A 3.7 GHz CPW Filtering Antenna with a Pair of Gain Zeros
Abstract
1. Introduction
2. CPW Filtering Antenna Design
2.1. Structural Construction
2.2. Transmission Line Analysis
3. Design Analysis and Results of the CPW Filtering Antenna
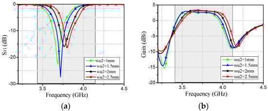
3.1. S-Parameter and Gain of the CPW Filtering Antenna
3.2. Patterns and Current Profile of the CPW Filtering Antenna
3.3. Fabrication and Experimental Results
3.4. Performance Comparisons
4. Conclusions
Author Contributions
Funding
Informed Consent Statement
Data Availability Statement
Conflicts of Interest
References
- Chu, H.; Jin, C.; Chen, J.X.; Guo, Y.X. A 3-D millimeter-wave filtering antenna with high selectivity and low cross-polarization. IEEE Trans. Antennas Propag. 2015, 63, 2375–2380. [Google Scholar] [CrossRef]
- Hu, H.; Chen, F.; Chu, Q. Novel Broadband Filtering Slotline Antennas Excited by Multimode Resonators. IEEE Antennas Wirel. Propag. Lett. 2017, 16, 489–492. [Google Scholar] [CrossRef]
- Zhang, Y.; Zhang, X.; Pan, Y. Compact Single- and Dual-Band Filtering Patch Antenna Arrays Using Novel Feeding Scheme. IEEE Trans. Antennas Propag. 2017, 65, 4057–4066. [Google Scholar] [CrossRef]
- Wu, W.J.; Yin, Y.Z.; Zuo, S.L.; Zhang, Z.Y.; Xie, J.J. A New Compact Filter-Antenna for Modern Wireless Communication Systems. IEEE Antennas Wirel. Propag. Lett. 2011, 10, 1131–1134. [Google Scholar]
- Zuo, J.; Chen, X.; Han, G.; Li, L.; Zhang, W. An integrated approach to RF antenna-filter co-design. IEEE Antennas Wirel. Propag. Lett. 2009, 8, 141–144. [Google Scholar]
- Chen, Y.; Hong, W.; Kuai, Z.; Wang, H. Ku-band linearly polarized omnidirectional planar filtenna. IEEE Antennas Wirel. Propag. Lett. 2012, 11, 310–313. [Google Scholar] [CrossRef]
- Mao, C.-X.; Gao, S.; Wang, Y.; Qin, F.; Chu, Q.-X. Multimode resonator-fed dual-polarized antenna array with enhanced bandwidth and selectivity. IEEE Trans. Antennas Propag. 2015, 63, 5492–5499. [Google Scholar] [CrossRef]
- Chuang, C.-T.; Chung, S.-J. Synthesis and design of a new printed filtering antenna. IEEE Trans. Antennas Propag. 2011, 59, 1036–1042. [Google Scholar] [CrossRef]
- Atallah, H.A.; Abdel-Rahman, A.B.; Yoshitomi, K.; Pokharel, R.K. CPW-Fed UWB antenna with sharp and high rejection multiple notched bands using stub loaded meander line resonator. Int. J. Electron. Commun. (AEÜ) 2018, 83, 22–31. [Google Scholar] [CrossRef]
- Prashant, R.J.; Saurabh, R.J.; Gaurav, U.; Shivesh, T.; Vijay, S.T. Circularly slotted flower shaped UWB filtering antenna with high peak gain performance. Int. J. Electron. Commun. (AEÜ) 2017, 81, 209–217. [Google Scholar]
- Sung, Y.J. Microstrip Resonator Doubling as a Filter and as an Antenna. IEEE Antennas Wirel. Propag. Lett. 2010, 9, 467–470. [Google Scholar] [CrossRef]
- Cahyasiwi, D.A.; Rahardjo, E.T. Circular Patch Filtering Antenna Design Based on Hairpin Bandpass Filter. In Proceedings of the 2018 International Symposium on Antennas and Propagation (ISAP), Busan, Republic of Korea, 23–26 October 2018; pp. 1–2. [Google Scholar]
- Chen, C. A Compact Wideband Endfire Filtering Antenna Inspired by a Uniplanar Microstrip Antenna. IEEE Antennas Wirel. Propag. Lett. 2022, 21, 853–857. [Google Scholar] [CrossRef]
- Al-Nuaimi, M.K.T.; Whittow, W.G. Compact microstrip bandstop filter using SRR and CSSR Design, simulation, and results. In Proceedings of the Fourth European Conference on Antennas and Propagation, Barcelona, Spain, 12–16 April 2010. [Google Scholar]
- Yahya, L.S.; Sayidmarie, K.H.; Elmegri, F.; Abd-Alhameed, R.A. Crescent-shaped double-monopole antennas with reduced coupling for WLAN and WIMAX applications. In Proceedings of the Internet Technologies and Applications (ITA), Wrexham, UK, 8–11 September 2015. [Google Scholar] [CrossRef]
- De Souza, F.A.A.; Campos, A.L.P.D.S.; Neto, A.G.; Serres, A.J.R.; De Albuquerque, C.C.R. Higher Order Mode Attenuation in Microstrip Patch Antenna with DGS H Filter Specification from 5 to 10 GHz Range. J. Microwaves. Optoelectron. Electromagn. Appl. 2020, 19, 214–227. [Google Scholar] [CrossRef]
- Wang, C.; Wang, L.; Zhang, Y.; Hu, W.; Jiang, X. A Filtering Dielectric Resonator Antenna Using CPW Fed for Sub-6GHz Applications. Proaress Electromagn. Res. Lett. 2022, 105, 49–56. [Google Scholar] [CrossRef]
- Ma, K.X.; Ma, J.G.; Yeo, K. A compact size coupling controllable filter with separate electric and magnetic coupling paths. IEEE Trans. Microw. Theory Tech. 2006, 54, 1113–1119. [Google Scholar]
- Al-Arajee, T.H.; Sayidmarie, K.H. A Circular Monopole Filtenna with Inverted L-shaped Stub for 5G Applications. Int. J. Microw. Opt. Technol. 2021, 16, 608–617. [Google Scholar]
- Al-Arajee, T.H.; Sayidmarie, K.H. A Rectangular Monopole Filtenna with U-shaped Slot for 5G Applications. In IOP Conference Series: Materials Science and Engineering; IOP Publishing: Bristol, UK, 2021; Available online: https://iopscience.iop.org/article/10.1088/1757-899X/1152/1/012011/meta (accessed on 10 January 2023).
- Juma’a, F.K.; Al-Mayoof, A.I.; Abdulhameed, A.A.; Alnahwi, F.M.; Al-Yasir, Y.I.A.; Abd-Alhameed, R.A. Design and Implementation of a Miniaturized Filtering Antenna for 5G Mid-Band Applications. Electronics 2022, 11, 2979. [Google Scholar] [CrossRef]













| W | L | w1 | g1 | wu1 | wu2 | lu1 |
|---|---|---|---|---|---|---|
| 70 | 70 | 1.5 | 0.5 | 1.2 | 1.5 | 12.2 |
| lu2 | s1 | s2 | s3 | r1 | r2 | w2 |
| 12.2 | 0.2 | 0.1 | 0.2 | 16 | 19 | 29 |
| References | Center Frequency (GHz) | Gain Zeros | Spurious Responses | Bandwidth Controllable | Max. Gain (dBi) | Circuit Type | Size (mm2) |
|---|---|---|---|---|---|---|---|
| [4] | 2.45 | no | no | na | 2.41 | microstrip | 43 × 30 |
| [5] | 3.95 | no | yes | na | 4.3 | microstrip | 30 × 20 |
| [8] | 2.45 | no | no | na | −1.3 | microstrip | 60 × 70 |
| [11] | 0.67 | 2 | yes | na | 4.2 | microstrip | 80 × 80 |
| [19] double stub | 3.6 | no | yes | - | 3.13 | microstrip | 35 × 44 |
| [20] | 3.6 | no | yes | - | 2.57 | microstrip | 35 × 44 |
| [21] | 3.68 | no | no | - | 2.2 | microstrip | 24.2 × 27 |
| This work | 3.7 | 2 | no | yes | 2.98 | CPW | 70 × 70 |
Disclaimer/Publisher’s Note: The statements, opinions and data contained in all publications are solely those of the individual author(s) and contributor(s) and not of MDPI and/or the editor(s). MDPI and/or the editor(s) disclaim responsibility for any injury to people or property resulting from any ideas, methods, instructions or products referred to in the content. |
© 2023 by the authors. Licensee MDPI, Basel, Switzerland. This article is an open access article distributed under the terms and conditions of the Creative Commons Attribution (CC BY) license (https://creativecommons.org/licenses/by/4.0/).
Share and Cite
Xue, Y.; Dong, Y.; Huang, W.; Yan, R.; Xiang, J.; Wang, P. A 3.7 GHz CPW Filtering Antenna with a Pair of Gain Zeros. Electronics 2023, 12, 2145. https://doi.org/10.3390/electronics12092145
Xue Y, Dong Y, Huang W, Yan R, Xiang J, Wang P. A 3.7 GHz CPW Filtering Antenna with a Pair of Gain Zeros. Electronics. 2023; 12(9):2145. https://doi.org/10.3390/electronics12092145
Chicago/Turabian StyleXue, Yulei, Yanchen Dong, Weiping Huang, Ruiqiang Yan, Jiaqiang Xiang, and Peng Wang. 2023. "A 3.7 GHz CPW Filtering Antenna with a Pair of Gain Zeros" Electronics 12, no. 9: 2145. https://doi.org/10.3390/electronics12092145
APA StyleXue, Y., Dong, Y., Huang, W., Yan, R., Xiang, J., & Wang, P. (2023). A 3.7 GHz CPW Filtering Antenna with a Pair of Gain Zeros. Electronics, 12(9), 2145. https://doi.org/10.3390/electronics12092145
