Next Article in Journal
Designing a Multi-Output Power Supply for Multi-Electrode Arc Welding
Previous Article in Journal
Research on Improved Multi-Channel Image Stitching Technology Based on Fast Algorithms
 
 
Font Type:
Arial Georgia Verdana
Font Size:
Aa Aa Aa
Line Spacing:
Column Width:
Background:
Article

ICN-Oriented Mobility Support Method for Dynamic Allocation of Mobile Data Flows

1
National Network New Media Engineering Research Center, Institute of Acoustics, Chinese Academy of Sciences, No. 21, North Fourth Ring Road, Haidian District, Beijing 100190, China
2
School of Electronic, Electrical and Communication Engineering, University of Chinese Academy of Sciences, No. 19(A), Yuquan Road, Shijingshan District, Beijing 100049, China
*
Author to whom correspondence should be addressed.
Electronics 2023, 12(7), 1701; https://doi.org/10.3390/electronics12071701
Submission received: 3 March 2023 / Revised: 31 March 2023 / Accepted: 2 April 2023 / Published: 3 April 2023

Abstract

Information-centric networking (ICN) is a promising solution that can meet the challenges of IP-based networks. ICN adopts the solution of separating name and address to solve the dual semantics problem of IP addresses, which has natural advantages in supporting mobility. These mobility support methods in ICN have realized route optimization to a certain extent. In fact, due to these methods not considering the real-time network environment, such as the bandwidth of the switching path and the characteristics of different mobile data flows, these approaches adopt the same routing optimization solution for all data flows generated by mobile users, resulting in a single switching path. The bandwidth of a single switching path may not meet the transmission requirements of mobile data flows, which will greatly affect the performance of mobile users. Therefore, how to efficiently allocate switching paths for multiple mobile data flows generated by mobile users is an urgent problem in ICN mobility support. In this paper, we first propose a mobility support method for dynamically allocating mobile data flows (DAFM) based on the ICN mobility support architecture and model the mobile data flow allocation problem as a late-binding node selection problem. We then propose a double-constraints heuristic algorithm (DCHA) based on the Moser algorithm. By simultaneously adjusting the bandwidth resource constraints of the switching path and the space resource constraints of the Mobility Flow Table (MFT), we achieve late-binding node selection to minimize average packet delay. Finally, experimental results show that our proposal can achieve mobility support. Under the guarantee of a low-latency Name Resolution System (NRS), our method outperforms other methods in terms of average packet delay, packet loss rate, and handover delay.

1. Introduction

With the explosive growth of mobile data traffic and the number of mobile devices, mobility support has become a long-standing problem and challenge in mobile Internet. How to provide more efficient data services for mobile users is a challenging problem.
In the early stages of traditional TCP/IP network architecture design, mobility support was not considered. The IP address was given dual semantics. On the one hand, it was used as the identity identification of the mobile device to uniquely identify the device. On the other hand, it was used as the location identification of the mobile device to provide routing, addressing, and other functions. Therefore, the dual semantics of IP addresses has seriously limited the development of mobility management technology. In IP networks, the most famous protocol is Mobile Internet Protocol (MIP) [1,2,3] and its evolution [4,5,6,7]. MIP maintains the binding relation by its Home Agent (HA). The data traffic sent to the MN will be sent to its Home Agent first, which will lead to triangular routing and a single point of failure. Protocols such as Host Identity Protocol (HIP) [8] and Identifier-Locator Network Protocol (ILNP) [9] maintain their binding relationship by relying on the host to process all mobility related signals. After the move, the mobile host notifies other hosts of its new locator in an end-to-end manner, which will take a lot of time. Therefore, these mobility support methods in IP networks cannot meet the needs of the rapidly growing number of mobile devices and mobile traffic.
In order to better meet the needs of users, information-centric networking (ICN) [10,11,12] is proposed. Different from the end-to-end communication used in traditional IP networks, ICN focuses on the content object itself rather than the location. ICN names information by separating identity and location, replacing IP addresses with the corresponding name as an identifier in network transmissions [13]. By naming content at the network layer, ICN supports in-network caching, multicast, and mobility mechanisms to deliver content to users more efficiently [11]. ICN has two types of content discovery mechanisms, namely lookup-by-name and routing-by-name. ICN’s feature of separating name and address and supporting name-based content discovery mechanisms can effectively solve the IP semantic overload problem. Thus, ICN has a natural advantage in supporting mobility.
We divide the mobility support proposals in ICN into anchor-based proposals and anchorless proposals. Anchor-based proposals [14,15,16,17,18] are similar to MIP. Packets are always transmitted through anchor nodes, which will lead to problems such as mobile handoff path extension, single points of failure, and so on. Anchorless proposals [19,20,21,22,23,24,25,26,27] remove the anchor nodes, thus realizing optimization of the forwarding path to a certain extent and bringing better performance to the handover. With the rise of the mobile Internet, the Internet of Things, and the industrial Internet, various mobile applications that require low latency have emerged, such as augmented reality, intelligent vision applications, and online games. After the mobile route is optimized, the data transmission capability of the switching path will greatly affect mobile packet delay. With the development of network devices, each network device integrates multiple functions. A content producer device can provide consumers with multiple content services at the same time. Multiple data flows will be generated between consumers and producers. Existing anchorless mobility support methods do not consider the real-time network environment, such as the bandwidth of the switching path and the characteristics of different mobile data flows. The same optimization method is adopted for all mobile data flows, making the switching path singular. If the bandwidth of a single switching path cannot meet the transmission requirements of mobile data flows, it will cause network congestion. Network congestion will lead to increased packet delay and a large amount of packet loss, which will greatly affect the performance of low-latency mobile applications and make mobile user experiences worse. How to provide customized switching paths for multiple data flows is the focus of this paper. Therefore, how to design and support the dynamic allocation of mobile data flows is the key problem to solve when optimizing routes for ICN mobility support, which has important practical significance for improving performance for mobile users and balancing network loads.
In this paper, to solve the aforementioned problems faced by the route optimization of ICN mobility support, we focus on designing a mobility support method for dynamically allocating mobile data flows to ensure user experiences are not affected by poor performance. The main contributions of this paper are as follows:
  • We propose a mobility support method for dynamically allocating mobile data flows (DAFM) based on ICN mobility support architecture. The proposed approach realizes the dynamic allocation of switching paths for mobile data flows through directed propagation and processing of Mobile Path Notifications (MPNs) and Mobile Path Updates (MPUs). Unlike other anchorless approaches, our proposal avoids a bottleneck in the single switching path. Dynamic allocation of mobile flows will improve packet forwarding and load balancing and ultimately improve performance for mobile users.
  • We model the mobile data flow assignment problem as a dynamic selection problem of a set of routers, which play the role of a late-binding node for a given set of flows. The selection of late-binding nodes should be optimal to minimize packet delay and balance the load between routers.
  • We prove that the problem of assigning routers to different flows is NP-hard, and we propose a heuristic algorithm to resolve it. This algorithm improves the Moser [28] algorithm. By simultaneously adjusting the bandwidth resource constraints of the switching path and the space resource constraints of the Mobile Flow Table (MFT), it realizes late-binding node selection to minimize average packet delay.
  • We develop and implement the proposed mobility support method in Mininet [29] and compare it with the existing anchorless approaches of MAP-ME [20] and the OPT [21]. Experimental results show that our proposal outperforms other methods in terms of average packet delay, packet loss rate, and handover delay under the guarantee of a low-latency Name Resolution System (NRS).
The structure of this paper is as follows. In Section 2, we discuss the related work on mobility support. In Section 3, we provide details of the proposed dynamic allocation of mobile data flows and build a model of late-binding node selection using minimized average packet delay as the optimization target. In Section 4, we propose the details of the late-binding node selection algorithm. In Section 5, we describe the experimental simulation and provide analysis of the results. Finally, in Section 6, we conclude this paper and discuss our plans for future work.

2. Related Work

In this section, we discuss the related work on mobility support methods in traditional IP networks and mobility support methods in ICN.

2.1. Mobility Support in IP Networks

This paper focuses on mobility support solutions in the network layer. The Internet Engineering Task Force (IETF) has defined some IP mobility management protocols, which can roughly be described as host-based mobility management protocols and network-based mobility management protocols.
Mobile IP (MIP) [1] and Mobile IPv6 (MIPv6) [2,3] are typical host-based mobility management protocols. With MIPv6, when a mobile node (MN) changes its network during handover, it will register its new address with the Home Agent (HA). A bidirectional tunnel will then be established between the MN and HA to forward the data packet to the new location of the MN. The main disadvantage of MIP is that all data packets from the Communication Node (CN) to the MN must be passed through the HA, which leads to triangular routing. Mobile signaling and data need to be handled by the HA, which can easily lead to a single point of failure and single point of attack. In order to reduce the long delay in exchanging mobile signaling between the MN and HA, the IETF proposed and standardized Hierarchical Mobile IPv6 (HMIPv6) [4]. HMIPv6 establishes a local HA called the Mobility Anchor Point (MAP) and establishes a hierarchy of MAPs in the form of a tree. The local HA handles mobility when the MN moves within the local area. When the MN leaves the locally mapped domain, the parent MAP of the local HA provides mobility support. In this way, HMIPv6 reduces handover latency. However, the problem of path extension caused by using MAPs is still not resolved. Lee et al. [5] proposed a distributed mobility management protocol based on MIPv6, which uses more anchors at the edge of the network to shorten the distance between MNs and anchors. Multiple anchors bring higher tunnel overheads and network complexity. If the MN continues to move, the selection of anchors remains rigid and fixed. Therefore, the problem of switching path extension caused by using anchors still exists.
In host-based mobility management protocols, besides solutions using anchors, there are also solutions that directly separate the dual functions of IP addresses. Host Identity Protocol (HIP) [8] adds a new host identification layer between the transport layer and the network layer, uses the Host Identity Tag (HIT) to identify the mobile node, and only uses the IP address for routing purposes. HIP introduces a Rendezvous Server (RVS) to store the mapping relationship between the HIT and IP address. When the MN moves, it will send a location update message to the RVS and CN to inform them of the latest address being used for the MN. ILNP [9] divides the IPv6 address into two parts: the upper 64 bits as the locator and the lower 64 bits as the identifier. DNS maintains a mapping between identifiers and locators. After the MN handover is completed, the MN sends a message to update the DNS and CN mappings. These protocols essentially solve the dual semantics problem of IP addresses. However, such protocols are highly dependent on the host to handle mobile signaling safely, which will bring greater handover delay.
Next, we discuss network-based mobility management protocols. Proxy Mobile IPv6 (PMIPv6) [6] introduces a Local Mobile Anchor (LMA) and a Mobile Access Gateway (MAG) to handle mobility instead of the host. When the MN changes its network, its movement is detected by the MAG belonging to the new network. The MAG belonging to the new network then sends the signaling message to the LMA. In turn, the LMA establishes a bidirectional tunnel with the MAG to forward packets. Compared with MIPv6, PMIPv6 provides better performance in terms of handover delay and signaling costs. Because PMIPv6 still uses fixed a LMA, it does not solve the problems caused by fixed anchors. Yi et al. [7] proposed a partial distributed mobility management protocol based on PMIPv6 called D-PMIPV6. It separates the control layer and data layer of traditional anchors. The MAG still controls mobile signaling and the MN’s location. The LMA is divided into a Control Plane Local Mobility Anchor (CLMA) and a Data Plane Local Mobility Anchor (DLMA). The CLMA realizes the selection of the DLMA for the MN and avoids the single anchor problem. However, this method still has problems related to triangular routing and tunnel overhead.
In general, most protocols that use anchors to solve mobility in traditional IP networks have problems, such as triangular routing, single points of failure, and high tunnel overhead. For mobility protocols that completely separate the dual functions of IP addresses, they rely on the host to process mobile signaling. In addition, end-to-end mobile signaling notification propagation will cause a large handover delay.

2.2. Mobility Support in ICN

We roughly divide the mobility support proposals in ICN into anchor-based proposals and anchorless proposals and discuss them separately.

2.2.1. Anchor-Based Proposals

Anchor-based proposals are similar to MIP in that a dedicated anchor is used to manage the mobility of producers. Whenever the mobile producer changes its attachment point, the mobile producer will notify the anchor. The request for content is redirected to the anchor. The anchor then forwards the request to the current location of the mobile producer.
Hermans et al. [14] proposed an indirect node mobility method. The consumer sends a request to the indirect node, which caches the request and then sends a new request to the producer. When the indirect node receives the data from the producer, it caches the data and sends it to the consumer. When the producer moves, the indirect node will be notified. The indirect node then caches the request. Once the producer completes the switch, it notifies the indirect node of the new path information and triggers the indirect node to forward the cached request. In this proposal, the communication of mobile nodes is managed centrally by the indirect node, and maintenance of the indirect node will cause a relatively large overhead.
Kite [15] uses the status of a PIT to track and reach mobile producers and makes the new location of mobile producers transparent through a routable anchor. The mobile producer sends the tracked interest to the fixed anchor router, notifies it of its new location, and establishes the tracked fixed anchor in each PIT along the intermediate router. A consumer sends an interest to a fixed anchor, which modifies that interest by adding a tracking name field and a tracking-only flag, which is called a tracing interest. The tracking interest will be redirected to the producer’s current location according to PIT tracking. Consumer interests always make the forwarding path non-optimal through fixed anchors.
Kim et al. [16] proposed a mobility support method based on on-demand anchors, which uses adaptive interest forwarding to provide solutions. The feature of this method is that the consumer’s interests will only be redirected from the old connection point to the anchor node when the producer moves and the existing FIB information is invalid. After the mobile producer switches, a mobility update is sent to the anchor. The anchor uses the mobility update to track the new connection point and forward the pending interests to the producer. Compared with Kite [15], this solution reduces network overhead and improves the time required for content acquisition. However, this approach does not specify the anchor selection method, so there is still the problem of inefficient data forwarding paths caused by the redirection of interests.
Hussaini et al. [17] proposed a producer mobility support scheme based on the best broadcast strategy. After the mobile producer switches, it sends a Mobility Interest (MI) packet to the fixed anchor router, where the MI contains the location information of the mobile producer. The fixed anchor router broadcasts the MI to update the FIB’s prefix table entries of intermediate routers to form the best forwarding path between the consumer and the producer. The broadcast strategy is not conducive to network scalability, and there is no clear explanation about the placement of fixed anchor routers.
A study of [18] hybrid network mobility support in NDN proposed a method for handling producer mobility. The proposed scheme controls the Mobile Network Node (MNN) through Mobile Routers (MRs) and Mobile Agents (MAs). The MNN is located under the authority of the MR. When the MR moves and attaches to a new PoA offered by the access router (AR) in the inter-network known as inter-NEMO, then the MR and new AR exchange their location information. The Packet Update (PU) is forwarded, and a Packet Acknowledgement (PACK) is received from the AR by the MNN’s HA and the previous AR to notify them about movement behavior. A Binding Update Table (BIT) is created on intermediate routers, the AR, and the HA, which is then used to redirect interest. However, the use of a fixed HA brings problems, such as handover path extension and single points of failure.
Finally, the common problem of anchor-based mobility proposals is that interests are always transmitted through the anchor node, and the length of the forwarding path may be much longer than the shortest path calculated in the routing plane.

2.2.2. Anchorless Proposals

Augé et al. [19] proposed a mobility support method without anchors. When the mobile producer switches to a new network Point of Attachment (PoA), it sends a prefix update message to the old PoA. The old PoA then redirects the incoming interests to the new PoA. The intermediate routers that receive the message temporarily update (or add) the reverse path in their FIB to redirect the matching interests to the new PoA. Methods without anchors are currently being further developed. MAP-ME was proposed in [20], which allows producers to send Interest Update (IU) messages from the new location to the previous location of “themselves” to update the router’s FIB concerning the new and old locations so that the matched interests can be redirected. This scheme can minimize the cost of path updates because the new entry is only temporarily added to the router between the old PoA and the new old PoA. As a new handover process, there is no need to resend interest packets, which automatically avoids the triangle routing problem. However, this scheme is related to topology. When implemented on some topologies, the forwarding path of data in MAP-ME is not the best. In addition, it is worth remembering that micro mobility is not suitable for future large-scale mobile networks.
Hussaini et al. [21] proposed a producer mobility support method based on the optimal broadcast strategy (OPT). The mobile producer sends a Mobility Interest (MI) with new location information to the new location access router (N-AR), and the N-AR broadcasts the MI to update the FIB of the intermediate router connecting the producer and the consumer so as to optimize the data forwarding path. For further development of the broadcast-based mobility support method, OPMSS [22] was proposed. OPMSS [22] provides a data path optimization solution using mobility update, broadcast, and optimal routing strategies. Although the broadcast-based mobility scheme optimizes interest and data forwarding paths, broadcast mobility signaling brings large network overhead, which is not conducive to network scalability.
Ref. [23] uses location prediction technology to manage the mobility of producers to ensure seamless handover of producers in real-time multimedia communication. When the signal strength (RSS) received by the producer is lower than a certain threshold, the producer sends an interest path update message to the old access point (oAP) to notify it of its mobility. The oAP predicts the new access point (nAP) of the mobile producer according to the location information carried by the interest path update message, sends the interest redirection message to its nAP, updates the FIB of the intermediate router, and redirects the interest to the nAP. If the nAP’s prediction fails, the mobile producer broadcasts its new name prefix. Acquisition of the nAP in this scheme depends on the accuracy of mobile prediction. If it fails, the scheme will fall back to the whole network route update. The business continuity of real-time applications will not be guaranteed.
Ref. [24] shows a case of consumer mobility support in large LEO satellite constellations. This case makes full use of in-network caching and direct retransmitted interests due to handovers to the previous connected satellite via forwarding hints to enhance consumer mobility support. However, this method results in an extension of the data forwarding path.
Kar et al. [25] proposed an efficient producer mobility management technology for real-time communication in NDN-based remote health monitoring systems. This method not only registers the mobile producer with the nearest access point (AP), but also registers it with multiple adjacent APs. In this way, delays caused by AP handover and packet loss rates can be effectively reduced, allowing mobile producers to move across cells with low latency and low packet loss rates. When a Named Data Network loses track of the producer, it uses a flooding strategy to transmit packets. The flooding of packets consumes a large amount of wireless resources, which is not conducive to network scalability. Multipoint registration can also bring consistency issues.
MobilityFirst [26] uses a globally unique identifier (GUID) to identify the identity information of the device or data, and a network address (NA) represents the current location information of the device or content. The mapping of GUID to NA is completed through the global name-resolution system (GNRS). When the NA is unreachable after the device or content is moved, the router caches the data and continues to forward the data after querying the GNRS to obtain a valid NA so as to achieve hop-by-hop forwarding path optimization. MobilityFirst uses universal storage-aware routing to effectively sense the network’s status and ensures the reliable transmission of data by using the hop-by-hop confirmation transmission mechanism. MobilityFirst’s routing mechanism can play a very good role in interstellar communication or disaster relief communication; however, it is not suitable for improving user experiences in modern life, such as in scenarios where low latency is required. Kang et al. [27] proposed an enhanced programmable data plane supporting ICN mobility. Combined with SDN, by offloading mobility-related control plane functions from the controller to the data plane, the data plane can handle mobility signaling locally without interacting with the controller. By improving the flow table matching algorithm, mobile signaling processing capability is enhanced and the delay is reduced. This proposal is similar to MobilityFirst; when the NA is unreachable, a valid NA is obtained by querying the Name Resolution System (NRS). However, the proposal does not focus on mobile route optimization.

3. How Can Dynamic Allocation Flows Be Realized in Mobility Support?

In Section 3.1, we first introduce an overview of mobility support architecture in ICN. We describe details of the proposed dynamic allocation of mobile data flows in Section 3.2. In Section 3.3, we model the mobile data flow assignment problem as a late-binding node selection problem and build a model to solve this problem using minimized average packet delay as the optimization target; thus proving that the late-binding node selection problem is a special MMKP that is NP-hard.

3.1. Architecture Overview

At present, the ICN industry has put forward many ICN deployment plans, such as Publish Subscribe Internet Technology (PURSUIT) [30], Content-Centric Networking (CCN) [31], and Named Data Networking (NDN) [32]. However, these deployment plans are not compatible with traditional IP networks, resulting in high deployment costs that limit their development. The ICN architecture used in our mobility support method is the On-Site, Elastic, Autonomous Network (SEANet) [33]. It can coexist with existing IP networks to achieve incremental deployment. The content discovery mechanism uses lookup by name instead of routing by name (represented by CCN and NDN). According to the main principle of separation of identity and location in ICN, elements such as contents, devices, and services can be regarded as entities in the network. Each entity is assigned an Entity ID (EID) as an identifier (or name) and a network address (NA) as a locator. In order to be compatible with the existing IP network, the IP address is used as the NA. Therefore, the identifier is completely separated from the locator, and they are dynamically bound together through use of the Name Resolution System (NRS).
As shown in Figure 1, we consider a mobile communication system that includes a producer, routers, Name Resolution Systems (NRSs), wireless access points (APs), and a consumer. The NRS maintains the latest mapping relationship between EIDs and NAs. The consumer requests multiple forms of content released by the producer. The content will be divided into multiple groups of packets for transmission. We define a group of packets from the same content as a data flow. The data packet needs to carry the source EID (identifier of the content), destination EID (identifier of the consumer), and destination network address (consumer’s network address). Therefore, the source EID and the destination EID jointly identify a data flow.
When the consumer moves, the destination NA in the data packets sent to the consumer will become invalid. The router can find the valid network address of the mobile entity in the NRS according to the identifier of the mobile entity. To support packet redirection, each router needs to maintain a Mobile Flow Table (MFT), which is composed of a group of Mobile Flow Table Entries (MFTEs). Each MFTE includes the source EID, the destination EID, and the destination NA, which is the latest network address of the destination EID. After receiving the packets, the router can support finding MFTEs according to the source EID and the destination EID or only according to the destination EID carried in the packets. If there is a matching MFTE, the router will replace the network address in the packet with the corresponding NA in the MFTE and then match the FIB for packet forwarding. If the match fails, the router will directly match the FIB for forwarding. Similar to MobilityFirst [34], we identify the function of the router modifying the destination address of the packets according to the identification (source EID and destination EID joint identification or destination EID identification alone) as a late-binding function, and we label the router that performs late-binding processing as a late-binding node (LBN). Access routers can sense the movement of mobile entities in some way. Perception is not the focus of this paper.

3.2. DAFM

Based on the ICN mobility support architecture, we propose a mobility support method for dynamically allocating mobile data flows (DAFM). Figure 1 shows the operation of the method to support mobility and achieve mobile data flow assignment. As shown in Figure 1, the consumer is requesting multiple forms of content published by the same producer, so multiple data flows are generated between the producer and the consumer. We record the data flow generated by the content as Flow1, Flow2… FlowF. The forwarding path of the original data flows is Producer->R1->R2->R3->AP1->Consumer. When a consumer moves from the area of the initial access router (R3) to the area of the new access router (R4), the original AP (AP1) will send a Mobile Event Message to the initial access router (R3), which carries the identifier of the consumer (EID0), the identifier of the content requested by the consumer (EID1, EID2... EIDF), and the rate of the corresponding data flow (Step 1). After the initial access router (R3) receives the Mobile Event Message, it will query the NRS for the consumer’s latest network address (NA2) based on the consumer identifier (EID0) (Step 2). The initial access router (R3) receives the response from the NRS and learns the consumer’s latest network address (NA2) (Step 3). The initial access router (R3) selects itself as the late-binding node to redirect the data flows (Step 4). At the same time, the initial access router (R3) constructs a Mobile Path Notification (MPN) to propagate to the producer’s access router (R1) in the reverse direction of the original data flows (Step 5). In addition to announcing the latest EID-NA mapping relationship (EID0-NA2) of the consumer, the identification of the content (EID1, EID2... EIDF) requested by the consumer, and the corresponding data flow rate, the MPN also needs to contain information regarding the router node (e.g., the use of an MFT in the router) on the MPN propagation path, as well as the switching path information (e.g., the bandwidth of the switching path and the number of switching path hops) formed by each router acting as a late-binding node on the MPN propagation path. The producer’s access router (R1) uses the late-binding node selection algorithm to select the switching path for data flows according to the various information carried by the MPN, thus completing the final selection of the late-binding node (Step 6). The producer’s access router (R1) uses a Mobile Path Update (MPU) message to inform the corresponding router of the selection result for the late-binding node (Step 7). The selected router will update the MFT to redirect data flows according to the final late-binding node selection result (Step 8). In the example in Figure 1, R3 is selected to perform late-binding processing on Flow1. The switching path of Flow1 is Producer->R1->R2->R4->AP2->Consumer. R2 is selected to perform late-binding processing on Flow2. The switching path of Flow2 is Producer->R1->R2->R4->AP2->Consumer. R1 is selected to perform late-binding processing on other data flows. The switching path of other flows is Producer->R1->R4->AP2->Consumer. In this way, multiple data flows transmitted between producers and consumers will be allocated to multiple switching paths for transmission. Therefore, our solution is conducive to achieving network load balancing, improving packet forwarding, and improving mobile user performance.

3.3. Late-Binding Node Selection Problem Statement

Choosing the appropriate switching path for multiple data flows is a major issue in mobility support as it can affect mobile user performance and network resource utilization. Our approach can flexibly control the switching path of data flows by selecting late-binding nodes for different data flows. In this part, we set up a late-binding node selection problem model with the goal of optimizing mobile user performance, established the problem formula, and took reducing the overall packet transmission delay after handover as the optimization goal. Table 1 shows the main symbols used in this article.

3.3.1. Model Description

We built a simple late-binding node selection problem model. As shown in Figure 2, it consists of a producer who has published F content, a mobile consumer, and S routers. Suppose that consumers request F content from the same producer and that F data flows will be generated between producers and consumers. In our solution, as described in Section 3.2, we can select the LBN in the router in the original path between the producer and the consumer by propagating MPNs and MPUs, thus intercepting the packets destined for the consumer, modifying their destination addresses, and forwarding them to the latest location of the consumer. The problem of late-binding node selection can be simplified to assigning a group of LBNs to a group of routers, taking into account the available bandwidth resources of the switching path and the space resources of the router’s MFT. A good late-binding node selection strategy can minimize packet transmission delay between producers and consumers.

3.3.2. Problem Statement

We specify packet transmission delay D i j after switching as follows:
D i j = D s i j + D i d j
where D s i j is the packet transmission delay from the source to the late-binding node using late-binding node i in flow j . D i d j is the packet transmission delay from late-binding node i to the destination. The transmission path is calculated by the routing protocol adopted in the network.
In the late-binding node selection solution proposed in this paper, the design goal of node selection is to minimize the average packet transmission delay D ¯ , which can be expressed using the following equation:
Minimize
D ¯ = i = 1 S j = 1 F D i j Z i j / F
Subject to
Z i j = 0 / 1
i = 1 S Z i j = 1 , j 1 , F
j = 1 F b i j Z i j B i , i 1 , S
N i = N i m a x N i p r e , i 1 , S
j = 1 F n i j Z i j N i , i 1 , S
where Z i j is an integer variable in 0 , 1 , which is used to indicate whether node i is the late-binding node of flow j ( Z i j = 1 ) or not ( Z i j = 0 ). Constraint (4) ensures that each flow is finally processed by a late-binding node. In constraint (5), B i represents bandwidth capacity from late-binding node i to the destination before the selection of the late-binding node; b i j indicates the bandwidth required to transmit flow j from late-binding node i to the destination. The constraint is used to ensure that the bandwidth capacity of the switching path formed by selecting the late-binding node meets the transmission requirements of the mobile data flow. Equation (6) is used to calculate the available space of the MFT in node i , where N i p r e is the number of entries in the MFT of router i before selecting the late-binding node and N i m a x is the maximum number of entries allowed in the MFT for router i . Constraint (7) ensures that the number of MFT entries in the router does not exceed the maximum capacity of the MFT after the late-binding node is selected. We note that if node i is not a candidate late-binding node for flow j , then D i j = . If node i is in the original path from consumer to producer, it can be a candidate late-binding node of flow j .
The factors affecting average packet transmission delay include the number of hops from the source node to the destination node and the propagation delay, processing delay, and queuing delay of the router. The number of hops from the source node to the destination node depends on the routing algorithm. In general, the lower the number of hops, the smaller the delay. The propagation delay is generally fixed. The queuing delay varies according to the traffic on the path and is related to the bandwidth occupied by the mobile flow allocated to the path. Router processing delay is mainly the lookup time of the MFT and routing table. When the size of the MFT and routing table is small, the time cost is very low. Therefore, we can infer that the average packet transmission delay is only related to the number of hops between a producer and a consumer, assuming that the wired link delay is the same.
We prove that the selection problem of late-binding nodes can be modeled as a special Multi-selection Multidimensional Knapsack Problem (MMKP), which is an NP-hard problem. The problem description of an MMKP is as follows: There are m backpacks and g group items, and each group (expressed by i ) has l i items. g group items have n items in total. Let M = 1 , 2 , , m be the knapsack set and G = 1 , 2 , , g be the group set, with l i = 1 , 2 , , l i as the item set of group i , v i j as the profit value of item j in group i , c i j k as the weight of resource k required for item j of group i , and r k as the total weight of resources on backpack k . The goal of the MMKP is to select one item from each group while maximizing the total value of the selected items under the restriction of the total weight of resources in the backpack. The MMKP’s mathematical formula can be expressed as:
m a x   V x = i = 1 g j = 1 l i v i j x i j
Subject to
i = 1 g j = 1 l i c i j k x i j r k , k 1 , m
j = 1 l i x i j = 1 , i 1 , g
x i j = 0 , 1
By mapping the knapsack set to the router set, the project set is regarded as the data flow set, and the resources on the knapsack are regarded as the bandwidth of the switching path; D i j and B i j corresponds to the profit of the item and the weight of the required resources. Thus, the late-binding node selection problem can be mapped to an MMKP without considering the space resource constraints of the Mobility Flow Table (MFT). Similarly, the resources in the knapsack can also be regarded as the space resources of the Mobility Flow Table (MFT) in the router. In this situation, without considering the bandwidth capacity limit of the switching path, the late-binding node selection problem can also be mapped to an MMKP. Therefore, we believe that the late-binding node selection problem is a joint problem of two MMKPs. There is no solution for this special MMKP at present. In Section 4, the author provides a solution.

4. Search Algorithm for Late-Binding Node Selection

After receiving the MPN, the access router of the producer uses a search algorithm to select the late-binding node for multiple data flows according to the various information contained in the MPN and then completes the selection of the switching path. There are two approaches that exist for solving an MMKP: one is a heuristic algorithm, which can find the best possible solution in a short calculation time, and the other is the exact method, which can find the optimal solution. The exact solution has high complexity and a long calculation time and is thus not suitable for the mobility support method. In terms of the heuristic algorithm, Moser et al. [28] proposed a classical heuristic algorithm that uses the concept of Lagrange multipliers to reduce the number of resource constraints, thus reducing complexity. The complexity of the algorithm is O m n g 2 + m n . Ref. [28] shows that the solution obtained by this algorithm is very close to the optimal solution in almost all experiments. The late-binding node selection problem is not a simple MMKP, but rather the joint solution of two MMKPs. Therefore, Moser et al. [28] could not solve the late-binding node selection problem. Based on the Moser algorithm, this paper proposes a heuristic algorithm with double constraints (DCHA), which realizes the joint solution of two MMKPs by simultaneously adjusting the bandwidth resource constraints of the switching path and the space resource constraints of the Mobility Flow Table (MFT).
By introducing Lagrange multipliers, Everett [35] showed that the solution for the optimization problem (3) under constraint (5) and constraint (7) is equivalent to the solution of the following problem:
m i n i = 1 S j = 1 F D i j Z i j k = 1 S μ k i = 1 S j = 1 F b i j Z i j m i n i = 1 S j = 1 F D i j Z i j k = 1 S μ k i = 1 S j = 1 F n i j Z i j
Subject to
i = 1 S j = 1 F b i j Z i j i = 1 S j = 1 F b i j Z i * j i = 1 S j = 1 F n i j Z i j i = 1 S j = 1 F n i j Z i * j
where Z i * j is the optimal solution. Therefore, i = 1 S j = 1 F b i j Z i * j corresponds to the optimal capacity of switching paths and i = 1 S j = 1 F n i j Z i * j corresponds to the optimal capacity of the MFT used by the optimal solution. Therefore, if the Lagrange multipliers μ k are known, the optimization problem is easily solved. By a simple manipulation of the equations, Equation (12) can be written as
m i n i = 1 S j = 1 F D i j k = 1 S μ k i = 1 S j = 1 F b i j Z i j m i n i = 1 S j = 1 F D i j k = 1 S μ k i = 1 S j = 1 F n i j Z i j
This implies that the solutions are
Z i * j = 1 , i f   D i j k = 1 S μ k b i j > 0 ,   D i j k = 1 S μ k n i j > 0 0 , o t h e r w i s e
The difficulty lies in how to calculate the Lagrange multipliers μ k effectively. If the calculation of these multipliers results in item B i j = 1 F b i j Z i * j and N i j = 1 F n i j Z i * j all being non-negative, then the solution is feasible.
The DCHA is given in Algorithm 1 and can be divided into three steps:
In the initialization step, the algorithm starts with the most valuable router of flow j as the selected router ( K ^ j ,), i.e., the router which minimizes the utility of flow j . We then need to calculate the bandwidth resources of the switching path and the space resources of the MFT corresponding to each router acting as a late-binding node. In general, resource constraints will now be violated, and the initial choice of selected routers is adapted to satisfy router resources by repeatedly improving on the most violated capacity constraint I ^ as follows.
In the progress stage, the initially selected flow in the router with the most serious resource violation is adjusted by repeatedly improving the most violated resource constraint such that the adjusted result conforms to the resource constraint of the routers. First, the selected resource violates the most serious router I ^ . Subsequently, for the selected flows in I ^ , we calculate the increment ( Δ k j ) of Lagrange multipliers ( μ I ^ ) generated by these flows ( j ) selecting other routers ( k ). The calculation of Δ k j is determined by both the bandwidth resources of the switching path and the space resources of the MFT. Eventually, option k * of flow j * causing the smallest increase in Lagrange multipliers ( μ I ^ ) is chosen for exchange. The above process is repeated until a router is selected for each flow to meet resource constraints.
After the progress phase, the router may still have some bandwidth resources or space resources. These spare resources can be used to improve the solution by replacing some selected flows with more valuable ones. Therefore, in the adjustment phase, for each flow j we check whether there are other routers k than the selected late-binding node K ^ j that are more valuable and also check whether the resource constraints are met after replacing the late-binding node of flow j with k . Among all exchangeable results ( δ k j ), the option k of flow j causing the largest increase in the router value is exchanged with the selected item of that flow ( K ^ j ). This process is repeated until no more exchanges can be made. It can be seen that the complexity of the algorithm is O F 2 S 1 2 S + F 2 S . The maximum time complexity of the improved algorithm is the same as that of the Moser algorithm. Thus, our improved algorithm can be applied to the mobility support method.
Algorithm 1 Late-binding node selection algorithm for flow allocation
Input:  B i , N i , D i j , b i j , n i j , i = 1 S , j = 1 F
Output: K ^
1:  Initialization:
2:   b i j = b i j / B i , n i j = n i j / N i
3:   μ i 0 , i = 1 S
4:   K ^ j = a r g m i n i   D i j , j = 1 S
5:   B i j | K ^ j = i b i j , N i j | K ^ j = i n i j
6:  II-Progress phase:
7:  while  B i > 1 or N i > 1 for any i  do
8:    I ^ = a r g m a x i B i , N i
9:   for j | K ^ j = I ^  do
10:    for k = 1   t o   S  do
11:      Δ k j = 0.5 · D I ^ j D k j w = 1 S μ k b I ^ j b w j b I ^ j + 0.5 · D I ^ j D k j w = 1 S μ k n I ^ j n w j n I ^ j
12:    end for
13:   end for
14:    k * j * = a r g m i n k j Δ k j
15:    μ I ^ = μ I ^ + Δ k * j *
16:    B k * = B k * + b k * j * , N k * = N k * + n k * j *
17:    B I ^ = B I ^ b I ^ j * , N I ^ = N I ^ n I ^ j *
18:    K ^ j * = k *
19:  end while
20:  III-Adjusting phase:
21:  while j 1 , F , k 1 , S such that δ k j > 0  do
22:   for j = 1   t o   F  do
23:    for k = 1   t o   S  do
24:     if D k j D K ^ j j > 0 and B k + b k j 1 and N k + n k j 1
25:       δ k j = D K ^ j j D k j
26:     else
27:       δ k j = 0
28:     end if
29:    end for
30:   end for
31:    k j = a r g m a x k j δ k j
32:    B k = B k + b k j , N k = N k + n k j
33:    B K ^ j = B K ^ j b K ^ j j , N K ^ j = N K ^ j n K ^ j j
34:    K ^ j = k
35:  end while

5. Evaluation

In this section, we conduct a series of experiments to evaluate the impact of our proposed mobility support method on the performance of mobile users. We use three performance metrics to quantify mobile user performance: average packet delay, packet loss rate, and handover delay. Therefore, in order to verify the performance of our proposal, we developed a late-binding node selection algorithm based on the proposed mobility support system on Mininet [29]. We also implemented the principle concerning MAP-ME [20] and the OPT [21] using special packets to update a router’s forwarding table to support mobility.

5.1. Evaluation Metrics

Average packet delay: the average difference between the time when the consumer receives the packet at the new location and the time when the content producer sends the packet.
Packet loss rate: the ratio of the total number of packets received by the consumer at the new and old locations to the total number of packets sent by the content producer.
Handover delay: Ref. [36] defines handover delay as the time between the mobile entity leaving the previous subnet and receiving the first packet in the new subnet. We define handover delay as the difference between the time when the consumer receives the first packet at the new location and the time when the consumer receives the last packet at the old location.

5.2. Simulation Setup

The experimental platform was built on an Ubuntu 20.04 system. The experimental platform included Mininet 2.3.0, OpenvSwitch (OvS) 2.13.3, and Ryu [37] 4.34 controllers. This section describes how Mininet 2.3.0 was used to create a network topology. This paper simulates a multi-path network topology. The network topology and link bandwidth settings are shown in Figure 3. We used OvS 2.13.3 to simulate routers and realize data forwarding. Ryu 4.34 is a controller that can connect to OvS through the OpenFlow 1.3 protocol. In order to simulate mobility in Mininet, we modified its code to allow mobile nodes to switch from one router to another. In order to implement the proposed mobility support method, the mobile node needs to send a Mobile Event Message to the previous router before the mobile node disconnects from it. In order to simulate the connection of the mobile node to the new access router, a new link is created between the mobile node and the new access router. After reconnection, the new access router assigns a new network address to the mobile node. In our proposal, the latest binding relationship (EID–NA) of the mobile node is updated to the NRS. In addition, Mininet does not support layer 3 routing. In order to realize routing in a multi-path network topology, we ran a routing protocol on the controller. The routing algorithm adopted by the routing protocol was the Dijkstra algorithm, with bandwidth as the weight.
We consider that the rate of the producer sending data flows is R , the average packet size is P , and the number of data flows is N . The maximum queue length of the router is Q , and the maximum number of entries in the router’s MFT is N m a x , with the initial space occupancy rate of the router’s MFT represented by w . The time from the consumer leaving the previous access router (P_AR) to attaching to the new access router (N_AR) is T P N , the latency of the Name Resolution Systems (NRSs) responding to the access router’s query is T R A , and wired link delay is T l . The delay of all wired links in the simulation network topology is the same. Table 2 shows the basic parameters and their values in our simulation. During the simulation, the producer continued to send data flows to consumers. The rate and number of data flows can be adjusted according to different simulations. One second after the simulation starts, consumer movement is simulated. The total simulation time is 3 s. For each round of simulation, we calculate the average value of the measured performance metrics.
In order to evaluate the performance of the mobility support method in terms of average packet delay and packet loss rate, we simulated two scenarios.
Scenario 1 is a scenario where a consumer requests a single form of content published by a producer. We fixed the number of data flows sent by the producer to 1, set the initial space occupancy rate of the MFTs of routers R1, R2, and R3 to 0.5, set the latency of the NRS responding to R3′s query to 1 ms, and adjusted the speed of data flows from 1 Mbit/s to 10 Mbit/s. Scenario 2 is a scenario where a consumer requests multiple forms of content published by a producer. We set the rate of each data flow sent by the producer to 1 Mbit/s, set the initial space occupancy rate of the MFTs of routers R1, R2, and R3 to 0.5, set the latency of the NRS responding to R3′s query to 1 ms, and adjusted the number of data flows from 1 to 10. Other parameters settings are shown in Table 2. In order to evaluate the performance of the mobility approach in terms of handover delay, we set the delay parameters of the NRS responding to R3′s query as 1 ms, 5 ms, and 10 ms on the basis of simulation for Scenario 1.

5.3. Results and Discussions

In this section, we present the most important results pertaining to our evaluation of the DAFM through simulations.

5.3.1. Average Packet Delay

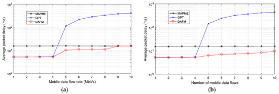
Figure 4a shows a comparison between the average packet delay and mobile data flow rate of different mobility support methods in Scenario 1. We find that at the same mobile data flow rate, our proposal performs better in terms of average packet delay than MAP-ME and the OPT. When the mobile data flow rate is lower than 4 Mbit/s, the average packet delay for the OPT and DAFM is the same and lower than the average packet delay of MAP-ME, which can be attributed to both the OPT and DAFM taking the shortest path as the switching path. The OPT broadcasts special data packets through the new location access router (R4) to make the switching path converge to the shortest path (Producer->R1->R4->Consumer) calculated by the routing plane. The DAFM selects R1 as the late-binding node through the late-binding selection algorithm to form the shortest switching path. MAP-ME converges the switching path to Producer->R1->R2->R3->R4->Consumer by sending an Interest Update (IU) message to the old location before moving. However, when the mobile data flow rate is higher than 4 Mbit/s, the bandwidth of the shortest switching path used by the OPT cannot meet the requirements for data transmission, resulting in a large delay. When the mobile data flow rate is higher than 4 Mbit/s and not more than 8 Mbit/s, the average packet delay of the DAFM is lower than that of MAP-ME because the DAFM selects R2 as the late-binding node, and the delay in forming the switching path (Producer->R1->R2->R4->Consumer) is lower than that of MAP-ME. When the mobile data flow rate is higher than 8 Mbit/s, the average packet delay of the DAFM is the same as that of MAP-ME because the DAFM selects R3 as the late-binding node, thus forming the same switching path as MAP-ME.
Figure 4b shows a comparison between the average packet delay and the number of mobile data flows for different mobility support methods in Scenario 2. We can observe that with the same number of mobile data flows, our proposal performs better in terms of average packet delay than MAP-ME and the OPT. Both the OPT and MAP-ME adopt fixed switching paths to transmit data. When the number of mobile data flows exceeds four, the bandwidth of the switching path used by the OPT cannot meet the requirements of data transmission, resulting in a significant increase in average packet delay. The bandwidth of the switching path adopted by MAP-ME can meet the requirements for transmission of data flows, so the average packet delay does not change with an increase in the number of mobile data flows. The DAFM allocates multiple data flows to different routers so that the data flows can be transmitted on different switching paths. Therefore, we observe that the average packet delay of the DAFM is lower than the average packet delay of MAP-ME.
Generally, the DAFM dynamically selects the switching path for mobile data flows. Compared with the fixed-path mobility support methods, our proposal can reduce the average packet delay to a certain extent.

5.3.2. Packet Loss Rate

Figure 5a shows a comparison of the packet loss rates and mobile data flow rates of different mobility support methods in Scenario 1. We find that our proposal performs better in terms of packet loss rate than MAP-ME and the OPT with the same mobile data flow rate. We found that the average packet loss rate was not much different when the mobile data flow rate was lower than 4 Mbit/s, which is attributed to the bandwidth of the switching paths formed by the three mobility support methods meeting the requirements for data transmission. Packet loss is mainly caused by the inability of the consumer to receive packets during the handover process. The reason why the packet loss rate of the DAFM is lower than that of other approaches is that the DAFM can quickly obtain the latest network address of the consumer through the NRS, thus quickly redirecting data flows to the consumer’s new location. This process can be completed in a certain time, subsequently reducing the packet loss rate. The OPT and MAP-ME need to transmit special data packets to realize data redirection. The time required to complete this process is related to the real network topology and link delay. When the mobile data flow rate is higher than 4 Mbit/s, we find that the packet loss rate of the OPT increases significantly because the bandwidth of its switching path cannot meet the data transmission requirements, resulting in link congestion and packet loss. Similarly, if the switching path formed by MAP-ME cannot meet the requirements of data transmission, MAP-ME will also cause a large number of packets to be lost. Figure 5b shows a comparison between the packet loss rate and the number of mobile data flows for different mobility support methods in Scenario 2. We can observe that the DAFM performs better in terms of packet loss rate than MAP-ME and the OPT with the same number of mobile data flows. The DAFM can allocate multiple data flows to different switching paths, which can effectively prevent the occurrence of a situation in which a single switching path cannot meet the transmission requirements of all data flows, which commonly results in the loss of a large number of data packets.

5.3.3. Handover Delay

We measured the handover delay experienced by the consumer under different mobility support methods, and the results are shown in Figure 6. We note that the handover delay of the DAFM is related to the value of T R A . The larger the value set by T R A , the larger the handover delay of the DAFM. In other words, the handover delay of the DAFM is related to the delay incurred when the access router obtains the new address for the mobile device from the NRS. When T R A is set to 1 ms and 5 ms, the handover delay of the DAFM is lower than that of other methods. When T R A is set to 10 ms, the handover delay of the DAFM is higher than that of other approaches. The OPT and MAP-ME have a similar handover delay in this experiment because they both achieved data redirection by propagating special packets over the same distance. Therefore, in order to guarantee the handover delay, it is necessary to deploy the NRS as close as possible to the access router so that the access router can obtain the latest network address of the mobile device as soon as possible after sensing the mobile device’s movement.

6. Conclusions

This article discusses how to support mobility in ICN. First of all, we proposed a mobility support method for dynamically allocating mobile data flows (DAFM) based on the ICN mobility support architecture, thus realizing mobile route optimization. Based on this method, we modeled the mobile data flow allocation problem as a late-binding node selection problem. We proposed a double-constraints heuristic algorithm (DCHA) based on the Moser algorithm. The DCHA minimizes the average packet delay by simultaneously adjusting the bandwidth resource constraints of the switching path and the space resource constraints of the Mobility Flow Table (MFT). Finally, we implemented our proposal in Mininet and compared it with classic anchorless proposals such as MAP-ME and the OPT. Simulation results show that our proposal outperforms other methods in terms of average packet delay, packet loss rate, and handover delay under the guarantee of a low-latency Name Resolution System (NRS).
In future work, we can combine caching with mobility support solutions, cache packets in access routers, further reduce packet loss, and improve mobile user performance. In addition, we will study ways of obtaining switching path information to further improve the practicability of our proposal, such as sending detection messages. We should also further consider how to select the late-binding node. We can select the late-binding node based on the router’s situation. For example, the core router should not be selected as the late-binding node because of the large data flow through it, and frequent entry updates will affect its forwarding performance.

Author Contributions

Conceptualization, M.X. and R.H.; investigation, M.X.; methodology, M.X.; software, M.X.; validation, M.X.; writing—original draft preparation, M.X.; writing—review and editing, R.H. and H.D.; supervision, R.H. and H.D. All authors have read and agreed to the published version of the manuscript.

Funding

This work was funded by the Strategic Leadership Project of the Chinese Academy of Sciences: SEANet Technology Standardization Research System Development (Project No. XDC02070100).

Data Availability Statement

All of the necessary data are included in the article.

Acknowledgments

We would like to express our gratitude to Haojiang Deng and Rui Han for their meaningful support for this work.

Conflicts of Interest

The authors declare no conflict of interest.

References

  1. Perkins, C. IP Mobility Support for IPv4. RFC3344. Available online: https://www.ietf.org/rfc/rfc3344 (accessed on 1 February 2022).
  2. Johnson, D.; Perkins, C.; Arkko, J. Mobility Support in IPv6. RFC 3775. Available online: https://www.rfc-editor.org/rfc/rfc3775 (accessed on 1 February 2023).
  3. Perkins, C.; Johnson, D.; Arkko, J. Mobility Support in IPv6. RFC 6275. Available online: https://www.rfc-editor.org/rfc/rfc6275 (accessed on 1 February 2023).
  4. Soliman, H.; Castelluccia, C.; ElMalki, K.; Bellier, L. Hierarchical Mobile IPv6 (HMIPv6) Mobility Management. RFC 5380. Available online: https://www.rfc-editor.org/rfc/rfc5380 (accessed on 5 February 2023).
  5. Lee, J.; Bonnin, J.; Lagrange, X. Host-based distributed mobility management support protocol for IPv6 mobile networks. In Proceedings of the 2012 IEEE 8th International Conference on Wireless and Mobile Computing, Networking and Communications (WiMob), Barcelona, Spain, 8–10 October 2012. [Google Scholar]
  6. Gundavelli, S.; Leung, K.; Devarapalli, V.; Chowdhury, K.; Patil, B. Proxy Mobile IPv6. RFC 5213. Available online: https://www.rfc-editor.org/rfc/rfc5213 (accessed on 7 February 2023).
  7. Yi, L.; Zhou, H.; Zhang, H. An Efficient Distributed Mobility Management Scheme Based on PMIPv6. In Proceedings of the 2012 Sixth International Conference on Innovative Mobile and Internet Services in Ubiquitous Computing, Palermo, Italy, 4–6 July 2012. [Google Scholar]
  8. Moskowitz, R.; Nikander, P.; Jokela, P.; Henderson, T. Host Identity Protocol. RFC 5201. Available online: https://www.ietf.org/rfc/rfc5201.txt (accessed on 7 February 2023).
  9. Atkinson, R. Identifier-Locator Network Protocol (ILNP) Architectural Description. RFC 6740. Available online: https://www.ietf.org/rfc/rfc6740.txt (accessed on 7 February 2023).
  10. Ahlgren, B.; Dannewitz, C.; Imbrenda, C.; Kutscher, D.; Ohlman, B. A survey of information-centric networking. IEEE Commun. Mag. 2012, 50, 26–36. [Google Scholar] [CrossRef]
  11. Xylomenos, G.; Ververidis, C.N.; Siris, V.A.; Fotiou, N.; Tsilopoulos, C.; Vasilakos, X.; Katsaros, K.V.; Polyzos, G.C. A Survey of information-centric networking research. IEEE Commun. Surv. Tutor. 2014, 16, 1024–1049. [Google Scholar] [CrossRef]
  12. Jiang, X.; Bi, J.; Nan, G.; Li, Z. A survey on Information-centric Networking: Rationales, designs and debates. China Commun. 2015, 12, 1–12. [Google Scholar] [CrossRef]
  13. Liao, Y.; Sheng, Y.; Wang, J. Summary of Research on ICN Name Resolution Technology. New Netw. Media Technol. 2020, 9, 1–9. [Google Scholar]
  14. Hermans, F.; Ngai, E.; Gunningberg, P. Mobile Sources in an Information-Centric Network with Hierarchical Names: An Indirection Approach. In Proceedings of the 7th SNCNW, Linköping, Sweden, 13–14 June 2011. [Google Scholar]
  15. Zhang, Y.; Zhang, H.; Zhang, L. Kite: A Mobility Support Scheme for NDN. In Proceedings of the ACM Conference on Information-Centric Networking, Paris, France, 24–26 September 2014. [Google Scholar]
  16. Kim, D.; Ko, Y. On-demand anchor-based mobility support method for named data networking. In Proceedings of the 2017 19th International Conference on Advanced Communication Technology (ICACT), PyeongChang, Republic of Korea, 19–22 February 2017. [Google Scholar]
  17. Hussaini, M.; Awang Nor, S.; Ahmad, A. Optimal Broadcast Strategy-Based Producer Mobility Support Scheme for Named Data Networking. Int. J. Interact. Mob. Technol. 2019, 13, 4–19. [Google Scholar] [CrossRef]
  18. Yan, Z.; Park, Y.J.; Leau, Y.B.; Ren-Ting, L.; Hassan, R. Hybrid Network Mobility Support in Named Data Networking. In Proceedings of the 2020 International Conference on Information Networking (ICOIN), Barcelona, Spain, 7–10 January 2020; pp. 16–19. [Google Scholar]
  19. Augé, J.; Carofiglio, G.; Grassi, G.; Muscariello, L.; Pau, G.; Zeng, X. Anchor-Less Producer Mobility in ICN. In Proceedings of the Proceedings of the 2nd ACM Conference on Information-Centric Networking, San Francisco, CA, USA, 30 September–2 October 2015; pp. 189–190. [Google Scholar]
  20. Augé, J.; Carofiglio, G.; Grassi, G.; Muscariello, L.; Pau, G.; Zeng, X. MAP-Me: Managing Anchor-Less Producer Mobility in Content-Centric Networks. IEEE Trans. Netw. Serv. Manag. 2018, 15, 596–610. [Google Scholar] [CrossRef]
  21. Hussaini, M.; Naeem, M.A.; Kim, B.S.; Maijama’a, I.S. Efficient Producer Mobility Management Model in Information-Centric Networking. IEEE Access 2019, 7, 42032–42051. [Google Scholar] [CrossRef]
  22. Hussaini, M.; Naeem, M.A.; Kim, B.-S. OPMSS: Optimal Producer Mobility Support Solution for Named Data Networking. Appl. Sci. 2021, 11, 4064. [Google Scholar] [CrossRef]
  23. Ali, I.; Lim, H. Anchor-Less Producer Mobility Management in Named Data Networking for Real-Time Multimedia. Mob. Inf. Syst. 2019, 2019, 3531567. [Google Scholar] [CrossRef]
  24. Liang, T.; Xia, Z.; Tang, G.; Zhang, Y.; Zhang, B. NDN in large LEO satellite constellations: A case of consumer mobility support. In Proceedings of the 8th ACM Conference on Information-Centric Networking, Paris, France, 22–24 September 2021; pp. 1–12. [Google Scholar]
  25. Kar, P.; Chen, R.; Qian, Y. An efficient producer mobility management technique for real-time communication in NDN-based Remote Health Monitoring systems. Smart Health 2022, 26, 100309. [Google Scholar] [CrossRef]
  26. Seskar, I.; Nagaraja, K.; Nelson, S.; Raychaudhuri, D. MobilityFirst future internet architecture project. In Proceedings of the Proceedings of the 7th Asian Internet Engineering Conference, Bangkok, Thailand, 9–11 November 2011; pp. 1–3. [Google Scholar]
  27. Kang, L.; Chen, X.; Chen, J. Design and Implementation of Enhanced Programmable Data Plane Supporting ICN Mobility. Electronics 2022, 11, 2524. [Google Scholar] [CrossRef]
  28. Moser, M.; Jokanovic, D.P.; Shiratori, N. An Algorithm for the Multidimensional Multiple-Choice Knapsack Problem. IEICE TRANSACTIONS on Fundamentals of Electronics. Commun. Comput. 1997, 80, 582–589. [Google Scholar]
  29. Mininet. Available online: http://mininet.org/ (accessed on 1 February 2023).
  30. Fotiou, N.; Nikander, P.; Trossen, D.; Polyzos, G.C. Developing Information Networking Further: From PSIRP to PURSUIT. In Proceedings of the International Conference on Broadband Communications, Networks and Systems, Athens, Greece, 25–27 October 2010; pp. 11–13. [Google Scholar]
  31. Raychaudhuri, D.; Nagaraja, K.; Venkataramani, A. MobilityFirst: A robust and trustworthy mobility-centric architecture for the future internet. ACM Sigmobile Mob. Comput. Commun. Rev. 2012, 16, 2–13. [Google Scholar] [CrossRef]
  32. Zhang, L.; Afanasyev, A.; Burke, J.; Jacobson, V.; Claffy, K.C.; Crowley, P.; Papadopoulos, C.; Wang, L.; Zhang, B. Named data networking. ACM Sigcomm. Comput. Commun. Rev. 2014, 44, 66–73. [Google Scholar] [CrossRef]
  33. Wang, J.; Chen, G.; You, J.; Sun, P. SEANet: Architecture and Technologies of an On-site, Elastic, Autonomous Network. J. Netw. New Media 2020, 9, 1–8. [Google Scholar]
  34. Venkataramani, A.; Kurose, J.; Banerjee, S.; Raychaudhuri, D.; Nagaraja, K.; Mao, Z. Mobilityfirst: A Mobility-Centric and Trustworthy Internet Architecture. ACM Sigcomm. Comput. Commun. Rev. 2014, 44, 74–80. [Google Scholar] [CrossRef]
  35. Everett, H. Generalized Lagrange Multiplier Method for Solving Problems of Optimum Allocation of Resources. Oper. Res. 1963, 11, 399–417. [Google Scholar] [CrossRef]
  36. Yousaf, F.; Wietfeld, C. Optimizing the Performance of FMIPv6 by Proactive Proxy Bindings. In Proceedings of the 2009 IEEE 70th Vehicular Technology Conference Fall, Anchorage, AK, USA, 20–23 September 2009. [Google Scholar]
  37. Ryu Controller. Available online: https://ryu.readthedocs.io/en/latest/index.html (accessed on 1 February 2023).
Figure 1. Architecture and handoff for dynamic allocation of mobile data flows.
Figure 1. Architecture and handoff for dynamic allocation of mobile data flows.
Electronics 12 01701 g001
Figure 2. Late-binding node selection problem model.
Figure 2. Late-binding node selection problem model.
Electronics 12 01701 g002
Figure 3. Simulation topology.
Figure 3. Simulation topology.
Electronics 12 01701 g003
Figure 4. Comparison of average packet delays in different scenarios. (a) Average packet delay vs. mobile data flow rate; (b) average packet delay vs. number of mobile data flows.
Figure 4. Comparison of average packet delays in different scenarios. (a) Average packet delay vs. mobile data flow rate; (b) average packet delay vs. number of mobile data flows.
Electronics 12 01701 g004
Figure 5. Comparison of packet loss rates in different scenarios. (a) Packet loss rate vs. mobile data flow rate; (b) packet loss rate vs. number of mobile data flows.
Figure 5. Comparison of packet loss rates in different scenarios. (a) Packet loss rate vs. mobile data flow rate; (b) packet loss rate vs. number of mobile data flows.
Electronics 12 01701 g005
Figure 6. Comparison of handover delays between different mobility support methods.
Figure 6. Comparison of handover delays between different mobility support methods.
Electronics 12 01701 g006
Table 1. Summary of notations.
Table 1. Summary of notations.
NotationDescription
Z i j Boolean variable; Z i j = 1 if router i a is late-binding node for flow j , Z i j = 0 otherwise
D i j Transmission delay of a packet from flow j when router i is the late-binding node
D s i j Packet transmission delay from the source to the late-binding node in flow j using late-binding node i
D i d j Packet transmission delay from late-binding node i to the destination
B i Available path bandwidth from late-binding node i to the destination
b i j Path bandwidth required for transport flow j from late-binding node i to the destination
N i m a x Maximum number of entries in the MFT allowed for router i
n i j Number of MFT entries in late-binding node i occupied by flow j , default is 1
N i p r e Number of entries in the MFT of router i before selecting the late-binding node
N i n e w Number of entries in the MFT of router i after selecting the late-binding node
N i Number of available entries in the MFT of router i
S Number of nodes available in the network
F Number of flows generated between the producer and consumer
Table 2. Experiment parameters and values.
Table 2. Experiment parameters and values.
ParameterValue
Data flow rate ( R )[1,10] Mbit/s
Average packet size ( P )1000 bytes
Number of data flows ( N )[1,10]
The maximum queue length ( Q )100 packets
The maximum number of entries in the router’s MFT ( N m a x )10
The initial space occupancy rate of the router’s MFT ( w )[0,1]
Time interval for consumer disconnection and reconnection from P-AR to N-AR ( T P N )100 ms
Response latency between NRSs and ARs ( T P N )[1,5,10] ms
Wired link delay ( T l )5 ms
Disclaimer/Publisher’s Note: The statements, opinions and data contained in all publications are solely those of the individual author(s) and contributor(s) and not of MDPI and/or the editor(s). MDPI and/or the editor(s) disclaim responsibility for any injury to people or property resulting from any ideas, methods, instructions or products referred to in the content.

Share and Cite

MDPI and ACS Style

Xing, M.; Deng, H.; Han, R. ICN-Oriented Mobility Support Method for Dynamic Allocation of Mobile Data Flows. Electronics 2023, 12, 1701. https://doi.org/10.3390/electronics12071701

AMA Style

Xing M, Deng H, Han R. ICN-Oriented Mobility Support Method for Dynamic Allocation of Mobile Data Flows. Electronics. 2023; 12(7):1701. https://doi.org/10.3390/electronics12071701

Chicago/Turabian Style

Xing, Mengchi, Haojiang Deng, and Rui Han. 2023. "ICN-Oriented Mobility Support Method for Dynamic Allocation of Mobile Data Flows" Electronics 12, no. 7: 1701. https://doi.org/10.3390/electronics12071701

APA Style

Xing, M., Deng, H., & Han, R. (2023). ICN-Oriented Mobility Support Method for Dynamic Allocation of Mobile Data Flows. Electronics, 12(7), 1701. https://doi.org/10.3390/electronics12071701

Note that from the first issue of 2016, this journal uses article numbers instead of page numbers. See further details here.

Article Metrics

Back to TopTop