A Novel Second Harmonic Voltage Suppression Control for PSFB Converter in Dual-Stage Single-Phase Rectifier
Abstract
1. Introduction
2. Mechanism of Second Harmonic Generation in Single-Phase Dual-Stage Converter
3. Analysis of the PSFB Converter
3.1. Principle of Phase-Shifted Full-Bridge Converter
3.2. Derivation of the Ideal Duty Cycle
4. The Proposed Novel Second Harmonic Suppression Control
4.1. Detailed Control Scheme
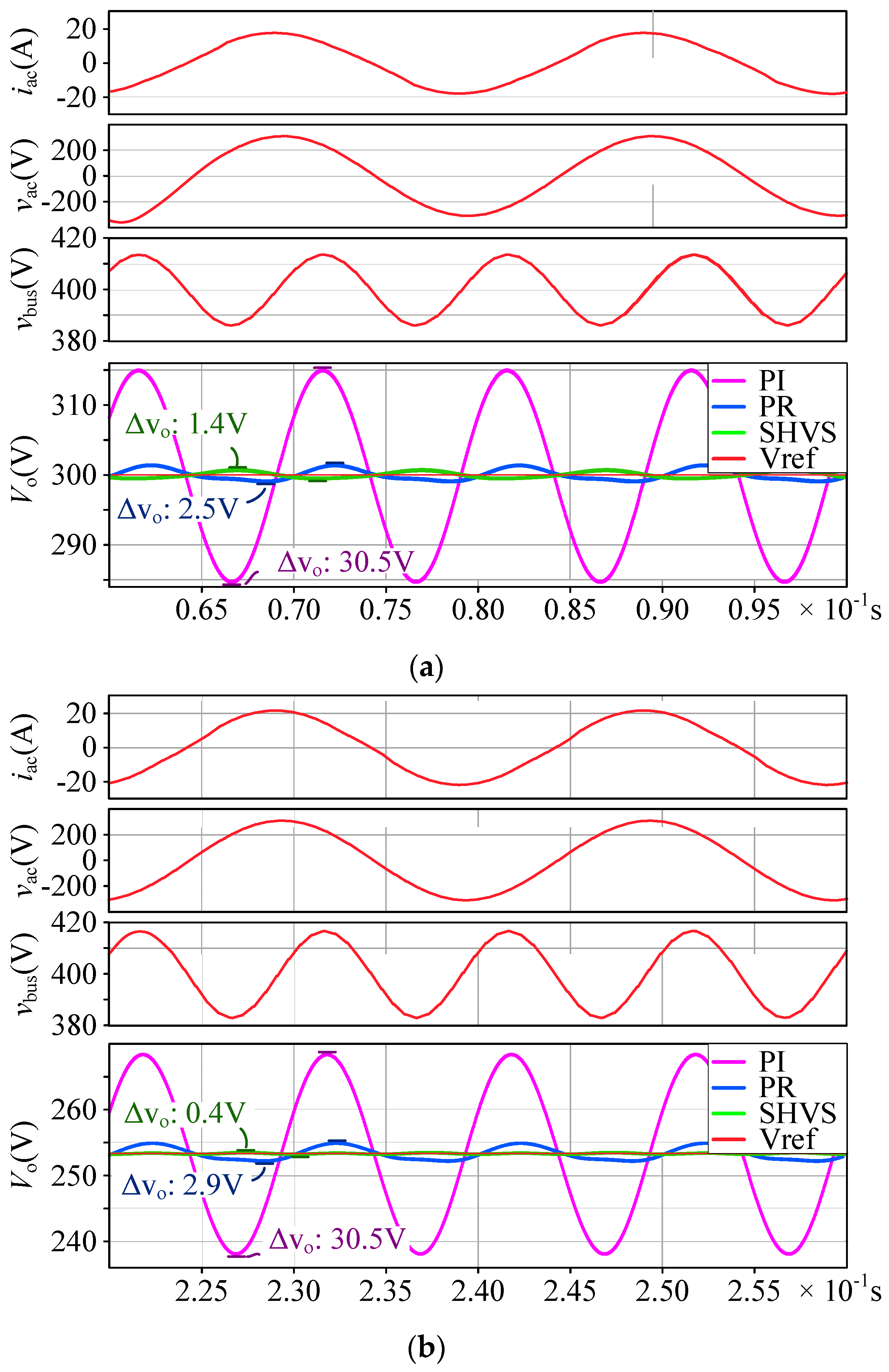
4.2. Simulation Results
4.3. Bode Diagram
5. Experiments
5.1. Steady-State Performance
5.2. Dynamic Performance
5.3. Effciency
6. Conclusions
Author Contributions
Funding
Data Availability Statement
Conflicts of Interest
References
- Chen, J.; Xu, J.; Zhang, Y.; Zhao, J.; Hou, J.; Wang, Y. Geometrical State-Plane-based Synchronous Rectification Scheme for LLC Converter in EVs. IEEE Trans. Transport. Electrific. 2024; in press. [Google Scholar] [CrossRef]
- Xu, J.; Mirić, S.; Bortis, D.; Blickenstorfer, M.; Hitz, M.; Kolar, J.W.; Huber, J. Automatic Time-Division Multiplexing for Inductive Power Transfer to Multiple Stainless-Steel-Enclosed Receivers. J. Emerg. Sel. Top. Power Electron. 2023; in press. [Google Scholar] [CrossRef]
- Wang, J.; Ilea, V.; Bovo, C.; Xie, N.; Wang, Y. Optimal self-scheduling for a multi-energy virtual power plant providing energy and reserve services under a holistic market framework. Energy 2023, 278, 17. [Google Scholar] [CrossRef]
- Liao, K.; Pang, B.; Yang, J.W.; He, Z.Y. Output Current Quality Improvement for VSC With Capability of Compensating Voltage Harmonics. IEEE Trans. Ind. Electron. 2023, 11, 9087–9097. [Google Scholar] [CrossRef]
- Khaligh, A.; D’Antonio, M. Global Trends in High-Power On-Board Chargers for Electric Vehicles. IEEE Trans. Veh. Technol. 2019, 68, 3306–3324. [Google Scholar] [CrossRef]
- Jiang, L.; Gong, L.; Xu, J.; Chen, J.; Tang, H.; Nie, M.; Wang, Y. A Variable Tertiary DC-Link Voltage Control for integrated APM in EV Charger Systems Featuring Full ZVS Range. IEEE Trans. Transport. Electrific. 2024; in press. [Google Scholar]
- Wang, H.C.; Yang, G.R.; Kang, W.; Zhang, X.S.; Fan, X.X.; Xiao, F. Minimum-Output-Current-Ripple Control of Current-Fed Three-Level Phase-Shift Full-Bridge Converter. Energies 2022, 15, 6444. [Google Scholar] [CrossRef]
- Yen, W.W.; Chao, P.C.P. A ZVS Phase-Shift Full-Bridge Converter With Input Current Steering to Reduce EMI Noise. IEEE Trans. Power Electron. 2022, 37, 11937–11950. [Google Scholar] [CrossRef]
- Lin, H.J.; Cai, C.S.; Chen, J.Y.; Gao, Y.; Vazquez, S.; Li, Y.W. Modulation and Control Independent Dead-Zone Compensation for H-Bridge Converters: A Simplified Digital Logic Scheme. IEEE Trans. Ind. Electron. 2024; Early Access. [Google Scholar]
- Chen, J.; Gong, L.; Li, W.; Cai, J.; Wang, Y. Simplified Power Decoupling Control of Triple Active Bridge Converter in Polar Coordinate System for EV Application. IEEE Trans. Ind. Electron. 2024; in press. [Google Scholar] [CrossRef]
- Chen, J.; Xu, J.; Wang, Y. Seamless Control of Full-Bridge and Half-Bridge Topology Morphing LLC Converter Based on State Plane Analysis. IEEE Trans. Power Electron. 2024, 39, 198–211. [Google Scholar] [CrossRef]
- Bi, Y.; Wu, C.; Xu, J.; Li, H.; Wang, Y.; Shu, G.; Soeiro, T.B. An Integrated Power Decoupling Method for Single-Phase EV Onboard Charger in V2G Application. IEEE Trans. Power Electron. 2023, 38, 9635–9646. [Google Scholar] [CrossRef]
- Chen, J.; Xu, J.; Tang, H.; Bi, Y.; Peng, Y.; Wang, Y. Second Harmonic Voltage Suppression for LLC Converter in Dual-Stage Single-Phase Rectifier Based on Voltage-Oriented State Plane Feedforward Control. IEEE Trans. Power Electron. 2023, 38, 9329–9334. [Google Scholar] [CrossRef]
- Xu, J.; Soeiro, T.B.; Gao, F.; Tang, H.; Bauer, P. Minimum Switching Losses Discontinuous PWM Strategy for Bidirectional Single-Phase AC–DC Converter With Active Power Decoupling Circuit. IEEE Trans. Power Electron. 2021, 36, 6118–6132. [Google Scholar] [CrossRef]
- Zhang, L.; Ruan, X. Control Schemes for Reducing Second Harmonic Current in Two-Stage Single-Phase Converter: An Overview From DC-Bus Port-Impedance Characteristics. IEEE Trans. Power Electron. 2019, 34, 10341–10358. [Google Scholar] [CrossRef]
- Zhu, G.; Ruan, X.; Zhang, L.; Wang, X. On the Reduction of Second Harmonic Current and Improvement of Dynamic Response for Two-Stage Single-Phase Inverter. IEEE Trans. Power Electron. 2015, 30, 1028–1041. [Google Scholar] [CrossRef]
- Zhang, L.; Ruan, X.; Ren, X. Second-Harmonic Current Reduction and Dynamic Performance Improvement in the Two-Stage Inverters: An Output Impedance Perspective. IEEE Trans. Ind. Electron. 2015, 62, 394–404. [Google Scholar] [CrossRef]
- Gong, L.X.; Xu, J.Z.; Zhao, J.C.; Li, W.H.; Wang, T.F.; Peng, Y.F.; Wang, Y.; Soeiro, T.B. A Simplified All-ZVS Strategy for High-Frequency Triple Active Bridge Converters With Designed Magnetizing Inductance. IEEE Trans. Power Electron. 2023, 38, 13781–13797. [Google Scholar] [CrossRef]










| Items | Value |
|---|---|
| Transformer ratio n | 6:5 |
| Inductor Lr | 5 μH |
| Port side capacitor Cdc | 14.1 μF |
| Switching frequency fs | 100 kHz |
| Dead time ddtTs | 200 ns |
| Switches Q1–Q4 | UF3C065040K4S, 52 mΩ@ ID = 40 A, TJ = 25 °C |
| Diode D1–D4 | UF3C065040K4S (without synchronous rectification, reverse diode only), 1.5 V@ IF = 20 A, TJ = 25 °C |
| MCU | SPC58NN84E7 |
| Items | Input Ripple | Output Ripple |
|---|---|---|
| PI control (in simulation) | 27 V | 30.5 V |
| PR control (in simulation) | 27 V | 2.5 V |
| SHVS control (in simulation) | 27 V | 1.4 V |
| PI control (in experiment) | 20 V | 14 V |
| SHVS control (in experiment) | 20 V | 3.5 V |
Disclaimer/Publisher’s Note: The statements, opinions and data contained in all publications are solely those of the individual author(s) and contributor(s) and not of MDPI and/or the editor(s). MDPI and/or the editor(s) disclaim responsibility for any injury to people or property resulting from any ideas, methods, instructions or products referred to in the content. |
© 2024 by the authors. Licensee MDPI, Basel, Switzerland. This article is an open access article distributed under the terms and conditions of the Creative Commons Attribution (CC BY) license (https://creativecommons.org/licenses/by/4.0/).
Share and Cite
Liu, J.; Gong, C.; Zhang, Y. A Novel Second Harmonic Voltage Suppression Control for PSFB Converter in Dual-Stage Single-Phase Rectifier. Electronics 2024, 13, 1830. https://doi.org/10.3390/electronics13101830
Liu J, Gong C, Zhang Y. A Novel Second Harmonic Voltage Suppression Control for PSFB Converter in Dual-Stage Single-Phase Rectifier. Electronics. 2024; 13(10):1830. https://doi.org/10.3390/electronics13101830
Chicago/Turabian StyleLiu, Jizhou, Chunyin Gong, and Yiyun Zhang. 2024. "A Novel Second Harmonic Voltage Suppression Control for PSFB Converter in Dual-Stage Single-Phase Rectifier" Electronics 13, no. 10: 1830. https://doi.org/10.3390/electronics13101830
APA StyleLiu, J., Gong, C., & Zhang, Y. (2024). A Novel Second Harmonic Voltage Suppression Control for PSFB Converter in Dual-Stage Single-Phase Rectifier. Electronics, 13(10), 1830. https://doi.org/10.3390/electronics13101830
