Bistable Switch Based on Tunable Fano Resonance in Coupled Resonator-Cavity Structure
Abstract
1. Introduction
2. Model Design
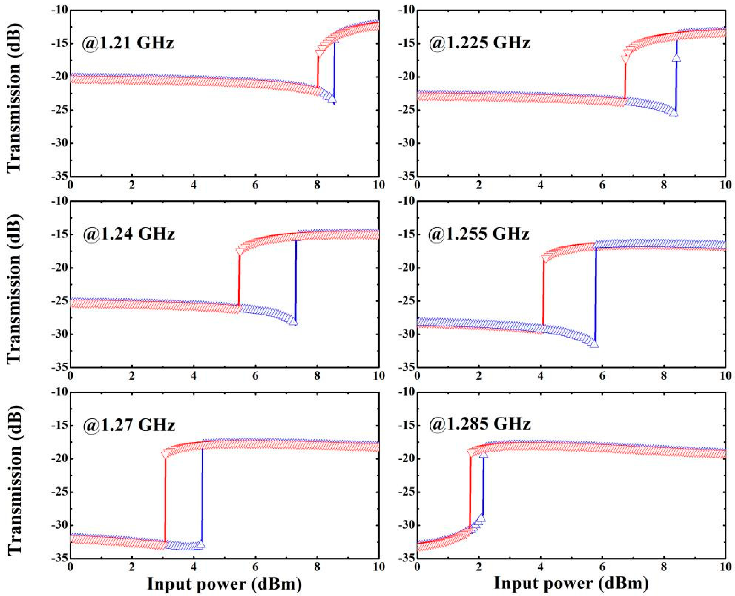
3. Simulations and Experiments
4. Conclusions
Author Contributions
Funding
Data Availability Statement
Acknowledgments
Conflicts of Interest
References
- Zharov, A.A.; Shadrivov, I.V.; Kivshar, Y.S. Nonlinear Properties of Left-Handed Metamaterials. Phys. Rev. Lett. 2003, 91, 037401. [Google Scholar] [CrossRef] [PubMed]
- Shadrivov, I.V.; Morrison, S.K.; Kivshar, Y.S. Tunable split-ring resonators for nonlinear negative-index metamaterials. Opt. Express 2006, 14, 9344–9349. [Google Scholar] [CrossRef] [PubMed]
- Powell, D.A.; Shadrivov, I.V.; Kivshar, Y.S. Nonlinear electric metamaterials. Appl. Phys. Lett. 2009, 95, 084102. [Google Scholar] [CrossRef]
- Wang, B.; Zhou, J.; Koschny, T.; Soukoulis, C.M. Nonlinear properties of split-ring resonators. Opt. Express 2008, 16, 16058–16063. [Google Scholar] [CrossRef] [PubMed]
- Huang, D.; Poutrina, E.; Smith, D.R. Analysis of the power dependent tuning of a varactor-loaded metamaterial at microwave frequencies. Appl. Phys. Lett. 2010, 96, 104104. [Google Scholar] [CrossRef]
- Mingaleev, S.F.; Kivshar, Y.S. Nonlinear transmission and light localization in photonic-crystal waveguides. J. Opt. Soc. Am. B 2002, 19, 2241–2249. [Google Scholar] [CrossRef]
- Soljačić, M.; Ibanescu, M.; Johnson, S.G.; Fink, Y.; Joannopoulos, J.D. Optimal bistable switching in nonlinear photonic crystals. Phys. Rev. E. 2002, 66, 055601. [Google Scholar] [CrossRef]
- Yanik, M.F.; Fan, S.; Soljačić, M. High-contrast all-optical bistable switching in photonic crystal microcavities. Appl. Phys. Lett. 2003, 83, 2739–2741. [Google Scholar] [CrossRef]
- Du, G.Q.; Jiang, H.T.; Wang, Z.S.; Chen, H. Optical nonlinearity enhancement in heterostructures with thick metallic film and truncated photonic crystals. Opt. Lett. 2009, 34, 578. [Google Scholar] [CrossRef]
- Tanabe, T.; Notomi, M.; Mitsugi, S.; Shinya, A.; Kuramochi, E. All-optical switches on a silicon chip realized using photonic crystal nanocavities. Appl. Phys. Lett. 2005, 87, 151112. [Google Scholar] [CrossRef]
- Hattori, T.; Tsurumachi, N.; Nakatsuka, H. Analysis of optical nonlinearity by defect states in one dimensional photonic crystals. J. Opt. Soc. Am. B 1997, 14, 348–355. [Google Scholar] [CrossRef]
- Ma, G.H.; Shen, J.; Rajiv, K.; Tang, S.H.; Zhang, Z.J.; Hua, Z.Y. Optimization of two-photon absorption enhancement in one-dimensional photonic crystals with defect states. Appl. Phys. B 2005, 80, 359–363. [Google Scholar] [CrossRef]
- Li, X.; Xie, K.; Jiang, H.M. Properties of defect modes in one-dimensional photonic crystals containing two nonlinear defects. Opt. Commun. 2009, 282, 4292–4295. [Google Scholar] [CrossRef]
- Aghaie, M.; Hebri, D.; Ghaedzadeh, A.; Bazyar, H. Controlled bistability by using array defect layers in one-dimensional nonlinear photonic crystals. Appl. Optics 2012, 51, 2477–2484. [Google Scholar] [CrossRef] [PubMed]
- Sharma, S.; Kumar, R.; Singh, K.S.; Kumar, V.; Kumar, A. Single channel tunable wavelength demultiplexer using nonlinear one dimensional defect mode photonic crystal. Optik 2015, 125, 4895–4897. [Google Scholar] [CrossRef]
- Cai, X.H.; Xu, Q.J.; Wang, S.W.; Li, S.H. Low-cross-talk and high-contrast all optical bistable switching based on coupled defects in a nonlinear photonic crystal cross-waveguide geometry. Photonic. Nanostruct. 2015, 13, 89–96. [Google Scholar] [CrossRef]
- Veselago, V. The electrodynamics of substances with simultaneously negative values of ε and μ. Sov. Phys. Usp. 1968, 10, 509–514. [Google Scholar] [CrossRef]
- Pendry, J.B. Negative Refraction Makes a Perfect Lens. Phys. Rev. Lett. 2000, 85, 3966–3969. [Google Scholar] [CrossRef]
- Shelby, R.A.; Smith, D.R.; Schultz, S. Experimental Verification of a Negative Index of Refraction. Science 2001, 292, 77–79. [Google Scholar] [CrossRef]
- Pendry, J.B.; Schurig, D.; Smith, D.R. Controlling Electromagnetic Fields. Science 2006, 312, 1780–1782. [Google Scholar] [CrossRef]
- Engheta, N. Circuits with Light at Nanoscales: Optical Nanocircuits Inspired by Metamaterials. Science 2007, 317, 1698–1702. [Google Scholar] [CrossRef] [PubMed]
- Fano, U. Effects of Configuration Interaction on Intensities and Phase Shifts. Phys. Rev. 1961, 124, 1866–1878. [Google Scholar] [CrossRef]
- Papasimakis, N.; Fedotov, V.A.; Zheludev, N.I.; Prosvirnin, S.L. Metamaterial Analog of Electromagnetically Induced Transparency. Phys. Rev. Lett. 2008, 101, 253903. [Google Scholar] [CrossRef]
- Zhang, S.; Genov, D.A.; Wang, Y.; Liu, M.; Zhang, X. Plasmon-Induced Transparency in Metamaterials. Phys. Rev. Lett. 2008, 101, 047401. [Google Scholar] [CrossRef] [PubMed]
- Liu, N.; Langguth, L.; Weiss, T.; Kästel, J.; Fleischhauer, M.; Pfau, T.; Giessen, H. Plasmonic analogue of electromagnetically induced transparency at the Drude damping limit. Nat. Mater. 2009, 8, 758–762. [Google Scholar] [CrossRef]
- Tassin, P.; Zhang, L.; Koschny, T.; Economou, E.N.; Soukoulis, C.M. Low-Loss Metamaterials Based on Classical Electromagnetically Induced Transparency. Phys. Rev. Lett. 2009, 102, 053901. [Google Scholar] [CrossRef] [PubMed]
- Fan, S.H. Sharp asymmetric line shapes in side-coupled waveguide-cavity systems. Appl. Phys. Lett. 2002, 80, 908–910. [Google Scholar] [CrossRef]
- Fedotov, V.A.; Rose, M.; Prosvirnin, S.L.; Papasimakis, N.; Zheludev, N.I. Sharp trapped-mode resonances in planar metamaterials with a broken structural symmetry. Phys. Rev. Lett. 2007, 99, 147401. [Google Scholar] [CrossRef]
- Guo, Z.W.; Jiang, H.T.; Li, Y.H.; Chen, H.; Agarwal, G.S. Enhancement of electromagnetically induced transparency in metamaterials using long range coupling mediated by a hyperbolic material. Opt. Express 2018, 26, 627–641. [Google Scholar] [CrossRef]
- Miroshnichenko, A.E.; Flach, S.; Kivshar, Y.S. Fano resonance in nanoscale structures. Rev. Mod. Phys. 2010, 82, 2257–2298. [Google Scholar] [CrossRef]
- Luk’yanchuk, B.; Zheludev, N.I.; Maier, S.A.; Halas, N.J.; Nordlander, P.; Giessen, H.; Chong, C.T. The Fano resonance in plasmonic nanostructures and metamaterials. Nat. Mater. 2010, 9, 707–715. [Google Scholar] [CrossRef] [PubMed]
- Singh, R.; Al-Naib, I.A.I.; Koch, M.; Zhang, W.L. Sharp Fano resonances in THz metamaterials. Opt. Express 2011, 19, 6312–6319. [Google Scholar] [CrossRef]
- Li, B.B.; Xiao, Y.F.; Zou, C.L.; Jiang, X.F.; Liu, Y.C.; Sun, F.W.; Li, Y.; Gong, Q.H. Experimental controlling of Fano resonance in indirectly coupled whispering-gallery microresonators. Appl. Phys. Lett. 2012, 100, 021108. [Google Scholar] [CrossRef]
- Xie, J.Y.; Hu, X.Y.; Wang, F.F.; Ao, Y.T.; Gao, W.; Yang, H.; Gong, Q.H. Ultralow-power on-chip all-optical Fano diode based on uncoupled nonlinear photonic-crystal nanocavities. J. Opt. 2018, 20, 034004. [Google Scholar] [CrossRef]
- Sun, Y.; Tong, Y.W.; Xue, C.H.; Ding, Y.Q.; Li, Y.H.; Jiang, H.T.; Chen, H. Electromagnetic diode based on nonlinear electromagnetically induced transparency in metamaterials. Appl. Phys. Lett. 2013, 103, 091904. [Google Scholar] [CrossRef]
- Chen, Y.Q.; Dong, L.J.; Fang, Y.; Wu, X.Z.; Wu, Q.Y.; Jiang, J.; Shi, Y.L. Bistable switching in electromagnetically induced-transparency-like meta-molecule. Appl. Phys. A Mater. 2019, 125, 22. [Google Scholar] [CrossRef]
- Chen, Y.Q.; Xu, G.Y.; Ding, Y.Q.; Fang, Y.; Wu, X.Z.; Wang, J.; Sun, Y. Electromagnetic diode action in an asymmetric side-coupled cavity-resonator system. Opt. Mater. Express 2021, 11, 3275–3283. [Google Scholar] [CrossRef]
- Fan, Y.C.; Qiao, T.; Zhang, F.; Fu, Q.; Dong, J.; Kong, B.; Li, H.Q. An electromagnetic modulator based on electrically controllable metamaterial analogue to electromagnetically induced transparency. Sci. Rep. 2017, 7, 40441. [Google Scholar] [CrossRef]






Disclaimer/Publisher’s Note: The statements, opinions and data contained in all publications are solely those of the individual author(s) and contributor(s) and not of MDPI and/or the editor(s). MDPI and/or the editor(s) disclaim responsibility for any injury to people or property resulting from any ideas, methods, instructions or products referred to in the content. |
© 2023 by the authors. Licensee MDPI, Basel, Switzerland. This article is an open access article distributed under the terms and conditions of the Creative Commons Attribution (CC BY) license (https://creativecommons.org/licenses/by/4.0/).
Share and Cite
Jiang, Z.; Gao, L.; Ding, Y.; Fang, Y.; Wu, X.; Wu, Q.; Sun, Y.; Chen, Y. Bistable Switch Based on Tunable Fano Resonance in Coupled Resonator-Cavity Structure. Electronics 2023, 12, 2023. https://doi.org/10.3390/electronics12092023
Jiang Z, Gao L, Ding Y, Fang Y, Wu X, Wu Q, Sun Y, Chen Y. Bistable Switch Based on Tunable Fano Resonance in Coupled Resonator-Cavity Structure. Electronics. 2023; 12(9):2023. https://doi.org/10.3390/electronics12092023
Chicago/Turabian StyleJiang, Zhuofan, Lei Gao, Yaqiong Ding, Yu Fang, Xingzhi Wu, Qian Wu, Yong Sun, and Yongqiang Chen. 2023. "Bistable Switch Based on Tunable Fano Resonance in Coupled Resonator-Cavity Structure" Electronics 12, no. 9: 2023. https://doi.org/10.3390/electronics12092023
APA StyleJiang, Z., Gao, L., Ding, Y., Fang, Y., Wu, X., Wu, Q., Sun, Y., & Chen, Y. (2023). Bistable Switch Based on Tunable Fano Resonance in Coupled Resonator-Cavity Structure. Electronics, 12(9), 2023. https://doi.org/10.3390/electronics12092023

