Design of a 3-Bit Circularly Polarized Reconfigurable Reflectarray
Abstract
1. Introduction
2. Materials and Methods
2.1. Extraction of Equivalent Circuit Model of PIN Diode
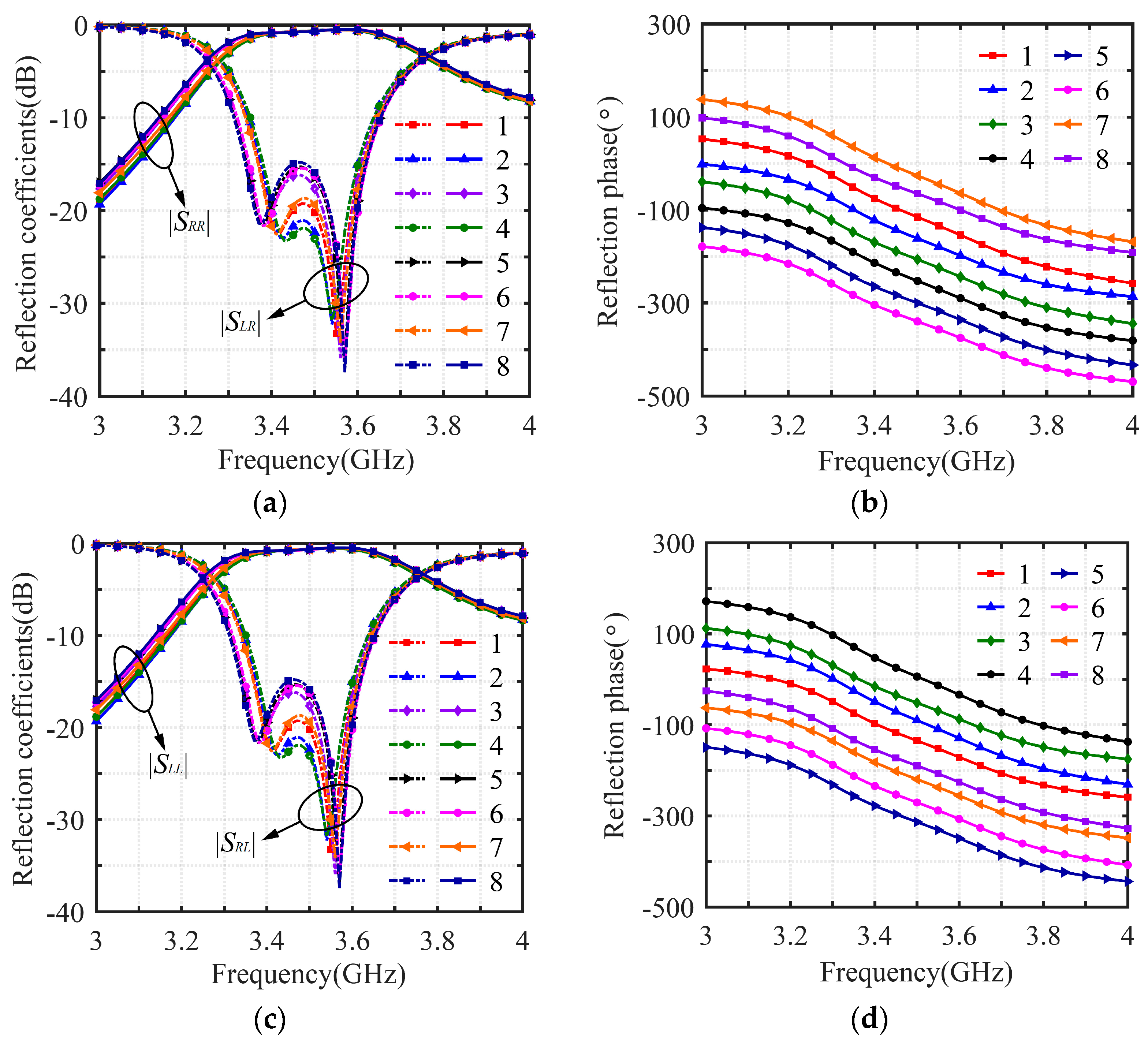
2.2. Design of Circularly Polarized Reconfigurable Reflectarray Unit
2.3. Design of 3-Bit Circularly Polarized Reconfigurable Reflectarray
3. Fabrication and Measurement Results
4. Conclusions
Author Contributions
Funding
Data Availability Statement
Conflicts of Interest
References
- Yahya, R.S.; Junbo, W. A 7 m × 1.5 m Aperture Parabolic Cylinder Deployable Mesh Reflector Antenna for Next-Generation Satellite Synthetic Aperture Radar. IEEE Trans. Antennas Propag. 2023, 71, 6378–6389. [Google Scholar]
- Wu, Q.L.; Jiang, X.F. Attenuation of Orbital Angular Momentum Beam Transmission with a Parabolic Antenna. IEEE Antennas Wirel. Propag. Lett. 2021, 20, 1849–1853. [Google Scholar] [CrossRef]
- Zhang, Z.Y.; Zhao, Y.R. Design of a Dual-Beam Dual-Polarized Offset Parabolic Reflector Antenna. IEEE Trans. Antennas Propag. 2019, 67, 712–718. [Google Scholar] [CrossRef]
- Zhang, S.X.; Duan, B.Y. Random Error Characterization of Nonsmooth Parabolic Reflector Antennas with Gore-Faceted or Discontinuous Surface. IEEE Trans. Antennas Propag. 2021, 69, 1922–1930. [Google Scholar] [CrossRef]
- Vignesh, M.; Yahya, R.S. Understanding the Radiation Characteristics of Metal-Only, Low-Profile, Offset Stepped Parabolic Reflector Antennas: Simulation, Analysis, and Measurement. IEEE Trans. Antennas Propag. 2021, 69, 5078–5083. [Google Scholar]
- Cho, H.Y.; Jo, H.W.; Kin, J.W. Shorted Trapezoidal SIW Antenna with Quasi-Hemispherical Pattern for 2D Wide Scanning Planar Phased Array Antenna. IEEE Trans. Antennas Propag. 2022, 70, 7211–7216. [Google Scholar] [CrossRef]
- Li, A.; Qu, S.W.; Yang, S.W. Conformal Array Antenna for Applications in Wide-Scanning Phased Array Antenna Systems. IEEE Antennas Wireless Propag. Lett. 2021, 9, 1762–1766. [Google Scholar] [CrossRef]
- Kim, J.W.; Chae, S.C.; Jo, H.W. Wideband Circularly Polarized Phased Array Antenna System for Wide Axial Ratio Scanning. IEEE Trans. Antennas Propag. 2022, 70, 1523–1528. [Google Scholar] [CrossRef]
- Peng, J.J.; Qu, S.W.; Xia, M.Y.; Yang, S.W. Wide-Scanning Conformal Phased Array Antenna for UAV Radar Based on Polyimide Film. IEEE Antennas Wirel. Propag. Lett. 2020, 19, 1581–1585. [Google Scholar] [CrossRef]
- Chen, Q.; Yan, S.L.; Guo, X.Y. A 77 GHz Phased Array Antenna Based on Substrate-Integrated Waveguide. IEEE Antennas Wirel. Propag. Lett. 2023, 22, 2979–2983. [Google Scholar] [CrossRef]
- Amir, R.; Ardeshir, P.; Ahmad, E. A Low-Profile 2D Passive Phased-Array Antenna-in-Package for Emerging Millimeter-Wave Applications. IEEE Trans. Antennas Propag. 2023, 71, 1093–1098. [Google Scholar]
- Theng, H.G.; Liu, A.K.; Tan, P.K. A Bendable Wideband Dual-Polarization Conformal Phased-Array Antenna. IEEE Antennas Wirel. Propag. Lett. 2023, 22, 1952–1956. [Google Scholar]
- Dai, J.Y.; Tang, W. Wireless Communication Based on Information Metasurfaces. IEEE Trans. Microw. Theory Tech. 2021, 69, 1493–1510. [Google Scholar] [CrossRef]
- Wu, Q.; Zhang, S.; Zheng, B. Intelligent Reflecting Surface-Aided Wireless Communications: A Tutorial. IEEE Trans. Commun. 2021, 69, 3313–3351. [Google Scholar] [CrossRef]
- Cui, T.J.; Liu, S.; Bai, G.D. Direct Transmission of Digital Message via Programmable Coding Metasurface. Research 2019, 2019, 2584509. [Google Scholar] [CrossRef] [PubMed]
- Dai, J.Y.; Tang, W.; Yang, L.X. Realization of Multi-Modulation Schemes for Wireless Communication by Time-Domain Digital Coding Metasurface. IEEE Trans. Antennas Propag. 2020, 68, 1618–1627. [Google Scholar] [CrossRef]
- Zhang, L.; Wang, Z.X.; Shao, R.W. Dynamically Realizing Arbitrary Multi-Bit Programmable Phases Using a 2-Bit Time-Domain Coding Metasurface. IEEE Trans. Antennas Propag. 2020, 68, 2984–2992. [Google Scholar] [CrossRef]
- Lin, S.; Zheng, B. Reconfigurable Intelligent Surfaces with Reflection Pattern Modulation: Beamforming Design and Performance Analysis. IEEE Trans. Wirel. Commun. 2021, 20, 741–754. [Google Scholar] [CrossRef]
- Yang, X.; Xu, S.; Yang, F. A Mechanically Reconfigurable Reflectarray with Slotted Patches of Tunable Height. IEEE Trans. Antennas Propag. 2018, 17, 555–558. [Google Scholar] [CrossRef]
- Mei, P.; Zhang, S. A Wideband 3-D Printed Reflectarray Antenna with Mechanically Reconfigurable Polarization. IEEE Trans. Antennas Propag. 2020, 19, 1798–1802. [Google Scholar] [CrossRef]
- Mei, P.; Zhang, S. A Low-Cost, High-Efficiency and Full-Metal Reflectarray Antenna with Mechanically 2-D Beam-Steerable Capabilities for 5G Applications. IEEE Trans. Antennas Propag. 2020, 68, 6997–7006. [Google Scholar] [CrossRef]
- Kong, G.; Li, X.; Wang, Q. A Wideband Reconfigurable Dual-Branch Helical Reflectarray Antenna for High-Power Microwave Applications. IEEE Trans. Antennas Propag. 2021, 69, 825–833. [Google Scholar] [CrossRef]
- Pan, X.; Yang, F.; Xu, S. A 10240-Element Reconfigurable Reflectarray with Fast Steerable Monopulse Patterns. IEEE Trans. Antennas Propag. 2021, 69, 173–181. [Google Scholar] [CrossRef]
- Wu, F.; Lu, R.; Wang, J. Circularly Polarized One-Bit Reconfigurable ME-Dipole Reflectarray at X-Band. IEEE Antennas Wirel. Propag. Lett. 2022, 21, 496–500. [Google Scholar] [CrossRef]
- Wu, F.; Lu, R.; Wang, J. A Circularly Polarized 1 Bit Electronically Reconfigurable Reflectarray Based on Electromagnetic Element Rotation. IEEE Trans. Antennas Propag. 2021, 69, 5585–5595. [Google Scholar] [CrossRef]
- Han, J.; Li, L.; Ma, X. Adaptively Smart Wireless Power Transfer Using 2-Bit Programmable Metasurface. IEEE Trans. Ind. Electron. 2022, 69, 8524–8534. [Google Scholar] [CrossRef]
- Liao, J.; Guo, S.; Yuan, L. Independent Manipulation of Reflection Amplitude and Phase by a Single-Layer Reconfigurable Metasurface. Adv. Opt. Mater. 2022, 10, 2101551. [Google Scholar] [CrossRef]
- Xu, J.; Liu, W. Terahertz Dynamic Beam Steering Based on Graphene Coding Metasurfaces. IEEE Photonics J. 2021, 13, 1–9. [Google Scholar] [CrossRef]
- Chen, D.; Yang, J.; Huang, J. Continuously tunable metasurfaces controlled by single electrode uniform bias-voltage based on nonuniform periodic rectangular graphene arrays. Optics Express. 2020, 28, 29306. [Google Scholar] [CrossRef]
- Li, R.; Liu, H. Light-controlled metasurface with a controllable range of reflection phase modulation. J. Phys. D Appl. Phys. 2022, 55, 225302. [Google Scholar] [CrossRef]
- Luo, W.; Yu, S.; Kou, N. Design of Height-Adjustable Mechanically Reconfigurable Reflectarray. Prog. Electromagn. Res. Lett. 2022, 104, 1–6. [Google Scholar] [CrossRef]
- Xi, B.; Xiao, Y. 1-Bit Wideband Reconfigurable Reflectarray Design in Ku-Band. IEEE Access 2022, 10, 4340–4348. [Google Scholar] [CrossRef]
- Baladi, E.; Xu, M.Y.; Faria, N. Dual-Band Circularly Polarized Fully Reconfigurable Reflectarray Antenna for Satellite Applications in the Ku-Band. IEEE Trans. Antennas Propag. 2021, 69, 5585–5595. [Google Scholar] [CrossRef]
- Zhang, X.G.; Jiang, W.X.; Jiang, H.L. An optically driven digital metasurface for programming electromagnetic functions. Nature Electron. 2020, 3, 165–171. [Google Scholar] [CrossRef]
- Chen, L.; Nie, Q.F.; Ruan, Y. Thermal sensing metasurface with programmable wave-front manipulation. J. Appl. Phys. 2020, 128, 075105. [Google Scholar] [CrossRef]
- Yang, H.H.; Yang, F.; Xu, S.H. A 1-Bit Multipolarization Reflectarray Element for Reconfigurable Large-Aperture Antennas. IEEE Antennas Wirel. Propag. Lett. 2017, 16, 581–584. [Google Scholar] [CrossRef]
- Javor, R.; Wu, X.D.; Chang, K. Design and performance of a microstrip reflectarray antenna. IEEE Trans. Antennas Propag. 1995, 43, 932–939. [Google Scholar] [CrossRef]
- Fan, Y.L.; Lin, X.Q.; Yang, X.M. Reconfigurable Design of a Polarization-Decoupled Dual-Circularly Polarized Reflectarray. IEEE Trans. Antennas Propag. 2023, 71, 10020–10025. [Google Scholar] [CrossRef]
- Trampler, M.E.; Lovato, R.E.; Gong, X. Dual-Resonance Continuously Beam-Scanning X-Band Reflectarray Antenna. IEEE Trans. Antennas Propag. 2020, 68, 6080–6087. [Google Scholar] [CrossRef]
- Zhang, M.T.; Gao, S.; Jiao, J.C. Design of Novel Reconfigurable Reflectarrays with Single-bit Phase Resolution for Ku-Band Satellite Antenna Applications. IEEE Trans. Antennas Propag. 2016, 64, 1634–1641. [Google Scholar] [CrossRef]
- Liu, H.; Fan, Y.L.; Xing, Y. Wideband circularly polarized SIW cavity-backed patches antenna for wide-angle scanning phased arrays. Microw. Opt. Technol. Lett. 2023, 66, 1–8. [Google Scholar] [CrossRef]

















| Calculated compensation phase (°) | [−22.5, 22.5] | [22.5, 67.5] | [67.5, 112.5] | [112.5, 157.5] |
| Quantized compensation phase | 0 | 45 | 90 | 135 |
| Calculated compensation phase (°) | [157.5, 202.5] | [202.5, 247.5] | [247.5, 292.5] | [292.5, 337.5] |
| Quantized compensation phase | 180 | 225 | 270 | 315 |
| References | [39] | [40] | [25] | [41] | This Work |
|---|---|---|---|---|---|
| Reconfigurable technology | varactor | PIN diode | PIN diode | phased array | PIN diode |
| Number of phase shifts | continuous | 1-bit | 1-bit | / | 3-bit |
| Polarization | linear | Circular | circular | circular | circular |
| Number of diodes | 4 | 4 | 2 | / | 8 |
| Loss of unit | <4 dB | <1 dB | <1 dB | <4.7 dB | <1 dB |
| Angular stability | 40° | / | 30° | / | 50° |
| Aperture efficiency | 25.42% | 15% | 20% | / | 27% |
| Scanning range | ±50°/±50° | ±40°/±40° | −30°~45°/±60° | ±60° | ±60°/±60° |
Disclaimer/Publisher’s Note: The statements, opinions and data contained in all publications are solely those of the individual author(s) and contributor(s) and not of MDPI and/or the editor(s). MDPI and/or the editor(s) disclaim responsibility for any injury to people or property resulting from any ideas, methods, instructions or products referred to in the content. |
© 2024 by the authors. Licensee MDPI, Basel, Switzerland. This article is an open access article distributed under the terms and conditions of the Creative Commons Attribution (CC BY) license (https://creativecommons.org/licenses/by/4.0/).
Share and Cite
Chen, Z.; Huang, C.; Yang, X.; Yan, X.; Lin, X.; Zhou, Y. Design of a 3-Bit Circularly Polarized Reconfigurable Reflectarray. Electronics 2024, 13, 1886. https://doi.org/10.3390/electronics13101886
Chen Z, Huang C, Yang X, Yan X, Lin X, Zhou Y. Design of a 3-Bit Circularly Polarized Reconfigurable Reflectarray. Electronics. 2024; 13(10):1886. https://doi.org/10.3390/electronics13101886
Chicago/Turabian StyleChen, Zhe, Chenlu Huang, Xinmi Yang, Xiaoming Yan, Xianqi Lin, and Yedi Zhou. 2024. "Design of a 3-Bit Circularly Polarized Reconfigurable Reflectarray" Electronics 13, no. 10: 1886. https://doi.org/10.3390/electronics13101886
APA StyleChen, Z., Huang, C., Yang, X., Yan, X., Lin, X., & Zhou, Y. (2024). Design of a 3-Bit Circularly Polarized Reconfigurable Reflectarray. Electronics, 13(10), 1886. https://doi.org/10.3390/electronics13101886

