Prediction Method for Sugarcane Syrup Brix Based on Improved Support Vector Regression
Abstract
1. Introduction
1.1. Background
1.2. Existing Syrup Brix Measurement Methods Research
1.3. Contributions
- A new SVR-based syrup brix calculation model is introduced, and the improved PSO is used to optimize the key SVR parameters. The adaptive PSO has multiple inertia weights, which can balance the global and local search abilities.
- The first application of the proposed PSO–SVR model in syrup brix calculation.
- It is the first time that a method combining the microwave method with the PSO–SVR calculation model is used to predict the syrup brix.
2. Materials and Methods
2.1. Data Collection
2.2. Experimental Setup
2.3. Construction of Syrup Brix Calculation Model Based on SVR
2.3.1. SVR
2.3.2. SVR Parameter Optimization
2.3.3. Build Calculation Model
2.4. Calculation Model Evaluation Index
3. Results and Discussion
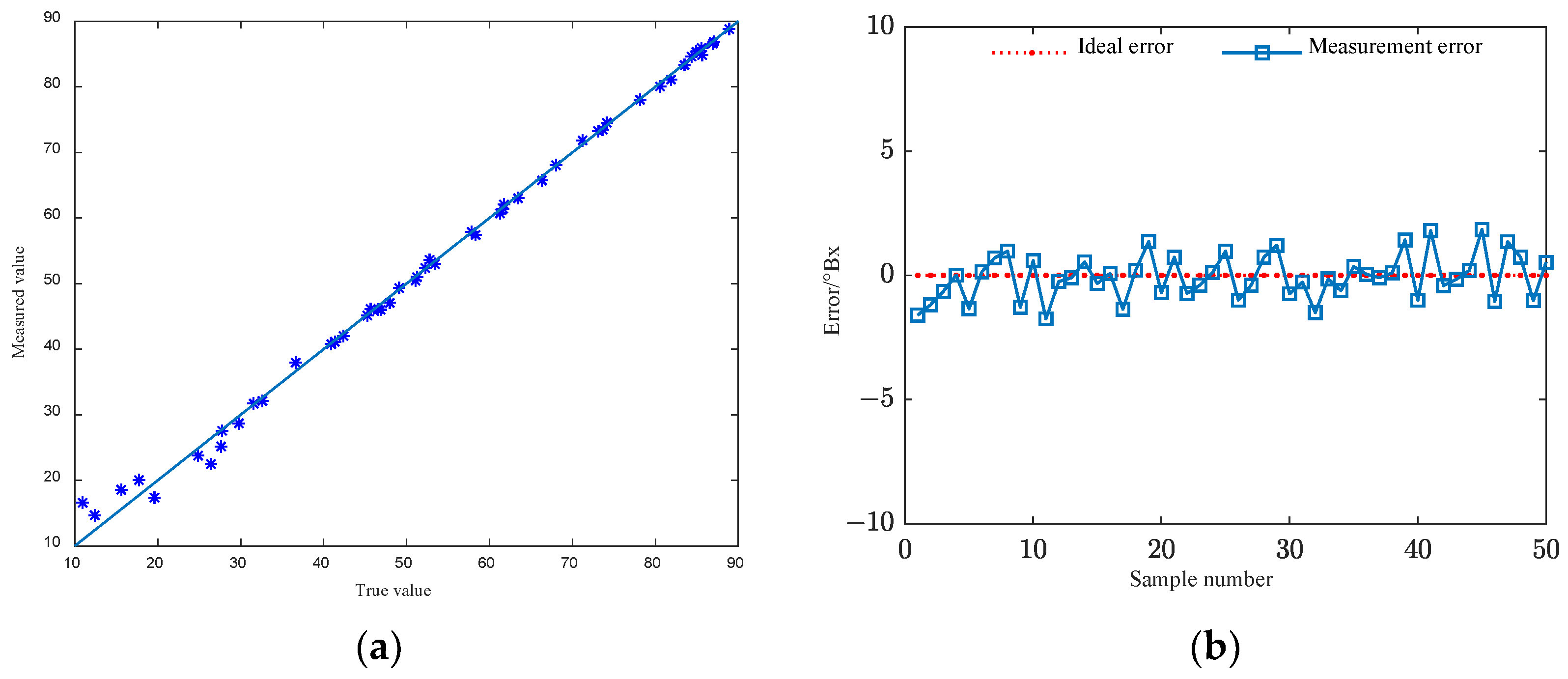
3.1. Calculation of Syrup Brix Based on PSO–SVR Model
3.1.1. Improved SVR Model Training
3.1.2. PSO–SVR Model Test


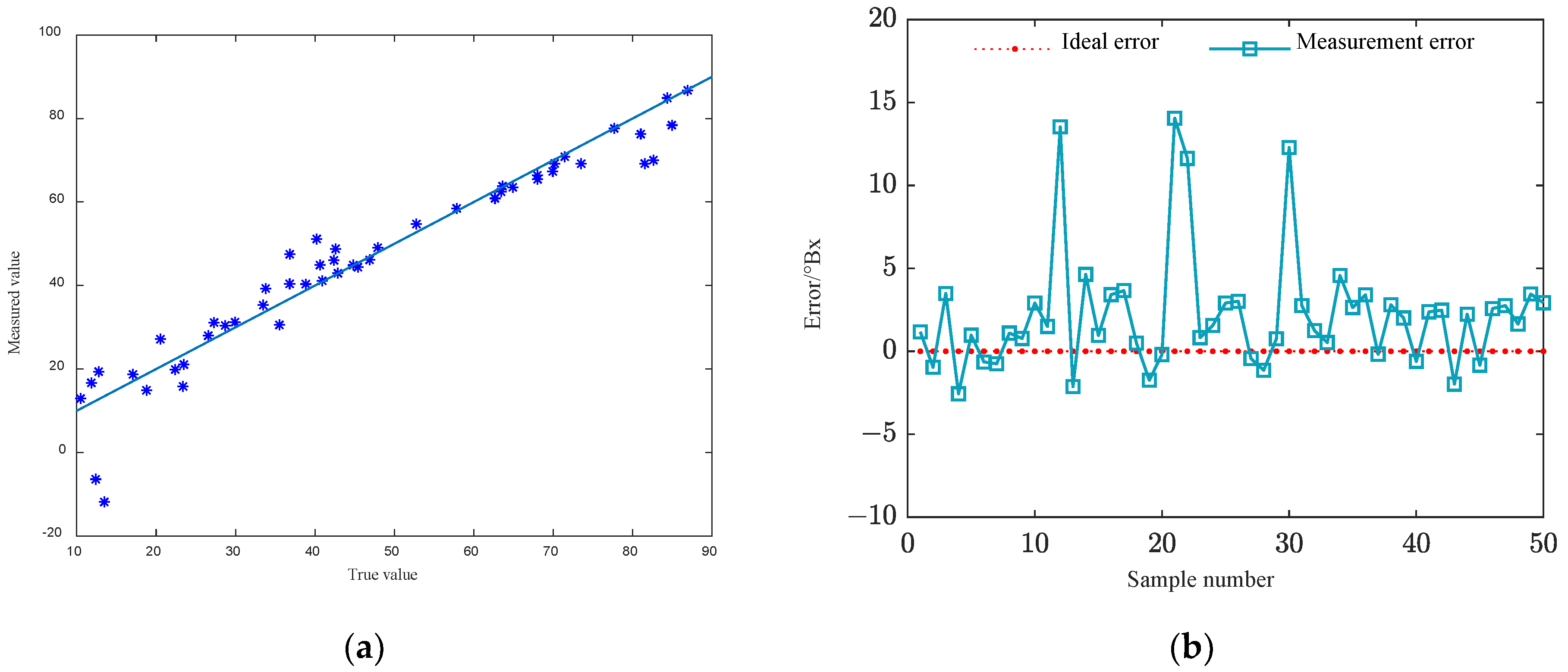
3.2. Comparison and Analysis of Measurement Results
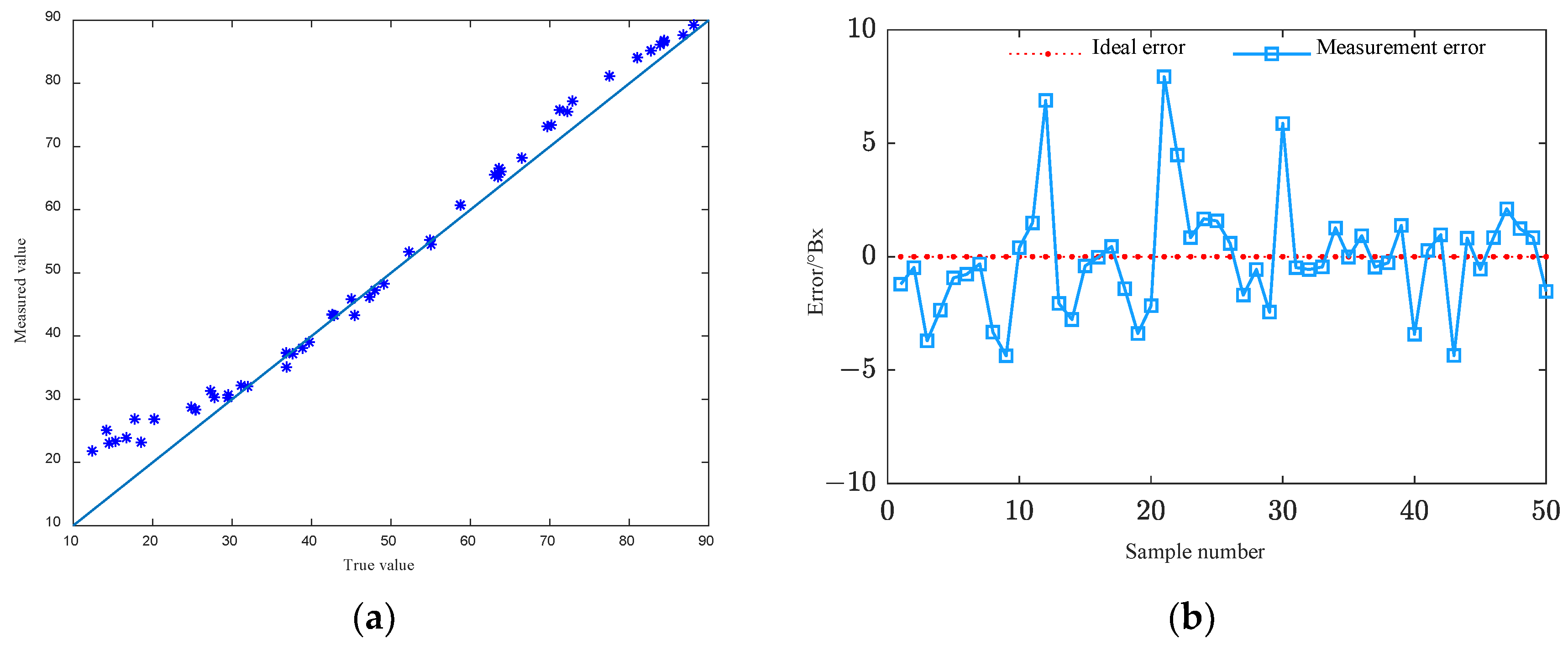
3.3. Online Measurement of Simulated Syrup Brix
3.4. Discussion
4. Conclusions
Author Contributions
Funding
Data Availability Statement
Acknowledgments
Conflicts of Interest
References
- Yang, J.; Zhang, J. Discussion on automatic control scheme of sugar crystallization section. China Mod. Educ. Equip. 2008, 4, 106–108. [Google Scholar]
- Marzougui, K.; Hamzaoui, A.H.; Farah, K.; Nessib, N.B. Electrical conductivity study of gamma-irradiated table sugar for high-dose dosimetry. Radiat. Meas. 2008, 7, 1254–1257. [Google Scholar] [CrossRef]
- Li, Z.; Qin, G.; Mo, L. Automatic laser refractive indexing system for syrup concentration. J. South China Univ. Technol. 1998, 3, 110–115. [Google Scholar]
- Dongare, M.L.; Buchade, M.N.; Awatade, M.N.; Shaligram, A.D. Mathematical modeling and simulation of refractive index based brix measurement system. Optik 2014, 3, 946–949. [Google Scholar] [CrossRef]
- Yang, Z.; Guan, A.; Yin, X. Application of automatic online detection technology of brix in sugar industry. Guangxi Sugar Ind. 2015, 81, 39–43. [Google Scholar]
- Nunak, N.; Suesut, T.; Klongratog, B.; Mongkoltalong, P. In Line Osmotic Process Measurement of Concentration of Sugar Solution. In Proceedings of the International Conference of Engineering, Applied Science and Technology (ICEAST 2012), Bangkok, Thailand, 21–24 November 2012. [Google Scholar]
- Huang, S.; Qin, J.; Ye, Q.; Qin, H.; Xu, N.; Chen, J. Research on online automatic measuring system of brix in sugar cane factory. Sugarcane Ind. 2018, 4, 29–33. [Google Scholar]
- Blakey, R.T.; Morales-Partera, A.M. Microwave dielectric spectroscopy—A versatile methodology for online, non-destructive food analysis, monitoring and process control. Eng. Agric. Environ. Food 2016, 9, 264–273. [Google Scholar] [CrossRef]
- Hosseini, N.; Baghelani, M. Selective real-time non-contact multi-variable water-alcohol-sugar concentration analysis during fermentation process using microwave split-ring resonator based sensor. Sens. Actuators A Phys. 2021, 325, 112695. [Google Scholar] [CrossRef]
- Liu, H.; Hu, S.; Meng, Y.; Chen, J.; Li, Z.; Li, J.; Zhang, Y. Online measurement of syrup brix with microwave open coaxial resonator sensor. J. Food Eng. 2022, 322, 110975. [Google Scholar] [CrossRef]
- Liu, H.; Mai, Y.; Zhou, D. The practice of microwave technology in the final effect hammer measurement of evaporation. Guangxi Sugar Ind. 2015, 1, 16–19. [Google Scholar]
- Meng, M.; Meng, X. Effect of temperature and frequency on dielectric model of cement concrete. Bull. Chin. Ceram. 2018, 37, 1758–1764. [Google Scholar]
- Cortes, C.; Vapnik, V. Support-Vector Networks. Mach. Learn. 1995, 20, 273–297. [Google Scholar] [CrossRef]
- Drucker, H.; Burges, C.J.; Kaufman, L.; Smola, A.; Vapnik, V. Support vector regression machines. Adv. Neural Inf. Process. Syst. 1996, 9. [Google Scholar] [CrossRef]
- Zhang, X.; Tang, X.; Zhu, X.; Gao, X.; Chen, X.; Chen, X. A regression-based framework for quantitative assessment of muscle spasticity using combined EMG and inertial data from wearable sensors. Front. Neurosci. 2019, 13, 398. [Google Scholar] [CrossRef] [PubMed]
- Castro-Neto, M.; Jeong, Y.; Jeong, M.; Han, L.D. Online-SVR for short-term traffic flow prediction under typical and atypical traffic conditions. Expert Syst. Appl. 2009, 3, 6164–6173. [Google Scholar] [CrossRef]
- Liang, H.; Zou, J.; Li, Z.; Khan, M.J.; Lu, Y. Dynamic evaluation of drilling leakage risk based on fuzzy theory and PSO-SVR algorithm. Future Gener. Comput. Syst. 2019, 95, 454–466. [Google Scholar] [CrossRef]
- Quan, Q.; Hao, Z.; Xifeng, H.; Jingchun, L. Research on water temperature prediction based on improved support vector regression. Neural Comput. Appl. 2022, 34, 1–10. [Google Scholar] [CrossRef]
- Benkedjouh, T.; Medjaher, K.; Zerhouni, N.; Rechak, S. Health assessment and life prediction of cutting tools based on support vector regression. J. Intell. Manuf. 2015, 26, 213–223. [Google Scholar] [CrossRef]
- Paniagua-Tineo, A.; Salcedo-Sanz, S.; Casanova-Mateo, C.; Ortiz-García, E.G.; Cony, M.A.; Hernández-Martín, E. Prediction of daily maximum temperature using a support vector regression algorithm. Renew. Energy 2011, 36, 3054–3060. [Google Scholar] [CrossRef]
- Li, Z.; Gao, L.; Lu, W.; Wang, D.; Xie, C.; Cao, H. Estimation of Knee Joint Extension Force Using Mechanomyography Based on IGWO-SVR Algorithm. Electronics 2021, 10, 2972. [Google Scholar] [CrossRef]
- Yu, L.; Shi, F.; Wang, H.; Hu, F. MATLAB Intelligent Algorithm Analysis of 30 Cases; Beihang University Press: Beijing, China, 2011. [Google Scholar]
- Li, L.; Wang, M.; Zhao, H.; Wang, T.; Zhao, R. Displacement prediction of Baishuihe landslide based on CEEMDAN-BA-SVR-Adaboost model. J. Yangtze River Sci. Res. Inst. 2021, 38, 52–59+66. [Google Scholar]
- Deng, W. Research and Application of Multi-Model Soft Sensing Modeling Method. Mater Thesis, Jiangnan University, Wuxi, China, 2012. [Google Scholar]
- Kennedy, J.; Eberhart, R. Particle swarm optimization. In Proceedings of the ICNN’95-International Conference on Neural Networks, Perth, Australia, 27 November–1 December 1995; Volume 4, pp. 1942–1948. [Google Scholar]
- Yildiz, A.R.; Solanki, K.N. Multi-objective optimization of vehicle crashworthiness using a new particle swarm based approach. Int. J. Adv. Manuf. Technol. 2012, 59, 367–376. [Google Scholar] [CrossRef]
- Yang, J.; Si, H. Inversion study of fault regional stress field based on PSO-SVR model. Min. Res. Dev. 2022, 42, 173–179. [Google Scholar]
- Khan, H.; Nizami, I.F.; Qaisar, S.M.; Waqar, A.; Krichen, M.; Almaktoom, A.T. Analyzing optimal battery sizing in microgrids based on the feature selection and machine learning approaches. Energies 2022, 15, 7865. [Google Scholar] [CrossRef]
- Eseye, A.T.; Zhang, J.; Zheng, D. Short-term photovoltaic solar power forecasting using a hybrid Wavelet-PSO-SVM model based on SCADA and Meteorological information. Renew. Energy 2018, 118, 357–367. [Google Scholar] [CrossRef]
- Chen, G.; Huang, X.; Jia, J.; Min, Z. Natural Exponential Inertia Weight Strategy in Particle Swarm Optimization. In Proceedings of the World Congress on Intelligent Control & Automation, Dalian, China, 21–23 June 2006. [Google Scholar]
- Lei, K.; Qiu, Y.; He, Y. A new adaptive well-chosen inertia weight strategy to automatically harmonize global and local search ability in particle swarm optimization. In Proceedings of the International Symposium on Systems & Control in Aerospace & Astronautics, Harbin, China, 19–21 January 2006. [Google Scholar]
- Feng, Y.; Teng, G.; Wang, A.; Yao, Y. Chaotic Inertia Weight in Particle Swarm Optimization. In Proceedings of the International Conference on Innovative Computing, Kumamoto, Japan, 5–7 September 2007. [Google Scholar]
- Nickabadi, A.; Ebadzadeh, M.; Safabakhsh, R. A novel particle swarm optimization algorithm with adaptive inertia weight. Appl. Soft Comput. 2011, 11, 3658–3670. [Google Scholar] [CrossRef]
- Adewumi, A.O.; Arasomwan, A.M. An improved particle swarm optimiser based on swarm success rate for global optimisation problems. J. Exp. Theor. Artif. Intell. 2014, 28, 441–483. [Google Scholar] [CrossRef]
- Yang, B.; Qian, W. Adaptive Particle swarm optimization algorithm with multiple inertia weights. J. Bohai Univ. (Nat. Sci. Ed.) 2021, 42, 41–48+90. [Google Scholar]
- Weisberg, S. Applied Linear Regression; John Wiley & Sons: Hoboken, NJ, USA, 2005. [Google Scholar]
- Li, Z.; Meng, Z.; Haigh, A.; Wang, P.; Gibson, A. Characterisation of water in honey using a microwave cylindrical cavity resonator sensor. J. Food Eng. 2021, 292, 110373. [Google Scholar] [CrossRef]












| Evaluation Index | Calculation Formula | Evaluation Index | Calculation Formula |
|---|---|---|---|
| MAE | RMSE | ||
| MAPE |
| Serial Number | f/MHz | Q | Serial Number | f/MHz | Q | ||
|---|---|---|---|---|---|---|---|
| 1 | 2104.44 | 147.13 | 10.25 | 11 | 2124.36 | 127.19 | 50.08 |
| 2 | 2106.84 | 146.04 | 13.47 | 12 | 2126.35 | 124.46 | 53.39 |
| 3 | 2104.71 | 148.86 | 17.65 | 13 | 2131.14 | 120.93 | 57.84 |
| 4 | 2107.09 | 142.71 | 21.19 | 14 | 2135.42 | 118.99 | 61.56 |
| 5 | 2106.58 | 141.72 | 25.86 | 15 | 2139.77 | 115.27 | 65.20 |
| 6 | 2109.44 | 145.51 | 29.50 | 16 | 2145.23 | 106.65 | 69.64 |
| 7 | 2112.15 | 141.11 | 33.80 | 17 | 2149.15 | 102.16 | 73.52 |
| 8 | 2114.74 | 141.50 | 37.73 | 18 | 2157.77 | 89.89 | 77.68 |
| 9 | 2116.00 | 135.71 | 41.35 | 19 | 2165.78 | 75.16 | 83.51 |
| 10 | 2118.10 | 132.89 | 45.41 | 20 | 2175.35 | 86.89 | 88.90 |
| Resonance Parameters | Mean | Variance | Standard Deviation | Q1 | Q2 | Q3 | Q4 |
|---|---|---|---|---|---|---|---|
| f/MHz | 2128.97 | 461.91 | 21.49 | 2109.57 | 2123.26 | 2145.22 | 2177.50 |
| Q | 122.19 | 541.57 | 23.27 | 107.62 | 129.39 | 141.99 | 148.86 |
| /°Bx | 49.77 | 534.89 | 23.13 | 29.70 | 50.08 | 69.87 | 89.24 |
| Improved PSO Parameters | Set Value |
|---|---|
| C optimization range optimization range | [0, 1024] [0, 100] |
| Population size N | 20 |
| Particle dimension D | 2 |
| Maximum iterations k | 300 |
| Acceleration coefficient , | 1.5 |
| Evolutionary steps K | 10 |
| Output of Model | Optimization Time/s | RMSE/°Bx | C | ||
|---|---|---|---|---|---|
| PSO | Syrup brix | 62.84 | 0.74 | 181.02 | 0.18 |
| GS | Syrup brix | 14.98 | 4.87 | 111.43 | 0.25 |
| Calculation Model | MAE/°Bx | MAPE/% | RMSE/°Bx | |
|---|---|---|---|---|
| SVR | 3.11 | 6.87 | 5.12 | 0.9593 |
| PSO–SVR | 0.74 | 2.24 | 0.90 | 0.9985 |
| Calculation Model | MAE/°Bx | MAPE/% | RMSE/°Bx | |
|---|---|---|---|---|
| Mixed dielectric model | 3.68 | 20.87 | 5.35 | 0.9674 |
| Multiple regression model | 2.82 | 10.73 | 3.94 | 0.9824 |
| PSO–SVR model | 0.74 | 2.24 | 0.90 | 0.9985 |
| Output Variable | MAE/°Bx | MAPE/% | RMSE/°Bx | |
|---|---|---|---|---|
| Syrup brix | 0.85 | 3.16 | 1.15 | 0.9969 |
Disclaimer/Publisher’s Note: The statements, opinions and data contained in all publications are solely those of the individual author(s) and contributor(s) and not of MDPI and/or the editor(s). MDPI and/or the editor(s) disclaim responsibility for any injury to people or property resulting from any ideas, methods, instructions or products referred to in the content. |
© 2023 by the authors. Licensee MDPI, Basel, Switzerland. This article is an open access article distributed under the terms and conditions of the Creative Commons Attribution (CC BY) license (https://creativecommons.org/licenses/by/4.0/).
Share and Cite
Hu, S.; Meng, Y.; Zhang, Y. Prediction Method for Sugarcane Syrup Brix Based on Improved Support Vector Regression. Electronics 2023, 12, 1535. https://doi.org/10.3390/electronics12071535
Hu S, Meng Y, Zhang Y. Prediction Method for Sugarcane Syrup Brix Based on Improved Support Vector Regression. Electronics. 2023; 12(7):1535. https://doi.org/10.3390/electronics12071535
Chicago/Turabian StyleHu, Songjie, Yanmei Meng, and Yibo Zhang. 2023. "Prediction Method for Sugarcane Syrup Brix Based on Improved Support Vector Regression" Electronics 12, no. 7: 1535. https://doi.org/10.3390/electronics12071535
APA StyleHu, S., Meng, Y., & Zhang, Y. (2023). Prediction Method for Sugarcane Syrup Brix Based on Improved Support Vector Regression. Electronics, 12(7), 1535. https://doi.org/10.3390/electronics12071535
