Boosting Adversarial Attacks with Nadam Optimizer
Abstract
1. Introduction
- Inspired by the idea of the Nesterov-accelerated Adaptive Moment Estimation (Nadam) [22] optimization algorithm, we apply the modified Nadam optimizer for adversarial example generation in each iteration. Based on the MI-FGSM, the look-ahead momentum vector and adaptive learning rate component are introduced. The proposed method can update the direction adaptively according to the current gradient information, optimize the convergence process, and enhance gradient-based adversarial attack transferability.
- We further improve the attack transferability by naturally combining advanced data augmentation methods with the proposed NAI-FGM.
- We apply the strategy of ensemble attack to NAI-FGM to produce higher success rates of the black-box attack.
2. Related Work
2.1. Adversarial Attacks
2.2. Adversarial Defenses
3. Methodology
3.1. Gradient-Based Attacks
3.2. Motivation
3.3. Nadam Iterative Fast Gradient Method
3.4. Attacking Ensemble of Models
| Algorithm 1 NAI-FGM |
| Input: A classifier f with loss function J; a clean example x and ground-truth label y; |
| Input: Perturbation size ; maximum iterations T; the dimension of the input image N; |
| Input: Nadam decay factors and ; a denominator stability factor . |
| Output: An adversarial example with . |
| 1: |
| 2: |
| 3: for to do |
| 4: obtain the gradient |
| 5: (5) |
| 6: (6) |
| 7: (7) |
| 8: (8) |
| 9: (9) |
| 10: (10) |
| 11: end for |
| 12: return |
3.5. Differences from Existing Advanced Attacks
4. Experiments
4.1. Experimental Setup
4.2. Attack a Single Model
4.2.1. Comparison with Advanced Gradient-Based Attacks
4.2.2. Comparison with Momentum-Based Iterative Attacks with Input Transformations
4.3. Attack an Ensemble of Models
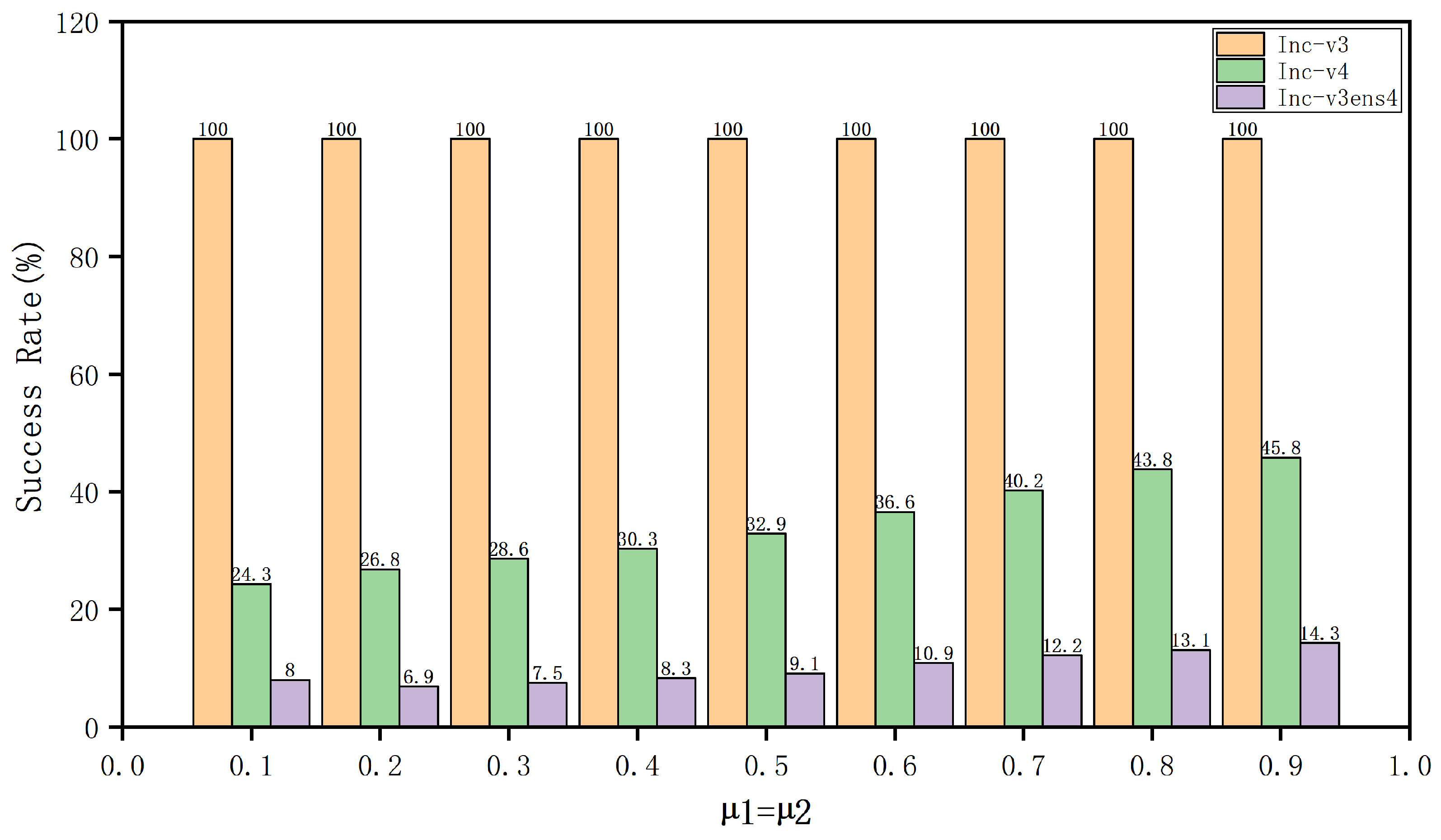
4.4. Study on Hyperparameters
5. Discussion
6. Conclusions
Author Contributions
Funding
Data Availability Statement
Conflicts of Interest
References
- Krizhevsky, A.; Sutskever, I.; Hinton, G.E. Imagenet classification with deep convolutional neural networks. Commun. ACM 2017, 60, 84–90. [Google Scholar] [CrossRef]
- He, K.; Zhang, X.; Ren, S.; Sun, J. Deep residual learning for image recognition. In Proceedings of the IEEE Conference on Computer Vision and Pattern Recognition, Las Vegas, NV, USA, 27–30 June 2016; pp. 770–778. [Google Scholar]
- Vaswani, A.; Shazeer, N.; Parmar, N.; Uszkoreit, J.; Jones, L.; Gomez, A.N.; Kaiser, L.; Polosukhin, I. Attention is all you need. arXiv 2017, arXiv:1706.03762. [Google Scholar]
- Chen, C.; Seff, A.; Kornhauser, A.; Xiao, J. Deepdriving: Learning affordance for direct perception in autonomous driving. In Proceedings of the 2015 IEEE International Conference on Computer Vision (ICCV), Santiago, Chile, 7–13 December 2015; pp. 2722–2730. [Google Scholar]
- Liao, Y.; Vakanski, A.; Xian, M. A deep learning framework for assessing physical rehabilitation exercises. IEEE Trans. Neural Syst. Rehabil. Eng. 2020, 28, 468–477. [Google Scholar] [CrossRef] [PubMed]
- Szegedy, C.; Zaremba, W.; Sutskever, I.; Bruna, J.; Erhan, D.; Goodfellow, I.; Fergus, R. Intriguing properties of neural networks. arXiv 2013, arXiv:1312.6199. [Google Scholar]
- Carlini, N.; Wagner, D. Towards evaluating the robustness of neural networks. In Proceedings of the 2017 IEEE Symposium on Security and Privacy (SP), San Jose, CA, USA, 22–26 May 2017; pp. 39–57. [Google Scholar]
- Madry, A.; Makelov, A.; Schmidt, L.; Tsipras, D.; Vladu, A. Towards deep learning models resistant to adversarial attacks. arXiv 2017, arXiv:1706.06083. [Google Scholar]
- Tramèr, F.; Kurakin, A.; Papernot, N.; Goodfellow, I.; Boneh, D.; McDaniel, P. Ensemble adversarial training: Attacks and defenses. arXiv 2017, arXiv:1705.07204. [Google Scholar]
- Goodfellow, I.J.; Shlens, J.; Szegedy, C. Explaining and harnessing adversarial examples. arXiv 2014, arXiv:1412.6572. [Google Scholar]
- Kurakin, A.; Goodfellow, I.J.; Bengio, S. Adversarial examples in the physical world. In Artificial Intelligence Safety and Security; Chapman and Hall/CRC: Boca Raton, FL, USA, 2018; pp. 99–112. [Google Scholar]
- Huang, Y.; Chen, Y.; Wang, X.; Yang, J.; Wang, Q. Promoting Adversarial Transferability via Dual-Sampling Variance Aggregation and Feature Heterogeneity Attacks. Electronics 2023, 12, 767. [Google Scholar] [CrossRef]
- Dong, Y.; Liao, F.; Pang, T.; Su, H.; Zhu, J.; Hu, X.; Li, J. Boosting adversarial attacks with momentum. In Proceedings of the 2018 IEEE/CVF Conference on Computer Vision and Pattern Recognition, Salt Lake City, UT, USA, 18–23 June 2018; pp. 9185–9193. [Google Scholar]
- Lin, J.; Song, C.; He, K.; Wang, L.; Hopcroft, J.E. Nesterov accelerated gradient and scale invariance for adversarial attacks. arXiv 2019, arXiv:1908.06281. [Google Scholar]
- Wang, X.; He, K. Enhancing the transferability of adversarial attacks through variance tuning. In Proceedings of the IEEE/CVF Conference on Computer Vision and Pattern Recognition, Nashville, TN, USA, 20–25 June 2021; pp. 1924–1933. [Google Scholar]
- Yin, H.; Zhang, H.; Wang, J.; Dou, R. Boosting adversarial attacks on neural networks with better optimizer. Secur. Commun. Netw. 2021, 2021, 9983309. [Google Scholar] [CrossRef]
- Xie, C.; Zhang, Z.; Zhou, Y.; Bai, S.; Wang, J.; Ren, Z.; Yuille, A.L. Improving transferability of adversarial examples with input diversity. In Proceedings of the IEEE/CVF Conference on Computer Vision and Pattern Recognition, Long Beach, CA, USA, 15–20 June 2019; pp. 2730–2739. [Google Scholar]
- Dong, Y.; Pang, T.; Su, H.; Zhu, J. Evading defenses to transferable adversarial examples by translation-invariant attacks. In Proceedings of the IEEE/CVF Conference on Computer Vision and Pattern Recognition, Long Beach, CA, USA, 15–20 June 2019; pp. 4312–4321. [Google Scholar]
- Wang, H.; Zhu, C.; Cao, Y.; Zhuang, Y.; Li, J.; Chen, X. ADSAttack: An Adversarial Attack Algorithm via Searching Adversarial Distribution in Latent Space. Electronics 2023, 12, 816. [Google Scholar] [CrossRef]
- Wu, W.; Su, Y.; Lyu, M.R.; King, I. Improving the Transferability of Adversarial Samples with Adversarial Transformations. In Proceedings of the 2021 IEEE/CVF Conference on Computer Vision and Pattern Recognition (CVPR), Nashville, TN, USA, 20–25 June 2021. [Google Scholar]
- Liu, Y.; Chen, X.; Liu, C.; Song, D. Delving into transferable adversarial examples and black-box attacks. arXiv 2016, arXiv:1611.02770. [Google Scholar]
- Dozat, T. Incorporating Nesterov Momentum into Adam. Available online: https://openreview.net/forum?id=OM0jvwB8jIp57ZJjtNEZ (accessed on 7 February 2023).
- Szegedy, C.; Vanhoucke, V.; Ioffe, S.; Shlens, J.; Wojna, Z. Rethinking the inception architecture for computer vision. In Proceedings of the IEEE Conference on Computer Vision and Pattern Recognition, Las Vegas, NV, USA, 27–30 June 2016; pp. 2818–2826. [Google Scholar]
- Chen, P.Y.; Zhang, H.; Sharma, Y.; Yi, J.; Hsieh, C.J. Zoo: Zeroth order optimization based black-box attacks to deep neural networks without training substitute models. arXiv 2017, arXiv:1708.03999. [Google Scholar]
- Su, J.; Vargas, D.V.; Kouichi, S. One pixel attack for fooling deep neural networks. IEEE Trans. Evol. Comput. 2017, 23, 828–841. [Google Scholar] [CrossRef]
- Brendel, W.; Rauber, J.; Bethge, M. Decision-based adversarial attacks: Reliable attacks against black-box machine learning models. arXiv 2017, arXiv:1712.04248. [Google Scholar]
- Kingma, D.P.; Ba, J. Adam: A method for stochastic optimization. arXiv 2014, arXiv:1412.6980. [Google Scholar]
- Wang, G.; Yan, H.; Wei, X. Enhancing transferability of adversarial examples with spatial momentum. In Pattern Recognition and Computer Vision, 5th Chinese Conference, PRCV 2022, Shenzhen, China, 4–7 November 2022, Proceedings, Part I; Springer International Publishing: Cham, Switzerland, 2022; pp. 593–604. [Google Scholar]
- Kurakin, A.; Goodfellow, I.; Bengio, S. Adversarial machine learning at scale. arXiv 2016, arXiv:1611.01236. [Google Scholar]
- Xie, C.; Wang, J.; Zhang, Z.; Ren, Z.; Yuille, A. Mitigating adversarial effects through randomization. arXiv 2017, arXiv:1711.01991. [Google Scholar]
- Guo, C.; Rana, M.; Cisse, M.; Van Der Maaten, L. Countering adversarial images using input transformations. arXiv 2017, arXiv:1711.00117. [Google Scholar]
- Liu, Z.; Liu, Q.; Liu, T.; Xu, N.; Lin, X.; Wang, Y.; Wen, W. Feature distillation: Dnn-oriented jpeg compression against adversarial examples. In Proceedings of the 2019 IEEE/CVF Conference on Computer Vision and Pattern Recognition (CVPR), Long Beach, CA, USA, 15–20 June 2019; pp. 860–868. [Google Scholar]
- Xu, W.; Evans, D.; Qi, Y. Feature squeezing: Detecting adversarial examples in deep neural networks. arXiv 2017, arXiv:1704.01155. [Google Scholar]
- Pang, T.; Du, C.; Dong, Y.; Zhu, J. Towards robust detection of adversarial examples. arXiv 2018, arXiv:1706.00633. [Google Scholar]
- Ma, S.; Liu, Y. Nic: Detecting adversarial samples with neural network invariant checking. In Proceedings of the 26th Network and Distributed System Security Symposium (NDSS 2019), San Diego, CA, USA, 24–27 February 2019. [Google Scholar]
- Nesterov, Y. A method for unconstrained convex minimization problem with the rate of convergence O (1/k). Dokl. AN USSR Proc. USSR Acad. Sci. 1983, 269, 543–547. [Google Scholar]
- Russakovsky, O.; Deng, J.; Su, H.; Krause, J.; Satheesh, S.; Ma, S.; Huang, Z.; Karpathy, A.; Khosla, A.; Bernstein, M.; et al. Imagenet large scale visual recognition challenge. Int. J. Comput. Vis. 2015, 115, 211–252. [Google Scholar] [CrossRef]
- Szegedy, C.; Ioffe, S.; Vanhoucke, V.; Alemi, A.A. Inception-v4, inception-resnet and the impact of residual connections on learning. In Proceedings of the Thirty-First AAAI Conference on Artificial Intelligence, San Francisco, CA, USA, 4–9 February 2017. [Google Scholar]





| Feature | FGSM | I-FGSM | MI-FGSM | NI-FGSM | AI-FGM | NAI-FGM |
|---|---|---|---|---|---|---|
| The one-step attack | Yes | |||||
| The iterative attack | Yes | Yes | Yes | Yes | Yes | |
| The momentum/The first momentum | Yes | Yes | Yes | |||
| The second momentum | Yes | Yes | ||||
| The look-ahead momentum vector | Yes | Yes | ||||
| The adaptive learning rate component | Yes | Yes | ||||
| The constant step size | Yes | Yes | Yes | Yes | Yes | |
| The variable step size | Yes | |||||
| norm | Yes | Yes | Yes | Yes | ||
| norm | Yes | Yes |
| Feature | DIM | TIM | SIM | ATTA |
|---|---|---|---|---|
| Transformation method of input image | Resizing and padding | Translation | Scaling | Blurring and coloring |
| Model | Attack | Inc-v3 | Inc-v4 | IncRes-v2 | Res-101 | Inc-v3ens3 | Inc-v3ens4 | IncRes-v2ens | Time Complexity | The Generation Time (s) of an Adversarial Example |
|---|---|---|---|---|---|---|---|---|---|---|
| Inc-v3 | FGSM | 67.7 * | 26.4 | 25.7 | 24.7 | 10.2 | 10.1 | 4.8 | O(1) | 0.3 |
| I-FGSM | 100.0 * | 22.2 | 19.4 | 15.4 | 5.8 | 5.4 | 3.1 | O(n) | 2.3 | |
| MI-FGSM | 100.0 * | 44.7 | 41.6 | 35.4 | 14.6 | 12.4 | 6.2 | O(n) | 3.5 | |
| NAI-FGM | 100.0 * | 47.5 | 44.6 | 36.1 | 16.7 | 14.3 | 8.6 | O(n) | 2.2 | |
| Inc-v4 | FGSM | 27.9 | 52.5 * | 23.0 | 23.3 | 9.9 | 9.8 | 5.6 | O(1) | 0.4 |
| I-FGSM | 31.6 | 99.9 * | 21.8 | 20.9 | 5.6 | 6.6 | 4.1 | O(n) | 4.2 | |
| MI-FGSM | 55.2 | 99.7 * | 46.1 | 41.1 | 16.5 | 15.0 | 7.7 | O(n) | 6.9 | |
| NAI-FGM | 60.4 | 100.0 * | 49.6 | 43.1 | 19.7 | 18.7 | 9.7 | O(n) | 4.1 | |
| IncRes-v2 | FGSM | 27.3 | 20.2 | 42.3 * | 24.5 | 9.9 | 9.5 | 5.8 | O(1) | 0.5 |
| I-FGSM | 32.5 | 26.2 | 98.1 * | 21.1 | 7.7 | 6.6 | 4.9 | O(n) | 4.7 | |
| MI-FGSM | 60.1 | 51.4 | 98.0 * | 45.2 | 21.8 | 16.8 | 11.6 | O(n) | 7.8 | |
| NAI-FGM | 61.7 | 52.0 | 98.5 * | 45.1 | 27.0 | 20.5 | 15.6 | O(n) | 4.9 | |
| Res-101 | FGSM | 36.7 | 31.4 | 30.4 | 78.5 * | 15.1 | 13.6 | 7.2 | O(1) | 0.5 |
| I-FGSM | 31.4 | 25.3 | 23.5 | 99.8 * | 9.0 | 8.7 | 5.4 | O(n) | 5.0 | |
| MI-FGSM | 57.7 | 51.5 | 48.8 | 99.3 * | 25.0 | 21.2 | 12.9 | O(n) | 8.1 | |
| NAI-FGM | 59.2 | 54.2 | 49.7 | 99.9 * | 27.9 | 26.1 | 17.0 | O(n) | 5.1 |
| Model | Attack | Inc-v3 | Inc-v4 | IncRes-v2 | Res-101 | Inc-v3ens3 | Inc-v3ens4 | IncRes-v2ens | Time Complexity | The Generation Time (s) of an Adversarial Example |
|---|---|---|---|---|---|---|---|---|---|---|
| Inc-v3 | MI-DI-TI-SI-FGSM | 99.5 * | 85.0 | 80.5 | 76.0 | 65.1 | 62.5 | 47.5 | O() | 10.5 |
| NI-DI-TI-SI-FGSM | 99.5 * | 84.3 | 81.0 | 77.2 | 60.1 | 56.6 | 40.1 | O() | 10.5 | |
| NAI-DI-TI-SI-FGM | 99.5 * | 87.0 | 81.3 | 76.4 | 70.4 | 70.0 | 51.6 | O() | 10.5 | |
| Inc-v4 | MI-DI-TI-SI-FGSM | 86.2 | 98.8 * | 82.6 | 77.1 | 70.0 | 67.5 | 56.7 | O() | 19.8 |
| NI-DI-TI-SI-FGSM | 87.1 | 99.6 * | 83.7 | 77.5 | 66.5 | 62.8 | 50.0 | O() | 19.8 | |
| NAI-DI-TI-SI-FGM | 87.8 | 98.6 * | 83.8 | 78.7 | 75.9 | 70.4 | 60.9 | O() | 20.0 | |
| IncRes-v2 | MI-DI-TI-SI-FGSM | 88.7 | 86.4 | 98.4 * | 83.9 | 78.6 | 74.5 | 72.6 | O() | 21.7 |
| NI-DI-TI-SI-FGSM | 89.6 | 88.5 | 99.5 * | 83.1 | 73.0 | 67.6 | 63.5 | O() | 22.0 | |
| NAI-DI-TI-SI-FGM | 90.1 | 88.6 | 98.5 * | 85.4 | 82.7 | 79.3 | 78.0 | O() | 22.0 | |
| Res-101 | MI-DI-TI-SI-FGSM | 85.5 | 81.7 | 84.3 | 98.9 * | 75.8 | 71.7 | 62.1 | O() | 22.8 |
| NI-DI-TI-SI-FGSM | 85.7 | 84.0 | 85.0 | 99.6 * | 72.9 | 67.8 | 57.3 | O() | 22.4 | |
| NAI-DI-TI-SI-FGM | 86.4 | 83.5 | 84.6 | 98.9 * | 80.4 | 76.8 | 69.4 | O() | 22.5 |
| Attack | Inc-v3 | Inc-v4 | IncRes-v2 | Res-101 | Inc-v3ens3 | Inc-v3ens4 | IncRes-v2ens | Time Complexity | The Generation Time (s) of an Adversarial Example |
|---|---|---|---|---|---|---|---|---|---|
| MI-FGSM | 99.9 | 99.6 | 99.3 | 99.0 | 47.8 | 43.2 | 28.0 | O(n) | 14.6 |
| NI-FGSM | 100.0 | 99.9 | 99.9 | 100.0 | 46.1 | 40.6 | 25.9 | O(n) | 14.8 |
| NAI-FGM | 100.0 | 100.0 | 99.5 | 100.0 | 57.4 | 52.1 | 36.1 | O(n) | 14.8 |
| MI-DI-TI-SI-FGSM | 99.6 | 99.4 | 99.0 | 99.4 | 88.5 | 87.4 | 81.2 | O() | 30.4 |
| NI-DI-TI-SI-FGSM | 100.0 | 99.9 | 99.8 | 100.0 | 91.7 | 88.4 | 83.0 | O() | 30.9 |
| NAI-DI-TI-SI-FGM | 99.9 | 99.9 | 99.8 | 99.9 | 93.0 | 92.0 | 88.9 | O() | 31.2 |
| & | Inc-v3 | Inc-v4 | IncRes-v2 | Res-101 | Inc-v3ens3 | Inc-v3ens4 | IncRes-v2ens |
|---|---|---|---|---|---|---|---|
| 0.9 & 0.9 | 100.0 | 45.8 | 42.1 | 35.2 | 15.9 | 14.3 | 8.0 |
| 0.9 & 0.99 | 100.0 | 45.4 | 41.2 | 35.8 | 15.9 | 14.0 | 7.0 |
| 0.9 & 0.999 | 100.0 | 44.3 | 42.8 | 35.2 | 15.3 | 14.2 | 7.9 |
| 0.99 & 0.9 | 100.0 | 47.4 | 44.9 * | 37.9 * | 17.1 | 13.7 | 8.5 |
| 0.99 & 0.99 | 100.0 | 47.6 | 44.4 | 36.6 | 16.8 | 14.3 | 8.5 |
| 0.99 & 0.999 | 100.0 | 47.5 | 44.6 | 36.1 | 16.7 | 14.3 | 8.6 * |
| 0.999 & 0.9 | 100.0 | 47.7 * | 44.4 | 37.1 | 17.1 | 14.6 * | 7.7 |
| 0.999 & 0.99 | 100.0 | 46.2 | 44.2 | 36.8 | 17.4 * | 14.5 | 7.6 |
| 0.999 & 0.999 | 100.0 | 46.6 | 44.9 * | 37.4 | 17.4 * | 14.1 | 8.2 |
Disclaimer/Publisher’s Note: The statements, opinions and data contained in all publications are solely those of the individual author(s) and contributor(s) and not of MDPI and/or the editor(s). MDPI and/or the editor(s) disclaim responsibility for any injury to people or property resulting from any ideas, methods, instructions or products referred to in the content. |
© 2023 by the authors. Licensee MDPI, Basel, Switzerland. This article is an open access article distributed under the terms and conditions of the Creative Commons Attribution (CC BY) license (https://creativecommons.org/licenses/by/4.0/).
Share and Cite
Zhang, Q.; Zhang, Y.; Shao, Y.; Liu, M.; Li, J.; Yuan, J.; Wang, R. Boosting Adversarial Attacks with Nadam Optimizer. Electronics 2023, 12, 1464. https://doi.org/10.3390/electronics12061464
Zhang Q, Zhang Y, Shao Y, Liu M, Li J, Yuan J, Wang R. Boosting Adversarial Attacks with Nadam Optimizer. Electronics. 2023; 12(6):1464. https://doi.org/10.3390/electronics12061464
Chicago/Turabian StyleZhang, Qikun, Yuzhi Zhang, Yanling Shao, Mengqi Liu, Jianyong Li, Junling Yuan, and Ruifang Wang. 2023. "Boosting Adversarial Attacks with Nadam Optimizer" Electronics 12, no. 6: 1464. https://doi.org/10.3390/electronics12061464
APA StyleZhang, Q., Zhang, Y., Shao, Y., Liu, M., Li, J., Yuan, J., & Wang, R. (2023). Boosting Adversarial Attacks with Nadam Optimizer. Electronics, 12(6), 1464. https://doi.org/10.3390/electronics12061464

