A Novel Improved Variational Mode Decomposition-Temporal Convolutional Network-Gated Recurrent Unit with Multi-Head Attention Mechanism for Enhanced Photovoltaic Power Forecasting
Abstract
1. Introduction
- (1)
- To decompose photovoltaic power, the variational mode decomposition method is used. Meanwhile, the optimal mode and penalty factor are searched based on the minimum envelope entropy to enhance the adaptability of the variational mode decomposition algorithm.
- (2)
- Different TCN-GRU models are constructed for different PV modal components decomposed via the improved variational mode decomposition algorithm, and the main environmental factors, for example, atmospheric pressure, air temperature, solar irradiance, and component temperature, are considered as TCN-GRU model inputs.
- (3)
- According to the SSA, the hidden layer neural element number, training frequency, and learning rate parameters that have a significant impact on network performance were optimized. The forecasting results under multiple photovoltaic modes are integrated to obtain better photovoltaic power forecasting. Finally, for the proposed forecasting strategy, the photovoltaic power of the actual power plant is applied to illustrate the feasibility.
2. Materials and Methods
2.1. TCN Network
2.2. TCN-GRU
2.3. Multi Head Attention Mechanism
2.4. Forecasting Modeling Based on Improved TCN-GRU
2.5. Improved Variational Modal Decomposition
2.5.1. Preliminary of VMD
- For each mode function, through Hilbert transform, the analytic signal is obtained to acquire its unilateral spectrum ;
- The frequency spectrum for each mode is modulated to the corresponding base band by mixing the exponential terms of its corresponding center frequency ;
- Through the Gaussian smoothness of the demodulation signal, for each mode signal, the bandwidth is estimated, and the constrained variational problem is obtained.
| Algorithm 1 The process of the VMD algorithm. |
| Complete Optimization of VMD |
| Initialize , , , |
| Repeat |
| n ← n + 1 |
| for k = 1: K do |
| Update for all : |
| Update : |
| end for |
| Dual ascent for all : |
| Until convergence: |
2.5.2. VMD with Minimum Envelope Entropy
2.6. GRU Optimization Using SSA
- (1)
- The position of the founder is updated as follows:where represent the maximum number of iterations and t denotes the current iteration number. The position of the ith sparrow in dimension j is represented by ; the range of j is . Additionally, and refer to the security threshold and alarm value, respectively. A random number is utilized in the algorithm, and L() is a complete matrix with all elements equal to 1. A normally distributed random number, denoted as Q, signifies the absence of predators, prompting the finder to engage in wide-area search mode when the condition is met. Conversely, if there is impending danger , all sparrows swiftly relocate to alternative safe locations [45].
- (2)
- The position of the joiner sparrow is expressed as follows:where denotes the global worst position, represents the optimal position of the current discoverer, and a 1xd matrix A is defined with elements randomly assigned 1 or −1: . The condition where indicates that the participant with poor fitness is at a heightened risk of starvation [46].
- (3)
- Assuming that 10%–20% of the sparrow population perceives danger and promptly relocates to a safe area, the guard position is determined as follows:where follows a normal distribution with mean 0 and variance 1, representing a random number for the step control parameter. Other variables include as the global optimal position; as the step control parameter, denoting the direction of sparrow movement; as the global optimal fitness value; as the fitness value of individual sparrows at the current step; and as the global worst fitness value. To prevent division by zero, is introduced as a minimum constant. In addition, sparrows located at the edges of the population face increased vulnerability to predators when . Conversely, sparrows positioned in the middle of the population effectively communicate the awareness of danger to other sparrows, thereby reducing the risk of predation under the condition [47].
2.7. IVMD-SSA-TCN-GRU-Based Photovoltaic Power Forecasting Strategy
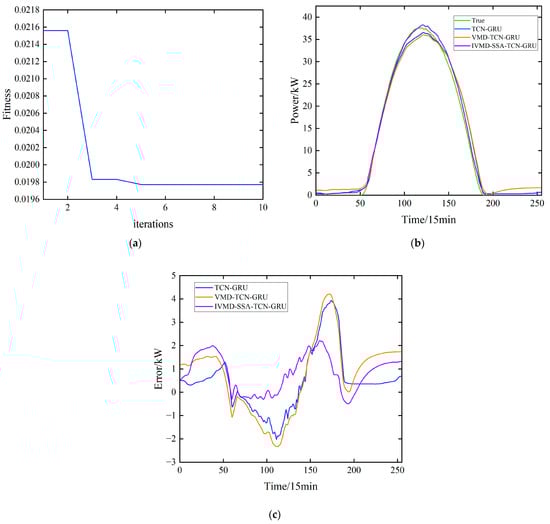
3. Results
3.1. Data Processing
3.2. Evaluation Index of Forecasting Model
3.3. Simulation Analysis
4. Discussion
5. Conclusions
- (1)
- Our results demonstrate that the integration of VMD, TCN, GRU, and a multi-head attention mechanism significantly improves the accuracy and reliability of PV power forecasting compared to traditional methods. By leveraging VMD for signal decomposition and TCN-GRU for dynamic time series modeling, our model effectively captures both local temporal features and long-term dependencies in the data, leading to more precise predictions.
- (2)
- The incorporation of a multi-head attention mechanism enables our model to exploit global contextual information in the time series data, further enhancing its forecasting performance. The attention mechanism allows the model to dynamically weigh the importance of different input features, thereby improving the utilization of relevant information for prediction.
- (3)
- The optimization of VMD parameters using the SSA and the fine-tuning of GRU parameters contribute to the overall effectiveness of our proposed model. The optimization process ensures that the model is able to adapt to the specific characteristics of the input data, thereby improving its generalization capability and robustness.
Author Contributions
Funding
Data Availability Statement
Acknowledgments
Conflicts of Interest
References
- Pillot, B.; Muselli, M.; Poggi, P.; Dias, J.B. Historical trends in global energy policy and renewable power system issues in Sub-Saharan Africa: The case of solar PV. Energy Policy 2019, 127, 113–124. [Google Scholar] [CrossRef]
- Ospina, J.; Newaz, A.; Faruque, M.O. Forecasting of PV plant output using hybrid wavelet-based LSTM-DNN structure model. IET Renew. Power Gen. 2019, 13, 1087–1095. [Google Scholar] [CrossRef]
- Sun, W.; Wang, Y. Short-term wind speed forecasting based on fast ensemble empirical mode decomposition, phase space reconstruction, sample entropy and improved back-propagation neural network. Energy Convers. Manag. 2018, 157, 1–12. [Google Scholar] [CrossRef]
- Ssekulima, E.B.; Anwar, M.B.; Hinai, A.A.; Moursi, M.S.E. Wind speed and solar irradiance forecasting techniques for enhanced renewable energy integration with the grid: A review. IET Renew. Power Gen. 2016, 10, 885–898. [Google Scholar] [CrossRef]
- Zhang, Q.; Ma, W.H.; Li, G.L.; Xie, M.; Shao, Q.Z. Partition fault diagnosis of power grids based on improved PNN and GRA. IEEE J. Trans. Electr. Electr. 2020, 16, 57–66. [Google Scholar] [CrossRef]
- Liu, J.; Liu, M.W.; Wang, Z.M.; Yang, J.W.; Lou, S.H. Multi-flexibility resources planning for power system considering carbon trading. Sustainability 2022, 14, 13296. [Google Scholar] [CrossRef]
- Chen, X.; Lou, S.H.; Liang, Y.J.; Wu, Y.W.; He, X.L. Optimal scheduling of a regional power system aiming at accommodating clean energy. Sustainability 2021, 13, 2169. [Google Scholar] [CrossRef]
- Sen Biswas, R.; Pal, A.; Werho, T.; Vittal, V. A graph theoretic approach to power system vulnerability identification. IEEE Trans. Power Syst. 2021, 36, 923–935. [Google Scholar] [CrossRef]
- Wu, T.; Wang, X.C.; Qiao, S.J.; Xian, X.P.; Liu, Y.B.; Zhang, L. Small perturbations are enough: Adversarial attacks on time series prediction. Inform. Sci. 2022, 587, 794–812. [Google Scholar] [CrossRef]
- Huang, B.Q.; Zheng, H.A.; Guo, X.B.; Yang, Y.; Liu, X.M. A novel model based on DA-RNN network and skip gated recurrent neural network for periodic time series forecasting. Sustainability 2022, 14, 326. [Google Scholar] [CrossRef]
- Salles, R.; Pacitti, E.; Bezerra, E.; Porto, F.; Ogasawara, E. TSPred: A framework for nonstationary time series prediction. Neurocomputing 2021, 467, 197–202. [Google Scholar] [CrossRef]
- Guo, K.; Hu, Y.L.; Qian, Z.; Liu, H.; Zhang, K.; Sun, Y.F.; Gao, J.B.; Yin, B.C. Optimized graph convolution recurrent neural network for traffic prediction. IEEE Trans. Intell. Transp. 2021, 22, 1138–1149. [Google Scholar] [CrossRef]
- Lou, Y.; Wu, R.Z.; Li, J.L.; Wang, L.; Li, X.; Chen, G.R. A learning convolutional neural network approach for network robustness prediction. IEEE Trans. Cybern. 2022, 53, 4531–4544. [Google Scholar] [CrossRef] [PubMed]
- Topic, J.; Skugor, B.; Deur, J. Neural network-based prediction of vehicle fuel consumption based on driving cycle data. Sustainability 2022, 14, 744. [Google Scholar] [CrossRef]
- Zhang, X.S.; He, B.A.; Sabri, M.M.S.; Al-Bahrani, M.; Ulrikh, D.V. Soil liquefaction prediction based on bayesian optimization and support vector machines. Sustainability 2022, 14, 11944. [Google Scholar] [CrossRef]
- Huang, J.L.; Jin, T.; Liang, M.L.; Chen, H.L. Prediction of heat exchanger performance in cryogenic oscillating flow conditions by support vector machine. Appl. Therm. Eng. 2020, 182, 116053. [Google Scholar] [CrossRef]
- Zhou, L.S.; Zhou, X.T.; Liang, H.; Huang, M.T.; Li, Y. Hybrid short-term wind power prediction based on Markov chain. Front. Energy Res. 2022, 10, 899692. [Google Scholar] [CrossRef]
- Mao, C.Y.; Bao, L.W.; Yang, S.D.; Xu, W.J.; Wang, Q. Analysis and prediction of pedestrians’ violation behavior at the intersection based on a Markov chain. Sustainability 2021, 13, 5690. [Google Scholar] [CrossRef]
- Huang, Y.; Yu, J.H.; Dai, X.H.; Huang, Z.; Li, Y.Y. Air-quality prediction based on the EMD-IPSO-LSTM combination model. Sustainability 2022, 14, 4889. [Google Scholar] [CrossRef]
- Wang, X.Q.; Xu, N.K.; Meng, X.R.; Chang, H.Q. Prediction of gas concentration based on LSTM-LightGBM variable weight combination model. Energies 2022, 15, 827. [Google Scholar] [CrossRef]
- Li, P.D.; Gao, X.Q.; Li, Z.C.; Zhou, X.Y. Effect of the temperature difference between land and lake on photovoltaic power generation. Renew. Energy 2022, 185, 86–95. [Google Scholar] [CrossRef]
- Nelega, R.; Greu, D.I.; Jecan, E.; Rednic, V.; Zamfirescu, C.; Puschita, E.; Turcu, R.V.F. Prediction of power generation of a photovoltaic power plant based on neural networks. IEEE Access 2023, 11, 20713–20724. [Google Scholar] [CrossRef]
- Zhang, H.C.; Zhu, T.T. Stacking model for photovoltaic-power-generation prediction. Sustainability 2022, 14, 5669. [Google Scholar] [CrossRef]
- Li, Y.L.; Yan, L.C.; He, H.; Zha, W.T. Regional ultra-short-term wind power combination prediction method based on fluctuant/smooth components division. Front. Energy Res. 2022, 10, 840519. [Google Scholar] [CrossRef]
- Hui, L.; Ren, Z.Y.; Yan, X.; Li, W.Y.; Bo, H. A multi-data driven hybrid learning method for weekly photovoltaic power scenario forecast. IEEE Trans. Sustain. Energy 2021, 13, 91–100. [Google Scholar]
- Zha, Y.X.; Lin, J.; Li, G.J.; Wang, Y.; Yi, Z. Analysis of inertia characteristics of photovoltaic power generation system based on generalized droop control. IEEE Access 2021, 9, 37834–37839. [Google Scholar] [CrossRef]
- Qian, Z.; Pei, Y.; Zareipour, H.; Chen, N. A review and discussion of decomposition-based hybrid models for wind energy forecasting applications. Appl. Energy 2019, 235, 939–953. [Google Scholar] [CrossRef]
- Lee, J.; Kim, H.; Kim, H. Commercial vacancy prediction using LSTM neural networks. Sustainability 2021, 13, 5400. [Google Scholar] [CrossRef]
- Xiao, Z.X.; Tang, F.; Wang, M.Y. Wind power short-term forecasting method based on LSTM and multiple error correction. Sustainability 2023, 15, 3798. [Google Scholar] [CrossRef]
- Xiang, X.; Li, X.; Zhang, Y.; Hu, J. A short-term forecasting method for photovoltaic power generation based on the tcn-ecanet-gru hybrid model. Sci. Rep. 2024, 14, 6744. [Google Scholar] [CrossRef]
- Moradzadeh, A.; Zakeri, S.; Shoaran, M.; Mohammadi-Ivatloo, B.; Mohammadi, F. Short-term load forecasting of microgrid via hybrid support vector regression and long short-term memory algorithms. Sustainability 2020, 12, 7076. [Google Scholar] [CrossRef]
- Sun, Z.; Zhao, S.; Zhang, J. Short-term wind power forecasting on multiple scales using VMD decomposition, K-means clustering and LSTM principal computing. IEEE Access 2019, 18, 17–29. [Google Scholar] [CrossRef]
- Lang, X.; Rehman, N.U.; Zhang, Y.F.; Xie, L.; Su, H.Y. Median ensemble empirical mode decomposition. Signal Process. 2020, 176, 107686. [Google Scholar] [CrossRef]
- Zhu, W.; Yang, Y.; Zhi, P.; Liang, Z. A control strategy of photovoltaic hybrid energy storage system based on adaptive wavelet packet decomposition. Int. J. Electrochem. Sci. 2022, 17, 221144. [Google Scholar] [CrossRef]
- Khan, F.; Alshahrani, T.; Fareed, I.; Kim, J.H. A comprehensive degradation assessment of silicon photovoltaic modules installed on a concrete base under hot and low-humidity environments: Building applications. Sustain. Energy Technol. Assess. 2022, 52, 102314. [Google Scholar] [CrossRef]
- Khan, F.; Rezgui, B.D.; Kim, J.H. Reliability study of c-si pv module mounted on a concrete slab by thermal cycling using electroluminescence scanning: Application in future solar roadways. Materials 2020, 13, 470. [Google Scholar] [CrossRef]
- Perera, M.; De Hoog, J.; Bandara, K.; Senanayake, D.; Halgamuge, S. Day-ahead regional solar power forecasting with hierarchical temporal convolutional neural networks using historical power generation and weather data. Appl. Energy 2024, 361, 122971. [Google Scholar] [CrossRef]
- Mahjoub, S.; Chrifi-Alaoui, L.; Marhic, B.; Delahoche, L. Predicting Energy Consumption Using LSTM, Multi-Layer GRU and Drop-GRU Neural Networks. Sensors 2022, 22, 4062. [Google Scholar] [CrossRef] [PubMed]
- Yu, X.; Zhang, D.; Zhu, T.; Jiang, X. Novel hybrid multi-head self-attention and multifractal algorithm for non-stationary time series prediction. Inf. Sci. 2022, 613, 541–555. [Google Scholar] [CrossRef]
- He, J.; Zhang, X.; Zhang, X.; Shen, J. Remaining useful life prediction for bearing based on automatic feature combination extraction and residual multi-head attention gru network. Meas. Sci. Technol. 2023, 35, 036003. [Google Scholar] [CrossRef]
- Zhang, Y.-M.; Wang, H. Multi-head attention-based probabilistic cnn-bilstm for day-ahead wind speed forecasting. Energy 2023, 278, 127865. [Google Scholar] [CrossRef]
- Zhang, Y.G.; Pan, G.F.; Chen, B.; Han, J.Y.; Zhao, Y.; Zhang, C.H. Short-term wind speed prediction model based on GA-ANN improved by VMD. Renew. Energy 2020, 156, 1373–1388. [Google Scholar] [CrossRef]
- Wang, X.; Ma, W. A hybrid deep learning model with an optimal strategy based on improved vmd and transformer for short-term photovoltaic power forecasting. Energy 2024, 295, 131071. [Google Scholar] [CrossRef]
- Yang, Y.; Liu, H.; Han, L.; Gao, P. A feature extraction method using vmd and improved envelope spectrum entropy for rolling bearing fault diagnosis. IEEE Sens. J. 2023, 23, 3848–3858. [Google Scholar] [CrossRef]
- Xue, J.; Shen, B. A novel swarm intelligence optimization approach: Sparrow search algorithm. Syst. Sci. Control Eng. 2020, 8, 22–34. [Google Scholar] [CrossRef]
- Gharehchopogh, F.S.; Namazi, M.; Ebrahimi, L.; Abdollahzadeh, B. Advances in sparrow search algorithm: A comprehensive survey. Arch. Comput. Methods Eng. 2023, 30, 427–455. [Google Scholar] [CrossRef] [PubMed]
- Yue, Y.G.; Cao, L.; Lu, D.W.; Hu, Z.Y.; Xu, M.H.; Wang, S.X.; Li, B.; Ding, H.H. Review and empirical analysis of sparrow search algorithm. Artif. Intell. Rev. 2023, 56, 10867–10919. [Google Scholar] [CrossRef]
- Xie, S.; Wang, H.Z.; Peng, J.C.; Liu, X.L.; Yuan, X.F. A hierarchical data reconciliation based on multiple time-delay interval estimation for industrial processes. ISA Trans. 2020, 105, 198–209. [Google Scholar] [CrossRef]
- Xie, S.; Yang, C.H.; Yuan, X.F.; Wang, X.L.; Xie, Y.F. A novel robust data reconciliation method for industrial processes. Contr. Eng. Pract. 2019, 83, 203–212. [Google Scholar] [CrossRef]
- Yu, M.; Niu, D.; Wang, K.; Du, R.; Yu, X.; Sun, L.; Wang, F. Short-term photovoltaic power point-interval forecasting based on double-layer decomposition and woa-bilstm-attention and considering weather classification. Energy 2023, 275, 127348. [Google Scholar] [CrossRef]
- Limouni, T.; Yaagoubi, R.; Bouziane, K.; Guissi, K.; Baali, E.H. Accurate one step and multistep forecasting of very short-term pv power using lstm-tcn model. Renew. Energy 2023, 205, 1010–1024. [Google Scholar] [CrossRef]
- Sabri, N.M.; El Hassouni, M. Accurate photovoltaic power prediction models based on deep convolutional neural networks and gated recurrent units. Energy Sources Part A Recovery Util. Environ. Eff. 2022, 44, 6303–6320. [Google Scholar] [CrossRef]
- Cai, L.; Hu, D.; Zhang, C.; Yu, S.; Xie, J. Tool vibration feature extraction method based on ssa-vmd and svm. Arab. J. Sci. Eng. 2022, 47, 15429–15439. [Google Scholar] [CrossRef]
- Zhou, S.; Yao, Y.; Luo, X.; Jiang, N.; Niu, S. Dynamic response evaluation for single-hole bench carbon dioxide blasting based on the novel ssa–vmd–pcc method. Int. J. Geomech. 2023, 23, 04022248. [Google Scholar] [CrossRef]
- Gao, X.; Guo, W.; Mei, C.; Sha, J.; Guo, Y.; Sun, H. Short-term wind power forecasting based on ssa-vmd-lstm. Energy Rep. 2023, 9, 335–344. [Google Scholar] [CrossRef]
- Cai, C.; Li, Y.; Su, Z.; Zhu, T.; He, Y. Short-term electrical load forecasting based on vmd and gru-tcn hybrid network. Appl. Sci. 2022, 12, 6647. [Google Scholar] [CrossRef]
- Li, L.; Li, Y.; Mao, R.; Li, L.; Hua, W.; Zhang, J. Remaining useful life prediction for lithium-ion batteries with a hybrid model based on tcn-gru-dnn and dual attention mechanism. IEEE Trans. Transp. Electrif. 2023, 9, 4726–4740. [Google Scholar] [CrossRef]
- Pu, X.; Xiao, H.; Wang, J.; Pei, W.; Yang, J.; Zhang, J. A novel gru-tcn network based interactive behavior learning of multi-energy microgrid under incomplete information. Energy Rep. 2023, 9, 608–616. [Google Scholar] [CrossRef]













| Weather Types | Minimum Envelope Entropy | K | α |
|---|---|---|---|
| Sunny day | 4.6712 | 3 | 925 |
| Cloudy day | 5.5301 | 6 | 59 |
| Rainy day | 5.4925 | 7 | 93 |
| Evaluation Indexes | TCN-GRU | IVMD-TCN-GRU | IVMD-SSA-TCN-GRU |
|---|---|---|---|
| RMSE | 1.7479 | 1.3832 | 1.152 |
| MAE | 1.4819 | 0.9968 | 0.94461 |
| Time | 0.0141 | 0.0132 | 0.0047 |
| Weather Type | Model | MAE | RMSE |
|---|---|---|---|
| Sunny day | IVMD-SSA-Elman | 2.32 | 4.17 |
| EMD-SSA-TCN-GRU | 2.17 | 3.76 | |
| IVMD-SSA-TCN-GRU | 1.98 | 3.41 | |
| Cloudy day | IVMD-SSA-Elman | 3.07 | 4.84 |
| EMD-SSA-TCN-GRU | 2.74 | 4.82 | |
| IVMD-SSA-TCN-GRU | 2.71 | 4.66 | |
| Rainy day | IVMD-SSA-Elman | 5.01 | 8.15 |
| EMD-SSA-TCN-GRU | 3.16 | 5.82 | |
| IVMD-SSA-TCN-GRU | 2.28 | 3.66 |
| Method | MAE | RMSE |
|---|---|---|
| IVMD-SSA-TCN-GRU | 2.28 | 3.66 |
| WOA-BiLSTM-Attention | 2.45 | 3.73 |
| LSTM-TCN | 2.56 | 3.91 |
| CNN-GRU | 2.71 | 4.14 |
Disclaimer/Publisher’s Note: The statements, opinions and data contained in all publications are solely those of the individual author(s) and contributor(s) and not of MDPI and/or the editor(s). MDPI and/or the editor(s) disclaim responsibility for any injury to people or property resulting from any ideas, methods, instructions or products referred to in the content. |
© 2024 by the authors. Licensee MDPI, Basel, Switzerland. This article is an open access article distributed under the terms and conditions of the Creative Commons Attribution (CC BY) license (https://creativecommons.org/licenses/by/4.0/).
Share and Cite
Fu, H.; Zhang, J.; Xie, S. A Novel Improved Variational Mode Decomposition-Temporal Convolutional Network-Gated Recurrent Unit with Multi-Head Attention Mechanism for Enhanced Photovoltaic Power Forecasting. Electronics 2024, 13, 1837. https://doi.org/10.3390/electronics13101837
Fu H, Zhang J, Xie S. A Novel Improved Variational Mode Decomposition-Temporal Convolutional Network-Gated Recurrent Unit with Multi-Head Attention Mechanism for Enhanced Photovoltaic Power Forecasting. Electronics. 2024; 13(10):1837. https://doi.org/10.3390/electronics13101837
Chicago/Turabian StyleFu, Hua, Junnan Zhang, and Sen Xie. 2024. "A Novel Improved Variational Mode Decomposition-Temporal Convolutional Network-Gated Recurrent Unit with Multi-Head Attention Mechanism for Enhanced Photovoltaic Power Forecasting" Electronics 13, no. 10: 1837. https://doi.org/10.3390/electronics13101837
APA StyleFu, H., Zhang, J., & Xie, S. (2024). A Novel Improved Variational Mode Decomposition-Temporal Convolutional Network-Gated Recurrent Unit with Multi-Head Attention Mechanism for Enhanced Photovoltaic Power Forecasting. Electronics, 13(10), 1837. https://doi.org/10.3390/electronics13101837
