Next Article in Journal
Service Performance Evaluation of Operating Loess Railway Tunnel Based on Bayesian Network
Next Article in Special Issue
IoT-Based Wearable and Smart Health Device Solutions for Capnography: Analysis and Perspectives
Previous Article in Journal
High Performance Network Intrusion Detection System Using Two-Stage LSTM and Incremental Created Hybrid Features
Previous Article in Special Issue
Enhancing NOMA’s Spectrum Efficiency in a 5G Network through Cooperative Spectrum Sharing
 
 
Font Type:
Arial Georgia Verdana
Font Size:
Aa Aa Aa
Line Spacing:
Column Width:
Background:
Article

Joint Spectrum and Power Allocation with User Association for 5G/Wi-Fi Coexisting Millimeter Wave Networks

1
Beijing Laboratory of Advanced Information Network, Beijing Key Laboratory of Network System Architecture and Convergence, Beijing University of Posts and Telecommunications, Beijing 100876, China
2
State Key Laboratory of Media Convergence and Communication, School of Information and Communication, Communication University of China, Beijing 100024, China
*
Author to whom correspondence should be addressed.
Electronics 2023, 12(4), 959; https://doi.org/10.3390/electronics12040959
Submission received: 29 December 2022 / Revised: 31 January 2023 / Accepted: 11 February 2023 / Published: 15 February 2023
(This article belongs to the Special Issue Advances in Wireless Networks and Mobile Systems)

Abstract

With the exponential growth of mobile data traffic, the deployment of a large number of devices in the hot-spot gathering scenario has brought great challenges to the current wireless communication network. Considering that the user service latency of unidirectional data offloading scheme is still unacceptable when 5G and Wi-Fi coexist on the unlicensed 60 GHz band, we investigate a bidirectional data offloading scheme with resource allocation in this study. More specifically, aggregation nodes (ANs) are deployed in the coverage of Wi-Fi AP to receive multi-user data in parallel in order to reduce the collision probability of transmitted packets. Then, we formulate an optimization problem aiming to maximize the sum rate through spectrum and power allocation as well as user association. The problem is then decomposed into three sub-problems and solved successively, where RSSI (received signal strength indicator) as the standard determines the user association, while the algorithms of multi-stage matching and successive convex approximation are used for solving spectrum allocation and power allocation, respectively. Simulation results demonstrate that the proposed algorithm can effectively increase the total capacity of the uplink coexisting networks.

1. Introduction

There is an unprecedented explosive growth of wireless transmission demand in the fifth generation (5G) and future communication network, and the mobile communication network in personal life, economic management, production operation, social management and other aspects plays a crucial role [1,2]. Therefore, once the mobile communication network cannot operate normally, it will cause great loss to society. For example, large social group activities will cause people to gather in a certain area, and the capacity of the communication system will reach saturation. When the system capacity is exceeded, the system will break down. In this scenario, network congestion is a serious problem.
Although the protocol design and optimization at different layers can alleviate network congestion to some extent, the fundamental solution to the issue is to increase the system capacity. For this purpose, many new technologies have been studied in 5G and 6G, including massive multiple-input multiple-output (MIMO) [3,4], non-orthogonal multiple access (NOMA) [5,6], as well as the usage of a new high-frequency spectrum, such as millimeter wave and Terahertz [7,8]. Among them, the large-scale antennas and beamforming technology can effectively enhance the directivity of transceiver beam pairs, thereby exploiting the potential of spatial reuse to increase the capacity. NOMA, as one of the critical technologies of 5G, can serve multiple users under different channel conditions with varying power levels in the same time–frequency resources, which can increase the number of active users and improve the utilization of available resources. In addition, the usage of a large spectrum considering millimeter wave and the Terahertz band naturally enhances the system capacity. Last but not least, to increase utilization of the existing spectrum, the coexistence of cellular networks and Wi-Fi on the unlicensed frequency band attracts great interests from academia and industry [9,10].
At present, the global unlicensed spectrum resources mainly include the 2.4 GHz, 5 GHz, 6 GHz and 60 GHz frequency bands. Most studies focused on the coexistence at low frequencies and and unidirectional offloading from cellular to Wi-Fi based on time–resource allocation. Typical technologies include duty cycle (DCM), listening before speaking technology (LBT) and maximum channel occupation time (MCOT). The collisions and latency according to the various duty cycle and duty-cycle on times were investigated in [11]. In [12], the design of LBT parameters to improve the spectrum-sharing capabilities is discussed. In addition, a unified hybrid adaptive channel access scheme was proposed in [13], which took advantage of both the DCM and LBT mechanisms. In [14], jointly optimizing the time and power allocation during MCOT was considered to maximize the total throughput. Authors in [15] proposed the adaptive spectrum switching time length allocation method to solve LBT time resource waste. The authors in [16] focused on the coexistence between the NR system and the Wi-Fi system based on the duty cycle mechanism and joint bandwidth and transmission opportunity allocation to maximize the throughput. The above methods mainly used TDMA to share channel resources between two networks. In addition, the optimization on the allocation of subcarriers or frequency sub-bands can also be considered. Authors in [17] proposed that cellular users can occupy spectrum holes alternately to reduce common channel interference in the high-frequency unlicensed scenario, where dual networks coexist. In [18], D2D users shared spectrum resources with cellular users through three common subcarrier allocation methods to improve the spectral efficiency in a single cell. The authors in [19] proposed a joint mode selection, channel allocation, and power control algorithm using particle swarm optimization to improve the throughput of cellular and D2D users in unlicensed band. In addition, owing to the combination of large-scale antenna and beamforming technology, space can be shared among multiple beam pairs between the users and the base station, and beam-matching methods include beam selection based on maximum capacity, maximum signal to interference plus noise ratio (SINR) [20], interference sensing [21], etc. Last but not least, a new type of node, i.e., aggregation node (AN) for the 5G/Wi-Fi coexisting network is proposed to aggregate traffic before users’ data are offloaded to the Wi-Fi network so as to reduce the number of competing users in Wi-Fi access and improve the overall performance [22].
Currently, the Wi-Fi network has been deployed in the unlicensed 60 GHz band. It is necessary to consider the coexistence of the 5G network and Wi-Fi network at this band to improve system throughput. Since large-scale antennas and beam forming technology are usually used in the millimeter wave band, the directivity of the transceiver beam pair is greatly enhanced, which can significantly reduce the interference between the coexistence links. Therefore, compared with the frequency band below 6 GHz, the coexistence networking of 5G and Wi-Fi in the 60 GHz band has greater capacity improvement potential. The deployment cost of the Wi-Fi network is lower than that of cellular networks but the conflict will become more serious with the increase in access users. In addition, different users have different transmission rates, and low-rate users will reduce the overall throughput of the Wi-Fi network. On the other hand, the cellular network has the advantages of centralized control and high resource efficiency, which can alleviate the traffic pressure of licensed bands by occupying unlicensed bands. However, the deployment cost is higher, and the communication mechanism is more complex. The coexistence of the 5G network and Wi-Fi network can avoid the limitations of a single network. However, beams and the increase in the number of coexistence links also make the resource allocation more complex in this high-frequency scenario. How to make full use of the directivity of the beam and the flexibility of the coexistence of 5G/Wi-Fi dual networks to optimize the allocation of network resources so as to further mitigate interference and increase the capacity is a great challenge.
To summarize, the current studies in 5G/Wi-Fi coexisting networks mainly focused on the optimization of time allocation, and a few studies considered the channel allocation, but these were mainly in the sub-6G unlicensed band. The coexistence of 5G and Wi-Fi in the 60 GHz band which involved rich spectrum resources was rarely considered. Furthermore, the existing unidirectional offloading scheme was not optimal for the situation of data saturation, so the dual offloading with higher capacity are under further research. The user association in the most current studies was fixed, which could affect the flexibility of dual offloading and overall throughput. To address the above issues, our study will consider the high-frequency millimeter wave unlicensed 5G/Wi-Fi coexisting network scenario with AN, and focus on the joint allocation of multi-dimensional resources in the dual offloading mode.
More specifically, our contributions can be summarized as follows:
(1)
Considering the 5G/Wi-Fi coexisting networks in the 60 GHz unlicensed band, we propose to use the Wi-Fi network to realize bidirectional data offloading when the number of users in the 5G network is saturated. Meanwhile, in order to improve the transmission performance of the Wi-Fi network, ANs are added to the heterogeneous network to alleviate the congestion of user data packets. Then, we formulate a throughput maximization problem, where spectrum, power allocation and user association are all considered.
(2)
To solve the formulated optimization problem, we propose a heuristic multi-dimensional resource allocation algorithm (MDRA). More specifically, the original problem is decomposed into three sub-problems and solved successively. With respect to user association, we use the RSSI as the standard. Furthermore, we choose the multi-stage matching algorithm to achieve one-to-one matching in a bipartite graph with different nodes for spectrum allocation. At last, the successive convex approximation algorithm is used in power allocation. The simulation results demonstrate that the proposed optimization algorithm can effectively increase the total capacity of the uplink coexisting networks.
The rest of this paper is organized as follows. In Section 2, the system model of the Wi-Fi and 5G heterogeneous network with traffic aggregation is presented and followed with the formulation of a throughput maximization problem. Then, a multi-dimensional resource allocation algorithm is proposed in Section 3. The performance of the proposed algorithm is evaluated by simulations in Section 4, and the conclusion is drawn in Section 5.

2. System Model

As shown in Figure 1, we assume that in the unlicensed 60  GHz band, where Wi-Fi and 5G coexist, there are I randomly distributed UEs waiting for data transmission service in an area with a cluster of hotspots. The user set is represented by I = 1 , , I . Each UE terminal is equipped with hardware components that can support a dual network connection. Therefore, it can establish a communication link through 5G or Wi-Fi networks. A central controller CC is deployed between heterogeneous networks to control the data offloading between 5G and Wi-Fi networks, while the UEs use directional beams to communicate with 5G gNB or Wi-Fi AP. In order to reduce the collision probability of user data package in the Wi-Fi network and the transmission latency of users, L ANs are equipped in the Wi-Fi network to aggregate data from multiple users. These users use frequency division multiple access technology to exchange data with ANs. Then, the ANs transmit data to the Wi-Fi AP using the CSMA/CA mechanism directly. All users share M orthogonal frequency bands M = 1 , , M . Each orthogonal frequency band contains K RB resources, K m = m 1 K + 1 , , m K , and the bandwidth of each RB is B.
Define the binary variables ω i , m to indicate whether the user i occupies the orthogonal frequency band m, which is shown as
ω i , m = 1 , UE i occupies band m 0 , others
Define the binary variable x i , l to indicate whether the user i chooses to offload traffic to the receiver l, which is shown as
x i , l = 1 , UE i chooses the receiver l 0 , others
All receivers are represented by the set L = 0 , 1 , , L . Considering bidirectional offloading, x i , 0 indicates whether user i chooses to offload traffic to the 5G base station, and x i , l , l 1 , , L indicates whether user i chooses to offload traffic to the l-th AN.
First, consider the uplink scenario on the 5G base station side. Assume that each user i is equipped with N M S transmitting antennas and M M S RF chains, and the analog precoding matrix is F R F i C N M S × M M S . The base station is equipped with N B S receiving antennas and M B S RF chains, and the analog merging matrix is marked as W G R F C N B S × M B S , where each column is W G R F i , representing the analog combining vector for the directional reception of user i’s signal. The baseband digital combining matrix is W G B B k C M B S × M B S , which represents the combining matrix for frequency domain signals on the RB resource k, and each column is marked as W G B B k , i . Therefore, the received signal y i m at the 5G base station can be expressed as
y i m = k K m ( W G B B k , i H W G R F i H H i , 0 k F R F i s i + j = 1 , j i I ω j , m W G B B k , j H W G R F j H H j , 0 k F R F j s j + W G B B k , i H W G R F i H n i k )
where s i is a useful signal, s j is the interference signal sent by other users, H i , 0 k and H j , 0 k are the channel gains from U E i to BS and U E j to BS on the RB resource k. n i k is the white Gaussian noise with zero mean and variance σ 2 . Considering the propagation characteristics of the 60 GHz millimeter wave, a broadband Saleh Valenzuela (eSV) channel model in the time domain is adopted, which is expressed as
h i , 0 [ d ] = N M S N B S ρ P L l = 1 L r l = 1 R l α r l p r c d T S τ l τ r l × a M S θ l ϑ r l a B S ϕ l φ r l
where L is the number of millimeter wave channel clusters, and each cluster has a delay factor of τ l R , and arrival and departure angles (AoA/AoD), expressed as θ l , ϕ l [ 0 , 2 π ] . R l is the number of rays of each cluster, and each ray r l has a delay factor of τ r l , and relative AoA/AoD shift ϑ r l , φ r l . α r l is the complex gain coefficient, ρ P L is the path loss, and p r c ( τ ) is the pulse shaping function with period T S . a M S ( θ ) and a B S ( ϕ ) represent the normalized receive and transmit array response vectors at AoAs and AoDs, respectively. ULA is adopted at the transmitter, and its corresponding array response vector can be expressed as
a U L A y ( φ ) = 1 N M S 1 , e j μ d A sin ( φ ) , , e j ( N 1 ) μ d A sin ( φ ) T
where μ = 2 π / λ , and d A is the distance between antenna units.
The frequency domain channel model can be obtained through FFT of Equation (6) as follows:
H i , 0 k = d = 0 D 1 h i , 0 [ d ] e j 2 π k M d
Thus, the SINR expression of the signal transmitted by user i at the 5G base station side in the band m on the RB resource k can be written as
S I N R i , 0 k = P i k W G B B k , i H W G R F i H H i , 0 k F R F i 2 2 j = 1 , j i I ω j , m P j k W G B B k , i H W G R F i H H j , 0 k F R F j 2 2 + σ 2 W G B B k , i H W G R F i H 2 2
Similarly, if the user offloads traffic to the l-th AN equipped with M A N RF chains, it can be expressed as
S I N R i , l k = P i k W B B l , k , i H W R F l , i H H i , l k F R F i 2 2 j = 1 , j i I ω j , m P j k W B B l , k , i H W R F l , i H H j , l k F R F j 2 2 + σ 2 W B B l , k , i H W R F l , i H 2 2
The rate of user i at AN l and the 5G base station can be respectively expressed as
R i , l = m M ω i , m k K m B log 2 1 + S I N R i , l k
and
R i , 0 = m M ω i , m k K m B log 2 1 + S I N R i , 0 k
Therefore, the sum rate of the whole network can be expressed as
R = i I l L x i , l R i , l
To ensure that the throughput on AN is less than the Wi-Fi saturation throughput, the following restriction should be satisfied, that is
i I l = 1 L x i , l R i , l R A P
where R A P is the saturation throughput of the Wi-Fi network, which is related to the average package size of the competing users, i.e., ANs. It can be expressed as
R A P = p S p t r E [ p ] 1 p t r T ε + p S p t r T S + p t r 1 p S T C
where T S indicates the average channel occupation period for a successful data transmission, T C is the average channel occupation period when a package collision occurs, and T ε is the average channel idle period. E [ p ] represents the average package size, and p S and p t r indicate the probability of no data transmission and at least one package being transmitted in a slot, respectively. According to the literature, these two parameters can be calculated by the following formula, that is,
p t r = 1 ( 1 τ ) L p S = L τ ( 1 τ ) L 1 / p t r
where τ means the transmission probability of each AN.
Based on the analysis above, a throughput maximization problem is formulated through the joint optimization of user association and spectrum allocation as well as power control. It is assumed that after the user association, the set of users at 5G base station is C, and the set of other users is W, where the set of users at each AN is W l . Therefore, the optimization problem is expressed as
P 1 : max x i , l , ω i , m , P i k R s . t . C 1 : x i , l , ω i , m { 0 , 1 } , i I , l L , m M C 2 : l L x i , l 1 , i I C 3 : m M ω i , m 1 , i I C 4 : l L x i , l R i , l R t h , i I C 5 : 0 < m M k K m P i k P max C , i C C 6 : 0 < m M k K m P i k P max W , i W C 7 : i W l = 1 L x i , l R i , l R A P C 8 : i I x i , 0 M B S C 9 : i I x i , l M A N , l { 1 , , L }
The optimization variables x i , l , ω i , m , P i k represent the user association, spectrum allocation and power allocation, respectively. R t h in the constraint, C4 is the minimum QoS requirement of user i, C2 is the user association constraint, which restricts each user to be dispatched to, at most, one AN node or 5G base station, C3 is the spectrum allocation constraint, which restricts each user to occupy only one band, C4 is the throughput constraint, which should meet its minimum QoS requirement, and C5 and C6 are power constraints. C7 is the constraint of the Wi-Fi network saturation throughput. C8 and C9 are the constraints of the maximum number of users under different receivers. Finally, to simplify the problem, we do not consider the optimization of beamforming, and the receiver and transmitter select the beam pair through traversal search based on AoD/AoA.
It can be seen that the above problem is a MINLP problem, which is difficult to solve directly. Therefore, a heuristic algorithm for multi-dimensional resource joint allocation named MDRA is proposed to improve the throughput of heterogeneous networks and reduce the service delay of users. Specifically, the algorithm decomposes the complex multi-dimensional resource allocation problem into multiple single dimension resource allocation sub-problems to successively solve the user association, spectrum allocation, and power allocation problems.

3. Data Aggregation-Based Multidimensional Resource Allocation Algorithm

In the unlicensed 60 GHz heterogeneous coexistence scenario, users will be affected by various environmental factors, such as changes in channel state information and interference from other users. Considering that CC can easily perceive changes in the environment by receiving feedback information, it is selected as the agent to execute the resource allocation algorithm and feed back the results to users. In this section, we will describe the details of the MDRA algorithm in detail. It is observed that P1 involves both continuous variables (e.g., P i k ) and binary variables (e.g., x i , l , ω i , m ), and this MINLP problem is usually difficult to solve. In addition, since the objective function and constraint C4 are non-convex, even if we relax the binary variables to continuous variables, the optimization problem is still non-convex. Therefore, in order to reduce the calculation complexity, we divide the optimization problem P1 into three sub-problems: user association sub-problem (P2), spectrum allocation sub-problem (P3), and power allocation sub-problem (P4).

3.1. User Association

We assume that each user occupies all bands, and the initial transmit power of each user is equally allocated to all RBs with one frequency band. Then P1 can be transformed into
P 2 : max x i , l R s . t . C 1 , C 2 , C 8 , C 9
Since the large-scale fading in the scene is one of the important factors affecting the received signal strength, RSSI should be the standard in determining user association. If there is only path loss without blockages in the scene, the distance between the user and 5G base station and ANs can be used as the reference to replace RSSI. Meanwhile, the constraint of RF chains’ number at the 5G base station and ANs should be taken into consideration in the association between users and networks. After user association, the user data allocated to ANs is finally transmitted to the Wi-Fi AP through the Wi-Fi network, and the rest of the user data are transmitted to the 5G base station.

3.2. Spectrum Allocation Algorithm

After solving P2 and the user association is given, we assume that the initial transmit power of each user is equally allocated to all RBs with one frequency band. Therefore, P1 can be transformed into
P 3 : max ω i , m R s . t . C 1 , C 3
However, P3 still belongs to integer programming. In order to solve P3 effectively, the Kuhn–Munkres (KM) algorithm is introduced for solving the matching problem of the bipartite graph. As shown in Figure 2, the KM algorithm is based on a bipartite graph, where the left vertex is X, and the right vertex is Y. For each pair of connection relations X i Y j , there is a weight w i j . The function of the KM algorithm is to find the maximum weight matching under complete matching. The limitation of the KM algorithm is that it is only suitable for the exact matching problem with the same left vertex number and right vertex number. However, since the number of frequency bands to be allocated in this scenario is far less than the number of users, the KM algorithm is not directly applicable. Therefore, this paper proposes a multi-stage matching method, which is applicable to any number of nodes.
As shown in Figure 3, the users in the scenario are divided into L groups according to the number of receivers. Take one group as an example, assuming that the number of users in this group is N l . Initially, the left vertex is represented by M vertices of the frequency band and N l M vertices of virtual frequency band, and the right vertex is N l vertices of the users. By implementing the multi-stage matching algorithm, the optimal frequency band can be matched for the N l users of this group. Analogously, the algorithm is executed among L groups in turn. Finally, we can obtain the result of the spectrum allocation that maximizes the system throughput.
More specifically, the multi-stage matching process is as follows: First, build a bipartite graph with M frequency bands and N users. Then build a weight matrix of Equation (18), where each value represents the total throughput of the current user and the users who have allocated the frequency band, and the weight of the virtual node in the weight matrix is set to 0. When the number of users is less than the number of frequency bands, add virtual nodes to the user set and execute the KM algorithm to get the allocation results of all users. When the number of users is greater than the number of bands, add virtual nodes to the band collection, and then execute the KM algorithm to reallocate resources to users matching the virtual band until all users are allocated to resources. To summarize, the detailed procedure of the proposed multi-stage matching scheme is given in Algorithm 1:
W N × N = w 1 , 1 w 1 , 2 w 1 , N w M , 1 w M , 2 w M , N 0 0 0 0 0 w N , N = 0
Algorithm 1 Frequency resource allocation algorithm (FA).
Output: Frequency band allocation matrix F 1 × I
Step 1: Initialization
     Initialize the weight matrix of cellular users and Wi-Fi users R l M × N l , l L , user      set of unassigned frequency band Ω l , l L . Ω 0 = C , other Ω l = W l .
Step 2: Cellular UEs allocation
1:
while Ω 0 do
2:
    Set row = 1;
3:
    for each i Ω 0  do
4:
        Set col = 1;
5:
        for each m M  do
6:
           Calculate the rate R of user i in frequency band m, and consider the interfer-
6:
             ence caused by users who have allocated this frequency band.
7:
              R 0 (row, col) = R ;
8:
             col = col + 1;
9:
        end for
10:
      row = row + 1;
11:
    end for
12:
    After filling in the weight matrix R 0 , expand it to the weight matrix R 0 v i r containing
12:
    virtual nodes, where the weight of virtual nodes is 0. Then, implement KM algo-
12:
    rithm on R 0 v i r , the matching ends when the non-virtual nodes are matched and
12:
    write the allocation result into F .
13:
    Update Ω 0 and remove the users who have allocated in this round.
14:
end while
Step 3: Wi-Fi UEs allocation
15:
for each l 1 , , L 1  do
16:
    Replace Ω 0 with Ω l , and the steps are similar to Step 2.
17:
end for
18:
Output frequency band allocation matrix F 1 × I .

3.3. Power Allocation Algorithm

After executing the frequency resource allocation algorithm, we can fix the variable ω i , m in P1 to 0 or 1, and remove the integer constraint. Define the set of all users in frequency band m as I m , where the set of CUEs (cell users) is C m and the set of WUEs (Wi-Fi users) is W m . The frequency band allocated to user i by spectrum allocation algorithm is m i M , the user association is x i L . Therefore, the data rate of user i in frequency band m i can be rewritten to
R i , x i = k K m i B log 2 1 + P i k H ˜ i , x i k j I m i , j i P j k H ˜ j , x i k + σ 2 W ˜ i , x i k
where H ˜ i , 0 k = W G B B k , i H W G R F i H H i , 0 k F R F i 2 2 , H ˜ i , l 0 k = W B B l , k , i H W R F l , i H H i , l k F R F i 2 2 , W ˜ i , 0 k = W G B B k , i H W G R F i H 2 2 , W ˜ i , l 0 k = W B B l , k , i H W R F l , i H 2 2 . The data rate of Wi-Fi users can be defined in a similar way. Therefore, the power allocation sub-problem can be expressed as
P 4 : max P i k i I R i , x i s . t . C ˜ 1 : R i , x i R t h , i I C ˜ 2 : i W R i , x i R A P C ˜ 3 : 0 < k K m i P i k P max C , i C C ˜ 4 : 0 < k K m i P i k P max W , i W
We note that P4 is still a NP hard non-convex optimization problem considering the coupling power allocation between users in general multi-user scenarios. To solve this problem, we can use the successive convex approximation (SCA) method to transform P4 into a series of convex problem (P5). Specifically, rewrite the objective function of P4 as follows:
R i , x i = k K m i B log 2 1 + P i k H ˜ i , x i k j I m i , j i P j k H ˜ j , x i k + σ 2 W ˜ i , x i k = g i ( p ) f i ( p )
g i ( p ) = k K m i B log 2 j I m i P j k H ˜ j , x i k + σ 2 W ˜ i , x i k
f i ( p ) = k K m i B log 2 j I m i , j i P j k H ˜ j , x i k + σ 2 W ˜ i , x i k
Therefore, P4 can be equivalently transformed into the following optimization problem:
P 5 : max p i I g i ( p ) f i ( p ) s . t . C ˜ 1 : g i ( p ) f i ( p ) R t h , i I C ˜ 2 : i W g i ( p ) f i ( p ) R A P C ˜ 3 , C ˜ 4 .
It can be observed that P5 is a standard D.C., which can be dealt with the first order convex approximation. Specifically, for constraint C ˜ 1 , the gradient of f i p at each p j k can be expressed as
f i ( p ) = 1 j I m i , j i P j k H ˜ j , x i k + σ 2 W ˜ i , x i k e i
The dimension of e i is {size of I m i × size of K m i }, e i j , k = H ˜ j , x i k ln 2 , j I m i , j i . Otherwise, e i j , k = 0 . Then, f i p can be expressed in terms of the first-order Taylor as
f i ( p ) f i p t + f i T p t p p t
for constraint C ˜ 2 , the gradient of g i p at each P j k can be expressed as
g i ( p ) = 1 j I m i P j k H ˜ j , x i k + σ 2 W ˜ i , x i k e i
The dimension of e i is {size of I m i × size of K m i }, e i j , k = H ˜ j , x i k ln 2 , j I m i . Therefore, P5 is further transformed to
P 6 : max p i I g i ( p ) f i p t f i T p t p p t s . t . C ^ 1 : g i ( p ) f i p t f i T p t p p t R t h , i I C ^ 2 : i W g i p t + g i T p t p p t f i ( p ) R A P C ˜ 3 , C ˜ 4 .
It is obvious that P6 is a standard convex optimization problem, which can be solved directly. Here, the SCA linear approximation method is used to obtain a series of feasible solutions, which gradually converge to the local optimal solution of P4. In Algorithm 2, we introduce the details of the overall power allocation scheme.
Algorithm 2 Power allocation algorithm (PA).
1:
Initialization
          
Set a small positive number first δ > 0 as the termination condition of iteration.
          
Set a result matrix of power allocation distribution as p t .
          
Initialize p 0 as the result of average distribution of users’ maximum power.
          
Calculate R 0 = i I g i p 0 f i p 0 , t = 0 .
2:
Repeat
3:
    Using (25) and (27) to compute f i p and g i p , respectively
4:
    Solve P6 to obtain the solution p
5:
    t = t + 1 , p t = p
6:
    Calculate R t = i I g i p t f i p t
7:
Until R t R t 1 δ

4. Simulation Results

This section presents simulation results to validate the performance of the proposed algorithm. In the simulation, we consider a 100 m × 60 m square area. The positions of 5G base station, Wi-Fi AP and ANs are shown in Figure 4, and users are randomly and uniformly scattered. To smooth the randomness of the simulation, the data are averaged over 1000 times’ simulations.
Table 1 summarizes the main notations and the default vales used in the simulation. Consider deploying a 5G base station and a Wi-Fi AP in the 60 GHz unlicensed frequency band, and two ANs in coverage of Wi-Fi AP to transmit data packets of multiple users. The users use FDMA to communicate with ANs, and the ANs uses the CSMA/CA mechanism to establish the communication link with Wi-Fi AP in a competitive way. It should be noticed that when the number of users is less than RF chains of the 5G base station, users tend to choose 5G network for data transmission. Considering that the 5G base station is equipped with N R F g N B = 8 RF chains, it means that the 5G base station can provide uplink services for eight users at the same time. In the simulation, the number of RF links of the base station and the ANs is 8. In order to obtain the variation trend of the system performance as the number of users increases, we assume that there are 1∼24 users waiting for data transmission in the heterogeneous network at the same time. In addition, considering the propagation characteristics of the millimeter wave, the channel is generated by the extended eSV model, and the transceiver adopt beamforming technology to establish communication links through narrow beams. The beams are generated by DFT codebook.
In order to evaluate the effectiveness of the proposed MDRA algorithm, the following algorithms are also simulated as baselines:
  • FAEP: The spectrum is allocated according to Algorithm 1, while the transmit power is equally allocated over all RBs in the band.
  • RAPA: The spectrum is randomly allocated to all the UEs, while the transmit power is allocated according to Algorithm 2.
  • RAEP: The spectrum is randomly allocated to all the UEs, and the transmit power is equally allocated over all RBs in the band.
In Figure 5, we compare the performance of the four resource allocation schemes in terms of the number of the UEs, where N t = 16 , N r = 64 . It is shown that the proposed MDRA always achieves the highest system throughput. The reason is that the multi-stage KM algorithm is used to achieve the best-matching throughput maximization, which can effectively increase the system sum rate when compared with the RAPA and RAEP schemes. On the other hand, the power allocation algorithm based on SCA can effectively allocate power to users sharing the same spectrum when compared with FAEP. Furthermore, as the number of users increases, the performance improvement of the two algorithms becomes more obvious. As shown in the figure, when the number of users is 20, the sum rate of FAEP is 16.3% higher than that of RAEP, while RAPA is 8.18% higher than RAEP, which can verify the effectiveness of Algorithms 1 and 2.
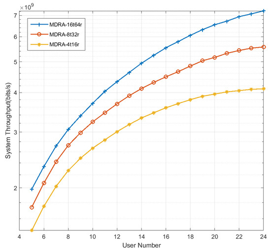
We further simulated the performance of Algorithm 1 under different antenna configurations in Figure 6. It can be shown that Algorithm 1 has similar performance improvement for system throughput under different antenna configurations, In addition, when there are few users, the performance improvement increases with the number of users. When the number of users is large, the performance improvement of the algorithm tends to be stable.
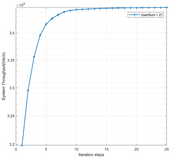
Figure 7 shows the convergence of Algorithm 2. The convergence threshold is set to 10 5 . As can be seen, the PA scheme converges to the optimal solution within about 20 iteration steps when there are 21 users in the scene.
In Figure 8, we compare the performance of Algorithm 2 with a different power constraint of WUEs, where the power constraint of WUEs can be 10 dBm or 20 dBm, and that of CUEs is maintained at 23 dBm. It can be seen that the system throughput increases as the power constraint of WUEs increase.
Figure 9 shows the performance of MDRA with a different number of N t and N r . It can be observed that the system throughput increases monotonically as the number of N t and N r increases. That is because as the number of N t and N r increases, the energy is more concentrated, and the interference between users is reduced.

5. Conclusions

This paper investigated the problem of maximizing the uplink system sum data rate in the hot-spot gathering scenario with 5G/Wi-Fi coexisting millimeter wave networks. We proposed a bidirectional data offloading scheme with multi-dimensional resource allocation in this study, which included spectrum and power allocation with user association. To fully improve the spectrum usage efficiency and system capacity, we allowed spectrum sharing by Wi-Fi users and cellular users. Additionally, in order to reduce the collision probability of transmitted packets, we deployed ANs to receive multi-user data in parallel. The formulated throughput maximization problem is a MINLP and so is difficult to solve. Thus, we decomposed it into three sub-problems. Specifically, we used RSSI as the standard in determining user association and designed a multi-stage matching algorithm for spectrum allocation and then proposed a successive convex approximation algorithm for power allocation. Simulations verified that the designed scheme could significantly improve the system sum data rate under the constraint of the QoS of UEs. We note that in this paper we only studied the spectrum allocation and power allocation, but the beam allocation can also be optimized. As a future work, we will look forward to investigating the beam allocation in this scenario.

Author Contributions

Conceptualization, Y.X.; methodology, Y.X. and F.Y.; software, Y.X.; validation, Y.X.; writing—original draft preparation, Y.X.; writing—review and editing, D.L. and F.Y.; supervision, D.L. All authors have read and agreed to the published version of the manuscript.

Funding

This work is supported in part by National Natural Science Foundation of China: No. 61971069, and 62271065, Beijing Natural Science Foundation: No. L202003, Project of China Railway Corporation: No. N2022G048, The Open Research Project of the State Key Laboratory of Media Convergence and Communication, Communication University of China: No. SKLMCC2021KF009, and The Fundamental Research Project of Science and Technology on Complex Electronic System Simulation Laboratory: DXZT-JC-ZZ-2020-011.

Data Availability Statement

Not applicable.

Conflicts of Interest

The authors declare no conflict of interest.

Abbreviations

The following abbreviations are used in this manuscript:
CSMA/CACarrier Sense Multiple Access with Collision Avoidance
MINLPMixed-Integer NonLinear Programming
QoSQuality of Service
AoA/AoDAngle of Arrival/Angle of Divergence

References

  1. Huang, T.; Yang, W.; Wu, J.; Ma, J.; Zhang, X.; Zhang, D. A Survey on Green 6G Network: Architecture and Technologies. IEEE Access 2019, 7, 175758–175768. [Google Scholar] [CrossRef]
  2. Lu, Y.; Zheng, X. 6G: A survey on technologies, scenarios, challenges, and the related issues. J. Ind. Inf. Integr. 2020, 19, 100158. [Google Scholar] [CrossRef]
  3. Busari, S.A.; Huq, K.M.S.; Mumtaz, S.; Dai, L.; Rodriguez, J. Millimeter-Wave Massive MIMO Communication for Future Wireless Systems: A Survey. IEEE Commun. Surv. Tutor. 2018, 20, 836–869. [Google Scholar] [CrossRef]
  4. Larsson, E.G.; Edfors, O.; Tufvesson, F.; Marzetta, T.L. Massive MIMO for next generation wireless systems. IEEE Commun. Mag. 2014, 52, 186–195. [Google Scholar] [CrossRef]
  5. Bhatia, V.; Swami, P.; Sharma, S.; Mitra, R. Non-orthogonal Multiple Access: An Enabler for Massive Connectivity. J. Indian Inst. Sci. 2020, 100, 337–348. [Google Scholar] [CrossRef]
  6. Kumar, M.H.; Sharma, S.; Thottappan, M.; Deka, K. Precoded Spatial Modulation-Aided Cooperative NOMA. IEEE Commun. Lett. 2021, 25, 2053–2057. [Google Scholar] [CrossRef]
  7. Niu, Y.; Li, Y.; Jin, D.; Su, L.; Vasilakos, A.V. A survey of millimeter wave communications (mmWave) for 5G: Opportunities and challenges. Wirel. Netw. 2015, 21, 2657–2676. [Google Scholar] [CrossRef]
  8. Chen, Z.; Han, C.; Wu, Y.; Li, L.; Huang, C.; Zhang, Z.; Wang, G.; Tong, W. Terahertz Wireless Communications for 2030 and Beyond: A Cutting-Edge Frontier. IEEE Commun. Mag. 2021, 59, 66–72. [Google Scholar] [CrossRef]
  9. Lagen, S.; Giupponi, L.; Goyal, S.; Patriciello, N.; Bojović, B.; Demir, A.; Beluri, M. New Radio Beam-Based Access to Unlicensed Spectrum: Design Challenges and Solutions. IEEE Commun. Surv. Tutor. 2020, 22, 8–37. [Google Scholar] [CrossRef]
  10. 3GPP. Study on NR-Based Access to Unlicensed Spectrum. Technical Report (TR) 38.889, 3rd Generation Partnership Project (3GPP), 2018. Version 16.0.0. Available online: https://www.atis.org/wp-content/uploads/3gpp-documents/Rel16/ATIS.3GPP.38.889.V1600.pdf (accessed on 28 December 2022).
  11. Choi, S.; Park, S. Co-existence analysis of duty cycle method with Wi-Fi in unlicensed bands. In Proceedings of the 2015 International Conference on Information and Communication Technology Convergence (ICTC), Jeju Island, Republic of Korea, 28–30 October 2015; pp. 894–897. [Google Scholar] [CrossRef]
  12. Falconetti, L.; Kang, D.H.; Karaki, R.; Obregon, E.; Cheng, J.F.; Koorapaty, H.; Mukherjee, A.; Falahati, S.; Larsson, D. Design and Evaluation of Licensed Assisted Access LTE in Unlicensed Spectrum. IEEE Wirel. Commun. 2016, 23, 24–30. [Google Scholar] [CrossRef]
  13. Liu, S.; Yin, R.; Yu, G. Hybrid Adaptive Channel Access for LTE-U Systems. IEEE Trans. Veh. Technol. 2019, 68, 9820–9832. [Google Scholar] [CrossRef]
  14. Bao, H.; Huo, Y.; Dong, X.; Huang, C. Joint Time and Power Allocation for 5G NR Unlicensed Systems. IEEE Trans. Wirel. Commun. 2021, 20, 6195–6209. [Google Scholar] [CrossRef]
  15. Zhang, Z.; Chen, J.; Dong, M.; Gao, Y.; Wang, J. Hybrid channel access mechanism based on coexistence scenario of NR-unlicensed. China Commun. 2020, 17, 49–62. [Google Scholar] [CrossRef]
  16. Wang, L.; Zeng, M.; Guo, J.; Cui, Q.; Fei, Z. Joint Bandwidth and Transmission Opportunity Allocation for the Coexistence Between NR-U and WiFi Systems in the Unlicensed Band. IEEE Trans. Veh. Technol. 2021, 70, 11881–11893. [Google Scholar] [CrossRef]
  17. Li, P.; Liu, D. Efficient beam selection and resource allocation scheme for WiFi and 5G coexistence at unlicensed millimetre-wave bands. IET Commun. 2020, 14, 2944–2952. [Google Scholar] [CrossRef]
  18. Kai, C.; Li, H.; Xu, L.; Li, Y.; Jiang, T. Joint Subcarrier Assignment With Power Allocation for Sum Rate Maximization of D2D Communications in Wireless Cellular Networks. IEEE Trans. Veh. Technol. 2019, 68, 4748–4759. [Google Scholar] [CrossRef]
  19. Girmay, G.G.; Pham, Q.V.; Hwang, W.J. Joint channel and Power Allocation for Device-to-Device Communication on Licensed and Unlicensed Band. IEEE Access 2019, 7, 22196–22205. [Google Scholar] [CrossRef]
  20. Orikumhi, I.; Kang, J.; Jwa, H.; Na, J.H.; Kim, S. SINR Maximization Beam Selection for mmWave Beamspace MIMO Systems. IEEE Access 2020, 8, 185688–185697. [Google Scholar] [CrossRef]
  21. Gao, X.; Dai, L.; Chen, Z.; Wang, Z.; Zhang, Z. Near-Optimal Beam Selection for Beamspace MmWave Massive MIMO Systems. IEEE Commun. Lett. 2016, 20, 1054–1057. [Google Scholar] [CrossRef]
  22. Feng, B.; Zhang, C.; Liu, J.; Fang, Y. D2D Communications-Assisted Traffic Offloading in Integrated Cellular-WiFi Networks. IEEE Internet Things J. 2019, 6, 8670–8680. [Google Scholar] [CrossRef]
Figure 1. Cellular–Wi-Fi heterogeneous network architecture.
Figure 1. Cellular–Wi-Fi heterogeneous network architecture.
Electronics 12 00959 g001
Figure 2. KM algorithm.
Figure 2. KM algorithm.
Electronics 12 00959 g002
Figure 3. Multi-stage KM algorithm.
Figure 3. Multi-stage KM algorithm.
Electronics 12 00959 g003
Figure 4. Simulation scene coordinate diagram.
Figure 4. Simulation scene coordinate diagram.
Electronics 12 00959 g004
Figure 5. Comparisons of the system throughput, where N t = 16, N r = 64.
Figure 5. Comparisons of the system throughput, where N t = 16, N r = 64.
Electronics 12 00959 g005
Figure 6. The performance of Algorithm 1 with different number of N t and N r .
Figure 6. The performance of Algorithm 1 with different number of N t and N r .
Electronics 12 00959 g006
Figure 7. Convergence behavior for the system throughput using Algorithm 2, where N t = 4, N r = 16.
Figure 7. Convergence behavior for the system throughput using Algorithm 2, where N t = 4, N r = 16.
Electronics 12 00959 g007
Figure 8. The performance of Algorithm 2 with different power constraint of WUEs.
Figure 8. The performance of Algorithm 2 with different power constraint of WUEs.
Electronics 12 00959 g008
Figure 9. The system throughput with different number of N t and N r .
Figure 9. The system throughput with different number of N t and N r .
Electronics 12 00959 g009
Table 1. Simulation parameters.
Table 1. Simulation parameters.
ParameterValue
Num. of gNB1
Num. of AP1
Num. of AN2
Num. of UEs (I)1∼24
Num. of antennas at gNB, AP, AN ( N r )16/32/64
Num. of antennas at UE ( N t )4/8/16
Bandwidth100 MHz
Noise power spectrum density−173 dBm/Hz
Power constraint of CUEs23 dBm
Power constraint of WUEs10 dBm
Channel modeleSV
CodebookDFT
Disclaimer/Publisher’s Note: The statements, opinions and data contained in all publications are solely those of the individual author(s) and contributor(s) and not of MDPI and/or the editor(s). MDPI and/or the editor(s) disclaim responsibility for any injury to people or property resulting from any ideas, methods, instructions or products referred to in the content.

Share and Cite

MDPI and ACS Style

Xie, Y.; Liu, D.; Yin, F. Joint Spectrum and Power Allocation with User Association for 5G/Wi-Fi Coexisting Millimeter Wave Networks. Electronics 2023, 12, 959. https://doi.org/10.3390/electronics12040959

AMA Style

Xie Y, Liu D, Yin F. Joint Spectrum and Power Allocation with User Association for 5G/Wi-Fi Coexisting Millimeter Wave Networks. Electronics. 2023; 12(4):959. https://doi.org/10.3390/electronics12040959

Chicago/Turabian Style

Xie, Yuxuan, Danpu Liu, and Fangfang Yin. 2023. "Joint Spectrum and Power Allocation with User Association for 5G/Wi-Fi Coexisting Millimeter Wave Networks" Electronics 12, no. 4: 959. https://doi.org/10.3390/electronics12040959

APA Style

Xie, Y., Liu, D., & Yin, F. (2023). Joint Spectrum and Power Allocation with User Association for 5G/Wi-Fi Coexisting Millimeter Wave Networks. Electronics, 12(4), 959. https://doi.org/10.3390/electronics12040959

Note that from the first issue of 2016, this journal uses article numbers instead of page numbers. See further details here.

Article Metrics

Back to TopTop