An Integrated Motion Planning Scheme for Safe Autonomous Vehicles in Highly Dynamic Environments
Abstract
1. Introduction
2. Proposed Approach
2.1. Local Planning
2.1.1. Candidate Trajectory Generation
2.1.2. Desired Trajectory Selection
2.2. Path-Tracking Approach
3. Simulation Validation
3.1. Environment Setup
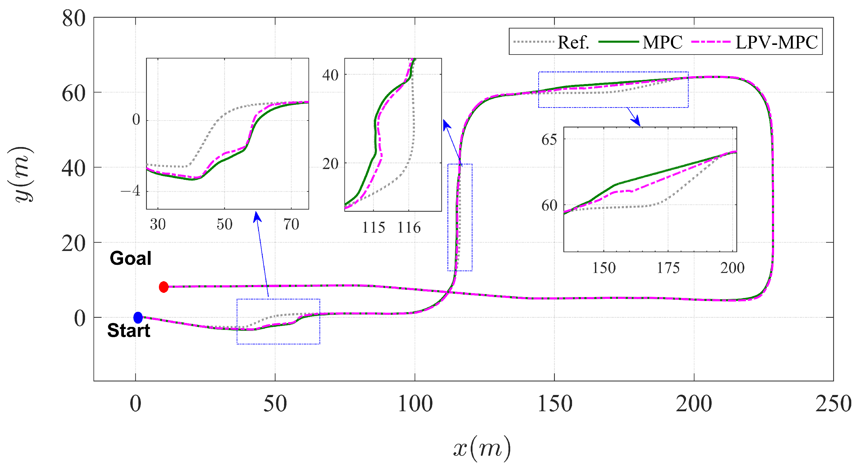
3.2. Results
4. Conclusions
Author Contributions
Funding
Data Availability Statement
Conflicts of Interest
Abbreviations
| AV | Autonomous vehicle |
| MPC | Model predictive control |
| LPV-MPC | Linear parameter-varying model predictive control |
| CTE | Cross-tracking error |
Appendix A. Candidate Trajectory Generation and Smoothness Optimization
| Algorithm A1: Candidate Trajectory Generation |
![]() |
| Algorithm A2: Smoothness Optimization of Candidate Path |
![]() |
Appendix B. Mathematical Model
References
- Bin-Nun, A.Y.; Derler, P.; Mehdipour, N.; Tebbens, R.D. How should autonomous vehicles drive? Policy, methodological, and social considerations for designing a drive. Humanit. Soc. Sci. Commun. 2022, 9, 299. [Google Scholar] [CrossRef]
- Parekh, D.; Poddar, N.; Rajpurkar, A.; Chahal, M.; Kumar, N.; Joshi, G.P.; Cho, W. A Review on Autonomous Vehicles: Progress, Methods and Challenges. Electronics 2022, 11, 2162. [Google Scholar] [CrossRef]
- Huang, Y.; Wang, H.; Khajepour, A.; Ding, H.; Yuan, K.; Qin, Y. A Novel Local Motion Planning Framework for Autonomous Vehicles Based on Resistance Network and Model Predictive Control. IEEE Trans. Veh. Technol. 2020, 69, 55–66. [Google Scholar] [CrossRef]
- Wang, H.; Huang, Y.; Khajepour, A.; Zhang, Y.; Rasekhipour, Y.; Cao, D. Crash Mitigation in Motion Planning for Autonomous Vehicles. IEEE Trans. Intell. Transp. Syst. 2019, 20, 3313–3323. [Google Scholar] [CrossRef]
- Daoud, M.A.; Mehrez, M.W.; Rayside, D.; Melek, W.W. Simultaneous Feasible Local Planning and Path-Following Control for Autonomous Driving. IEEE Trans. Intell. Transp. Syst. 2022, 23, 16358–16370. [Google Scholar] [CrossRef]
- Wang, Q.; Li, J.; Yang, L.; Yang, Z.; Li, P.; Xia, G. Distributed Multi-Mobile Robot Path Planning and Obstacle Avoidance Based on ACO–DWA in Unknown Complex Terrain. Electronics 2022, 11, 2144. [Google Scholar] [CrossRef]
- Liang, Y.; Li, Y.; Khajepour, A.; Huang, Y.; Qin, Y.; Zheng, L. A Novel Combined Decision and Control Scheme for Autonomous Vehicle in Structured Road Based on Adaptive Model Predictive Control. IEEE Trans. Intell. Transp. Syst. 2022, 23, 16083–16097. [Google Scholar] [CrossRef]
- Chen, C.; Rickert, M.; Knoll, A. Kinodynamic motion planning with Space-Time Exploration Guided Heuristic Search for car-like robots in dynamic environments. In Proceedings of the 2015 IEEE/RSJ International Conference on Intelligent Robots and Systems (IROS), Hamburg, Germany, 28 September–2 October 2015; pp. 2666–2671. [Google Scholar]
- Ajanovic, Z.; Lacevic, B.; Shyrokau, B.; Stolz, M.; Horn, M. Search-Based Optimal Motion Planning for Automated Driving. In Proceedings of the 2018 IEEE/RSJ International Conference on Intelligent Robots and Systems (IROS), Madrid, Spain, 1–5 October 2018; pp. 4523–4530. [Google Scholar]
- Jeon, J.h.; Karaman, S.; Frazzoli, E. Anytime computation of time-optimal off-road vehicle maneuvers using the RRT*. In Proceedings of the 2011 50th IEEE Conference on Decision and Control and European Control Conference, Orlando, FL, USA, 12–15 December 2011; pp. 3276–3282. [Google Scholar]
- Montes, N.; Mora, M.C.; Tornero, J. Trajectory Generation based on Rational Bezier Curves as Clothoids. In Proceedings of the 2007 IEEE Intelligent Vehicles Symposium, Istanbul, Turkey, 13–15 June 2007; pp. 505–510. [Google Scholar]
- Berglund, T.; Brodnik, A.; Jonsson, H.; Staffanson, M.; Soderkvist, I. Planning Smooth and Obstacle-Avoiding B-Spline Paths for Autonomous Mining Vehicles. IEEE Trans. Autom. Sci. Eng. 2010, 7, 167–172. [Google Scholar] [CrossRef]
- Glaser, S.; Vanholme, B.; Mammar, S.; Gruyer, D.; Nouvelière, L. Maneuver-Based Trajectory Planning for Highly Autonomous Vehicles on Real Road With Traffic and Driver Interaction. IEEE Trans. Intell. Transp. Syst. 2010, 11, 589–606. [Google Scholar] [CrossRef]
- Moreau, J.; Melchior, P.; Victor, S.; Aioun, F.; Guillemard, F. Path planning with fractional potential fields for autonomous vehicles. IFAC-PapersOnLine 2017, 50, 14533–14538. [Google Scholar] [CrossRef]
- Lim, W.; Lee, S.; Sunwoo, M.; Jo, K. Hierarchical Trajectory Planning of an Autonomous Car Based on the Integration of a Sampling and an Optimization Method. IEEE Trans. Intell. Transp. Syst. 2018, 19, 613–626. [Google Scholar] [CrossRef]
- Jeong, D.; Ko, G.; Choi, S.B. Estimation of sideslip angle and cornering stiffness of an articulated vehicle using a constrained lateral dynamics model. Mechatronics 2022, 85, 102810. [Google Scholar] [CrossRef]
- Barbosa, F.M.; Marcos, L.B.; da Silva, M.M.; Terra, M.H.; Junior, V.G. Robust path-following control for articulated heavy-duty vehicles. Control Eng. Pract. 2019, 85, 246–256. [Google Scholar] [CrossRef]
- Zhao, W.; Ma, X.; Nie, Z. DDPG-based controller of enhanced adaptive cruise control with lane-change assistance for an articulated vehicle. Proc. Inst. Mech. Eng. Part J. Automob. Eng. 2022. [Google Scholar] [CrossRef]
- Polack, P. Consistency and Stability of Hierarchical Planning and Control Systems for Autonomous Driving. Ph.D. Dissertation, PSL Research University, Paris, France, October 2018. [Google Scholar]
- Koenig, S.; Likhachev, M. D*lite. In Proceedings of the Eighteenth National Conference on Artificial Intelligence, Edmonton, AB, Canada, 28 July–1 August 2002; American Association for Artificial Intelligence: Washington, DC, USA, 2002; pp. 476–483. [Google Scholar]
- Simmons, R. The curvature-velocity method for local obstacle avoidance. In Proceedings of the IEEE International Conference on Robotics and Automation, Minneapolis, MN, USA, 22–28 April 1996; Volume 4, pp. 3375–3382. [Google Scholar]
- Li, X.; Sun, Z.; Kurt, A.; Zhu, Q. A sampling-based local trajectory planner for autonomous driving along a reference path. In Proceedings of the 2014 IEEE Intelligent Vehicles Symposium Proceedings, Dearborn, MI, USA, 8–11 June 2014; pp. 376–381. [Google Scholar]
- Thrun, S.; Montemerlo, M.; Dahlkamp, H.; Stavens, D.; Aron, A.; Diebel, J.; Fong, P.; Gale, J.; Halpenny, M.; Hoffmann, G.; et al. Stanley: The robot that won the DARPA Grand Challenge. J. Field Robot. 2006, 23, 661–692. [Google Scholar] [CrossRef]
- Xu, T.; Wang, D.; Zhang, W. A non-overshooting controller for vehicle path following. Trans. Inst. Meas. Control. 2021, 43, 2282–2291. [Google Scholar] [CrossRef]
- Morales, Y.; Watanabe, A.; Ferreri, F.; Even, J.; Ikeda, T.; Shinozawa, K.; Miyashita, T.; Hagita, N. Including human factors for planning comfortable paths. In Proceedings of the 2015 IEEE International Conference on Robotics and Automation (ICRA), Seattle, WA, USA, 26–30 May 2015; pp. 6153–6159. [Google Scholar]
- Shojaei, S.; Hanzaki, A.R.; Azadi, S.; Saeedi, M.A. A novel decision-making unit for automated maneuver of articulated vehicles in real traffic situations. Proc. Inst. Mech. Eng. Part J. Automob. Eng. 2020, 234, 152–171. [Google Scholar] [CrossRef]
- Fehér, Á.; Aradi, S.; Bécsi, T. Online Trajectory Planning with Reinforcement Learning for Pedestrian Avoidance. Electronics 2022, 11, 2346. [Google Scholar] [CrossRef]
- Wiberg, V.; Wallin, E.; Nordfjell, T.; Servin, M. Control of Rough Terrain Vehicles Using Deep Reinforcement Learning. IEEE Robot. Autom. Lett. 2022, 7, 390–397. [Google Scholar] [CrossRef]
- Song, R.; Ye, Z.; Wang, L.; He, T.; Zhang, L. Autonomous Wheel Loader Trajectory Tracking Control Using LPV-MPC. In Proceedings of the 2022 American Control Conference (ACC), Atlanta, GA, USA, 8–10 June 2022; pp. 2063–2069. [Google Scholar]
- Fu, T.; Zhou, H.; Liu, Z. NMPC-Based Path Tracking Control Strategy for Autonomous Vehicles with Stable Limit Handling. IEEE Trans. Veh. Technol. 2022, 71, 12499–12510. [Google Scholar] [CrossRef]
- Zhai, L.; Wang, C.; Hou, Y.; Liu, C. MPC-Based Integrated Control of Trajectory Tracking and Handling Stability for Intelligent Driving Vehicle Driven by Four Hub Motor. IEEE Trans. Veh. Technol. 2022, 71, 2668–2680. [Google Scholar] [CrossRef]
- Vo, C.P.; Lee, J.; Jeon, J.H. Robust Adaptive Path Tracking Control Scheme for Safe Autonomous Driving via Predicted Interval Algorithm. IEEE Access 2022, 10, 124333–124344. [Google Scholar] [CrossRef]
- Tian, Y.; Yao, Q.; Hang, P.; Wang, S. A Gain-Scheduled Robust Controller for Autonomous Vehicles Path Tracking Based on LPV System With MPC and H∞. IEEE Trans. Veh. Technol. 2022, 71, 9350–9362. [Google Scholar] [CrossRef]
- Peng, H.; Wang, W.; An, Q.; Xiang, C.; Li, L. Path Tracking and Direct Yaw Moment Coordinated Control Based on Robust MPC With the Finite Time Horizon for Autonomous Independent-Drive Vehicles. IEEE Trans. Veh. Technol. 2020, 69, 6053–6066. [Google Scholar] [CrossRef]
- MORAI. Available online: https://www.morai.ai/product (accessed on 1 February 2022).
- Chu, D.; Li, H.; Zhao, C.; Zhou, T. Trajectory Tracking of Autonomous Vehicle Based on Model Predictive Control With PID Feedback. IEEE Trans. Intell. Transp. Syst. 2023, 24, 2239–2250. [Google Scholar] [CrossRef]
- Rotondo, D.; Puig, V.; Nejjari, F.; Witczak, M. Automated generation and comparison of Takagi–Sugeno and polytopic quasi-LPV models. Fuzzy Sets Syst. 2015, 277, 44–64. [Google Scholar] [CrossRef]








Disclaimer/Publisher’s Note: The statements, opinions and data contained in all publications are solely those of the individual author(s) and contributor(s) and not of MDPI and/or the editor(s). MDPI and/or the editor(s) disclaim responsibility for any injury to people or property resulting from any ideas, methods, instructions or products referred to in the content. |
© 2023 by the authors. Licensee MDPI, Basel, Switzerland. This article is an open access article distributed under the terms and conditions of the Creative Commons Attribution (CC BY) license (https://creativecommons.org/licenses/by/4.0/).
Share and Cite
Vo, C.P.; Jeon, J.h. An Integrated Motion Planning Scheme for Safe Autonomous Vehicles in Highly Dynamic Environments. Electronics 2023, 12, 1566. https://doi.org/10.3390/electronics12071566
Vo CP, Jeon Jh. An Integrated Motion Planning Scheme for Safe Autonomous Vehicles in Highly Dynamic Environments. Electronics. 2023; 12(7):1566. https://doi.org/10.3390/electronics12071566
Chicago/Turabian StyleVo, Cong Phat, and Jeong hwan Jeon. 2023. "An Integrated Motion Planning Scheme for Safe Autonomous Vehicles in Highly Dynamic Environments" Electronics 12, no. 7: 1566. https://doi.org/10.3390/electronics12071566
APA StyleVo, C. P., & Jeon, J. h. (2023). An Integrated Motion Planning Scheme for Safe Autonomous Vehicles in Highly Dynamic Environments. Electronics, 12(7), 1566. https://doi.org/10.3390/electronics12071566



