Research and Application of Generative-Adversarial-Network Attacks Defense Method Based on Federated Learning
Abstract
:1. Introduction
- (1)
- This paper proposes a defense framework for GAN attacks in FL, Defense-GAN, which makes attackers unable to obtain effective private image data of defenders after GAN attacks, thus protecting the privacy of defenders. At the same time, it also ensures that the model accuracy of FL training will not be greatly affected.
- (2)
- The Defense-GAN proposed in this paper uses SHAP to compare the influence of all features in the training privacy data set and sorts them to mask the top-ranked features, and destroy the visual features of the training images, so that the data images obtained by the attacker cannot be recognized with the naked eyes after the GAN attack.
- (3)
- In the model training process, the masked image data and the original image data are mixed with CutMix to form a new image data set to improve the accuracy of model training.
- (4)
- The defense framework proposed in this paper has been tested on real datasets and compared with other methods in terms of defense effect and model accuracy. The experimental results show that the scheme proposed in this paper not only defends against GAN attacks but also ensures the accuracy of model training.
2. GAN Attacks under FL
2.1. Attack Scenario
2.2. Attack Model
3. Defense Method
3.1. The Framework of Defense-GAN
3.1.1. SHAP
3.1.2. Image Masking
3.1.3. Improve Model Accuracy
4. Experiments
4.1. Experimental Setting
4.1.1. Dataset
4.1.2. Experimental Configuration
4.2. Image Masking with SHAP
4.3. Mixing Images with CutMix
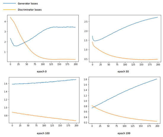
4.4. Defense Effects
4.4.1. Attack on the Original Dataset
4.4.2. Attack on Pure Masked Images
4.4.3. Attack on Mixed Dataset of Masked Image and Original Image
4.4.4. Attack on the CutMix Dataset
4.5. Model Accuracy Analysis
5. Application Prospects
5.1. Facial Recognition
5.2. Medical Imaging
5.3. Business
6. Conclusions
Author Contributions
Funding
Data Availability Statement
Acknowledgments
Conflicts of Interest
References
- Yang, Q.; Liu, Y.; Chen, T.; Tong, Y. Federated machine learning: Concept and applications. ACM Trans. Intell. Syst. Technol. 2019, 10, 1–19. [Google Scholar] [CrossRef]
- McMahan, B.; Moore, E.; Ramage, D.; Hampson, S.; Arcas, B. Communication-efficient learning of deep networks from decentralized data. In Proceedings of the 20th International Conference on Artificial Intelligence and Statistics, Ft. Lauderdale, FL, USA, 20–22 April 2017; pp. 1273–1282. [Google Scholar]
- Chen, Y.; Gui, Y.; Lin, H.; Gan, W.; Wu, Y. Federated Learning Attacks and Defenses: A Survey. arXiv 2022, arXiv:2211.14952. [Google Scholar]
- Zhang, C.; Xie, Y.; Bai, H.; Yu, B.; Li, W.; Gao, Y. A survey on federated learning. Knowl. -Based Syst. 2021, 216, 106775. [Google Scholar] [CrossRef]
- Feng, J.; Cai, Q.Z.; Zhou, Z.H. Learning to confuse: Generating training time adversarial data with auto-encoder. Adv. Neural Inf. Process. Syst. 2019, 32. [Google Scholar] [CrossRef]
- Muñoz-González, L.; Biggio, B.; Demontis, A.; Paudice, A.; Wongrassamee, V.; Lupu, E.; Roli, F. Towards poisoning of deep learning algorithms with back-gradient optimization. In Proceedings of the 10th ACM Workshop on Artificial Intelligence and Security, Dallas, TX, USA, 3 November 2017; pp. 27–38. [Google Scholar]
- Sun, Z.; Kairouz, P.; Suresh, A.T.; McMahan, H.B. Can you really backdoor federated learning? arXiv 2019, arXiv:1911.07963. [Google Scholar]
- Bagdasaryan, E.; Veit, A.; Hua, Y.; Estrin, D.; Shmatikov, V. How to backdoor federated learning. In Proceedings of the Twenty Third International Conference on Artificial Intelligence and Statistics, Palermo, Italy, 26–28 August 2020; pp. 2938–2948. [Google Scholar]
- Li, Y.; Jiang, Y.; Li, Z.; Xia, S. Backdoor learning: A survey. In IEEE Transactions on Neural Networks and Learning Systems; IEEE: New York, NY, USA, 2022. [Google Scholar]
- Luping, W.; Wei, W.; Bo, L.I. CMFL: Mitigating communication overhead for federated learning. In Proceedings of the 2019 IEEE 39th International Conference on Distributed Computing Systems (ICDCS), Dallas, TX, USA, 7–10 July 2019; pp. 954–964. [Google Scholar]
- Yao, X.; Huang, C.; Sun, L. Two-stream federated learning: Reduce the communication costs. In Proceedings of the 2018 IEEE Visual Communications and Image Processing (VCIP), Taichung, Taiwan, 9–12 December 2018; pp. 1–4. [Google Scholar]
- Goodfellow, I.; Pouget-Abadie, J.; Mirza, M.; Xu, B.; Warde-Farley, D.; Ozair, S.; Courville, A.; Bengio, Y. Generative adversarial networks. Commun. ACM 2020, 63, 139–144. [Google Scholar] [CrossRef]
- Hitaj, B.; Ateniese, G.; Perez-Cruz, F. Deep models under the GAN: Information leakage from collaborative deep learning. In Proceedings of the 2017 ACM SIGSAC Conference on Computer and Communications Security, Dallas, TX, USA, 30 October–3 November 2017; pp. 603–618. [Google Scholar]
- Zhang, J.; Chen, J.; Wu, D.; Chen, B.; Yu, S. Poisoning Attack in Federated Learning using Generative Adversarial Nets. In Proceedings of the 2019 18th IEEE International Conference on Trust, Security and Privacy in Computing and Communications/13th IEEE International Conference on Big Data Science and Engineering (TrustCom/BigDataSE), Rotorua, New Zealand, 5–8 August 2019. [Google Scholar]
- Wang, Z.; Song, M.; Zhang, Z.; Song, Y.; Wang, Q.; Qi, H. Beyond inferring class representatives: User-level privacy leakage from federated learning. In Proceedings of the IEEE INFOCOM 2019-IEEE Conference on Computer Communications, Paris, France, 29 April 2019–2 May 2019; pp. 2512–2520. [Google Scholar]
- Yao, A.C. Protocols for secure computations. In Proceedings of the 23rd Annual Symposium on Foundations of Computer Science (sfcs 1982), Chicago, IL, USA, 3–5 November 1982; pp. 160–164. [Google Scholar]
- Aono, Y.; Hayashi, T.; Wang, L.; Moriai, S. Privacy-preserving deep learning via additively homomorphic encryption. IEEE Trans. Inf. Forensics Secur. 2017, 13, 1333–1345. [Google Scholar]
- Li, J.; Gan, W.; Gui, Y.; Wu, Y.; Yu, P.S. Frequent itemset mining with local differential privacy. In Proceedings of the 31st ACM International Conference on Information & Knowledge Management, Atlanta, GA, USA, 17–22 October 2022; pp. 1146–1155. [Google Scholar]
- Yan, X.; Cui, B.; Xu, Y.; Shi, P.; Wang, Z. A Method of Information Protection for Collaborative Deep Learning under GAN Model Attack. IEEE/ACM Trans. Comput. Biol. Bioinform. 2019, 18, 871–881. [Google Scholar] [CrossRef] [PubMed]
- Luo, X.; Zhu, X. Exploiting Defenses against GAN-Based Feature Inference Attacks in Federated Learning. arXiv 2020, arXiv:2004.12571. [Google Scholar]
- Lundberg, S.M.; Lee, S.I. A unified approach to interpreting model predictions. In Proceedings of the 31st Conference on Neural Information Processing Systems (NIPS 2017), Long Beach, CA, USA, 4–9 December 2017. [Google Scholar]
- Yun, S.; Han, D.; Oh, S.J.; Chun, S.; Choe, J.; Yoo, Y. Cutmix: Regularization strategy to train strong classifiers with localizable features. In Proceedings of the IEEE/CVF International Conference on Computer Vision, Seoul, Republic of Korea, 27 October–2 November 2019; pp. 6023–6032. [Google Scholar]
- LeCun, Y. The MNIST Database of Handwritten Digits. 1998. Available online: http://yann.lecun.com/exdb/mnist/ (accessed on 20 August 2022).
- Niu, Y.; Deng, W. Federated learning for face recognition with gradient correction. Proc. AAAI Conf. Artif. Intell. 2022, 36, 1999–2007. [Google Scholar] [CrossRef]
- Stoffel, A.R.; Da, C.; KüderleArne Yari, I.A.; Eskofier, B. Federated Learning for Healthcare: Systematic Review and Architecture Proposal. ACM Trans. Intell. Syst. Technol. 2021, 13, 1–23. [Google Scholar]
- Banabilah, S.; Aloqaily, M.; Alsayed, E.; Malik, N.; Jararweh, Y. Federated learning review: Fundamentals, enabling technologies, and future applications. Inf. Process. Manag. 2022, 59, 103061. [Google Scholar] [CrossRef]









| Defense Methods | ADR |
|---|---|
| Masked dataset | 2.28% |
| Masked + Original dataset | 0.85% |
| CutMix dataset (Defense-GAN) | 1.13% |
| Anti-GAN | 5% |
Disclaimer/Publisher’s Note: The statements, opinions and data contained in all publications are solely those of the individual author(s) and contributor(s) and not of MDPI and/or the editor(s). MDPI and/or the editor(s) disclaim responsibility for any injury to people or property resulting from any ideas, methods, instructions or products referred to in the content. |
© 2023 by the authors. Licensee MDPI, Basel, Switzerland. This article is an open access article distributed under the terms and conditions of the Creative Commons Attribution (CC BY) license (https://creativecommons.org/licenses/by/4.0/).
Share and Cite
Ma, X.; Gu, L. Research and Application of Generative-Adversarial-Network Attacks Defense Method Based on Federated Learning. Electronics 2023, 12, 975. https://doi.org/10.3390/electronics12040975
Ma X, Gu L. Research and Application of Generative-Adversarial-Network Attacks Defense Method Based on Federated Learning. Electronics. 2023; 12(4):975. https://doi.org/10.3390/electronics12040975
Chicago/Turabian StyleMa, Xiaoyu, and Lize Gu. 2023. "Research and Application of Generative-Adversarial-Network Attacks Defense Method Based on Federated Learning" Electronics 12, no. 4: 975. https://doi.org/10.3390/electronics12040975
APA StyleMa, X., & Gu, L. (2023). Research and Application of Generative-Adversarial-Network Attacks Defense Method Based on Federated Learning. Electronics, 12(4), 975. https://doi.org/10.3390/electronics12040975
