests;
- Control of correspondence to IPC Class 3 on a sample of boards performing metallographic micro sections.
5.2. Component Assembly Test Control
- Identification of the board with an appropriate label;
- Automatic optical inspection on the positioning and soldering of components on all boards;
- X-ray inspection and verification of very thin quad flat non-leaded package components.
6. Functional Tests
- Set the input voltage to 12 V and power-on the system;
- Write down the measurements after 1 min and 5 min from power-on, and finally, once the test are finished and the boards are powered off, the results of the tests are stored in an electronic file.
7. Production and Reliability Results
8. Conclusions
Author Contributions
Funding
Data Availability Statement
Conflicts of Interest
References
- Adrián-Martínez1, S.; Ageron, M.; Aharonian, F.; Aiello, S.; Albert, A.; Ameli, F.; Anassontzis, E.; Andre, M.; Androulakis, G.; Anghinolfi, M.; et al. Letter of Intent for KM3NeT 2.0. J. Phys. G 2016, 43, 084001. [Google Scholar] [CrossRef]
- Aiello1, S.; Albert, A.; Alshamsi, M.; Garre, S.A.; Aly, Z.; Ambrosone, A.; Ameli, F.; Andre, M.; Androulakis, G.; Anghinolfi, M.; et al. The KM3NeT multi-PMT optical module. J. Instrum. 2022, 17, P07038. [Google Scholar] [CrossRef]
- Aiello1, S.; Akrame, S.E.; Ameli, F.; Anassontzis, E.G.; Andre, M.; Androulakis, G.; Anghinolfi, M.; Anton6, G.; Ardid, M.; Aublin, J.; et al. Characterisation of the Hamamatsu photomultipliers for the KM3NeT Neutrino Telescope. JINST 2018, 13, P05035. [Google Scholar] [CrossRef]
- Aiello, S.; Ameli, F.; Margiotta, A.; Andre, M.; Androulakis, G.; Anghinolfi, M.; Marinelli, A.; Anton, G.; Ardid, M.; Markou, C.; et al. KM3NeT front-end and readout electronics system: Hardware, firmware, and software. J. Astron. Telesc. Instrum. Syst. 2019, 5, 046001. [Google Scholar] [CrossRef]
- Aiello, S.; Albert, A.; Alshamsi, M.; Garre, S.A.; Aly, Z.; Ambrosone, A.; Ameli, F.; Andre, M.; Androulakis, G.; Anghinolfi, M.; et al. Nanobeacon: A time calibration device for the KM3NeT neutrino telescope. Nucl. Instrum. Methods Phys. Res. Sect. A 2022, 1040, 167132. [Google Scholar] [CrossRef]
- Saini, J.; Singaraju, R.N.; Santra, G.C.; Bhaskar, P. Low Voltage Distribution Board (LVDB) for ALICE Photon Multiplicity Detector. DAE Symp. Nucl. Phys. 2010, 55, 762–763. [Google Scholar]
- Hibbard, M.; Moayedi, S.; Hadavand, H.; Davoudi, A.; on behalf of the ATLAS Tile Calorimeter System. ATLAS TileCal low voltage power supply upgrade hardware and testing. Nucl. Instrum. Methods A 2019, 936, 112–114. [Google Scholar] [CrossRef]
- Aartsen, M.G.; Ackermann, M.; Adams, J.; Aguilar, J.A.; Ahlers, M.; Ahrens, M.; Altmann, D.; Andeen, K.; Anderson, T.; Ansseau, I.; et al. The IceCube Neutrino Observatory: Instrumentation and Online Systems. JINST 2017, 12, P03012. [Google Scholar] [CrossRef]
- Doertenbach, N. Highly Accelerated Life Testing—Testing with a Different Purpose. S.V. Sound Vib. 2001, 35, 18–23. [Google Scholar]
- Tanaka, M.; Shimura, K.; Sato, M.; Mizuno, T.; Matsuoka, T. Hybrid inductor for improving gain attenuation characteristics of a Pi filter circuit. Energy Rep. 2020, 6 (Suppl. S9), 446–451. [Google Scholar] [CrossRef]
- Schild, A.; Lunze, J.; Krupar, J.; Schwarz, W. Design of Generalized Hysteresis Controllers for DC–DC Switching Power Converters. IEEE Trans. Power Electron. 2009, 24, 138–146. [Google Scholar] [CrossRef]
- Shi, Y.; Li, Y.; Zhou, Y.; Xu, R.; Feng, D.; Yan, Z.; Fang, C. Optimal scheduling for power system peak load regulation considering short-time startup and shutdown operations of thermal power unit. Int. J. Electr. Power Energy Syst. 2021, 31, 107012. [Google Scholar] [CrossRef]
- Yin, J.; Beville, E. Chapter 183: Simple and compact 4-output point-of-load DC/DC μModule system. In Analog Circuit Design; Elsevier: Amsterdam, The Netherlands, 2015; pp. 385–386. [Google Scholar] [CrossRef]
- Aiello, S.; Albert, A.; Garre, S.A.; Aly, Z.; Ambrosone, A.; Ameli, F.; Andre, M.; Androutsou, E.; Anghinolfi, M.; Anguita, M.; et al. Embedded Software of the KM3NeT Central Logic Board. arXiv 2023, arXiv:2308.01032v2. [Google Scholar] [CrossRef]
- Texas Instruments. Application Report SNVA848A–October 2018–Revised November 2019; Texas Instruments: Dallas, TX, USA, 2019. [Google Scholar]
- Eurocopter, AIRBUS, Nexter, MBDA, and Thales. Reliability Methodology for Electronic Systems. Edition A. 2010. Available online: http://www.embedded.agh.edu.pl/www/fpga/dydaktyka/MPiMS/Data/UTE_FIDES_Guide_2009_-_Edition_A%20-%20September%202010_english_version.pdf (accessed on 15 January 2024).
- Martino, E.; Fairbrother, A.; Ghosh, R.; Schuderer, J. Data-driven and physics-based reliability tests to failure of a power electronics converter. Microelectron. Reliab. 2023, 150, 115063. [Google Scholar] [CrossRef]
- Real, D.; Calvo, D.; Musico, P.; Jansweijer, P.; van Beveren, V.; Colonges, S.; Pellegrini, G.; Díaz, A.F. KM3NeT Acquisition Electronics: New Developments and Advances in Reliability. In Proceedings of the 37th International Cosmic Ray Conference (ICRC2021), Berlin, Germany, 12–23 July 2021; p. 1108. [Google Scholar] [CrossRef]
- Porter, A. Chapter 9—Highly Accelerated Life Testing (HALT). In Accelerated Testing and Validation; Newnes: Oxford, UK, 2004; pp. 123–138. [Google Scholar]
- IPC-6011 Generic Performance Specification for Printed Boards. 1996. Available online: https://www.ipc.org/TOC/IPC-6011.pdf (accessed on 15 January 2024).
- IPC-1782 Standard for Manufacturing and Supply Chain Traceability of Electronic Products. 2019. Available online: https://www.ipc.org/TOC/IPC-1782.pdf (accessed on 15 January 2024).












| Voltage (V) | Current (A) | Efficiency Original PB (%) | Efficiency Upgraded PB (%) |
|---|---|---|---|
| 1 | 0.13 | 80 | 80 |
| 1.8 | 0.33 | 80 | 80 |
| 2.5 | 0.33 | 60 | 78 |
| 3.3 | 0.81 | 65 | 90 |
| 3.3 PMT | 0.46 | 90 | 90 |
| 5 | 0.10 | 60 | 90 |
| Process Variable | Ratio | Resistance | Description |
|---|---|---|---|
| 12 V current | 1 | 20 mΩ | 12 V current |
| 1V0 current | 1 | 20 mΩ | Current at the 1 V rail |
| 1V8 current | 0.4 | 50 mΩ | Current at the 1.8 V rail |
| 2V5 current | 0.4 | 50 mΩ | Current at the 2.5 V rail |
| 3V3 current | 1 | 20 mΩ | Current at the 3.3 V rail |
| 5V0 current | 0.4 | 50 mΩ | Current at the 5 V rail |
| 3V3PMT current | 2 | 10 mΩ | Current at the 3.3 V rail for the PMTs |
| VLED current | 2 | 10 mΩ | Current at the Nanobeacon rail |
| VLED voltage | 10.1 | Voltage at the Nanobeacon rail | |
| 1V0 voltage | 1 | Voltage at the 1 V rail | |
| 1V8 voltage | 1 | Voltage at the 1.8 V rail | |
| 2V5 voltage | 1 | Voltage at the 2.5 V rail | |
| 3V3 voltage | 2 | Voltage at the 3.3 V rail | |
| 5V0 voltage | 2 | Voltage at the 5.0 V rail | |
| 3V3PMT voltage | 2 | Voltage at the 3.3 V rail for the PMTs | |
| VLED control voltage | 1 | Voltage at the Nanobeacon rail | |
| PB Temp | 100 | Temperature in the PB. Value in °C |
| Rail | Voltage (V) | Accuracy (%) |
|---|---|---|
| 1V0 | 1.0 | ±1.5 |
| 1V8 | 1.8 | ±3.0 |
| 2V5 | 2.5 | ±3.0 |
| 3V3 | 3.3 | ±1.5 |
| 3V3PMT | 3.3 | ±3.0 |
| 5V0 | 5.0 | ±3.0 |
| VLED | 4.0–30.0 | ±1.0 |
Disclaimer/Publisher’s Note: The statements, opinions and data contained in all publications are solely those of the individual author(s) and contributor(s) and not of MDPI and/or the editor(s). MDPI and/or the editor(s) disclaim responsibility for any injury to people or property resulting from any ideas, methods, instructions or products referred to in the content. |
© 2024 by the authors. Licensee MDPI, Basel, Switzerland. This article is an open access article distributed under the terms and conditions of the Creative Commons Attribution (CC BY) license (https://creativecommons.org/licenses/by/4.0/).
Share and Cite
Aiello, S.; Albert, A.; Garre, S.A.; Aly, Z.; Ambrosone, A.; Ameli, F.; Andre, M.; Androutsou, E.; Anguita, M.; Aphecetche, L.; et al. The Power Board of the KM3NeT Digital Optical Module: Design, Upgrade, and Production. Electronics 2024, 13, 2044. https://doi.org/10.3390/electronics13112044
Aiello S, Albert A, Garre SA, Aly Z, Ambrosone A, Ameli F, Andre M, Androutsou E, Anguita M, Aphecetche L, et al. The Power Board of the KM3NeT Digital Optical Module: Design, Upgrade, and Production. Electronics. 2024; 13(11):2044. https://doi.org/10.3390/electronics13112044
Chicago/Turabian StyleAiello, Sebastiano, Arnauld Albert, Sergio Alves Garre, Zineb Aly, Antonio Ambrosone, Fabrizio Ameli, Michel Andre, Eleni Androutsou, Mancia Anguita, Laurent Aphecetche, and et al. 2024. "The Power Board of the KM3NeT Digital Optical Module: Design, Upgrade, and Production" Electronics 13, no. 11: 2044. https://doi.org/10.3390/electronics13112044
APA StyleAiello, S., Albert, A., Garre, S. A., Aly, Z., Ambrosone, A., Ameli, F., Andre, M., Androutsou, E., Anguita, M., Aphecetche, L., Ardid, M., Ardid, S., Atmani, H., Aublin, J., Badaracco, F., Bailly-Salins, L., Bardacova, Z., Baret, B., Bariego, A., ... Zywucka, N. (2024). The Power Board of the KM3NeT Digital Optical Module: Design, Upgrade, and Production. Electronics, 13(11), 2044. https://doi.org/10.3390/electronics13112044

