The Influence of the Skin Phenomenon on the Impedance of Thin Conductive Layers
Abstract
1. Introduction
- As a boundary method, it does not require discretization of the interiors of the areas considered in the system, but only of their edges, which ultimately leads to significantly smaller numerical models, as exemplified by the 3D SET simulator described in [28];
- Gives a solution in an analytical form that strictly satisfies a given differential equation; the approximation concerns only the fulfillment of the boundary conditions;
- Does not create additional difficulties when analyzing fields in open areas;
- Enables relatively easy estimation of the numerical error of the solution and obtaining more and more accurate solutions in subsequent iteration steps.
2. Formulating the Issue
- This way, computational complications caused by geometric peculiarities that appear in the case of a rectangular cross-section path (sharp edges) are avoided;
- Assuming a = 0 in the model in Figure 1, the cross-section of the path becomes a circle, which makes it possible to verify the correctness of numerical calculations by comparing them with a known analytical solution;
- It was found that due to the very small thickness of the layers sputtered with PVD technology compared to their other dimensions, this shape should not have a significant impact on their conductive properties.
- Material parameters μ, ε, γ of both areas of the system are constant;
- The current density vector is parallel to the wire axis (OZ) and varies sinusoidally in time;
- Maxwell shift currents in the conducting area ΩII are negligibly small;
- There are no unbalanced electric charges in the system.
3. Solution Method
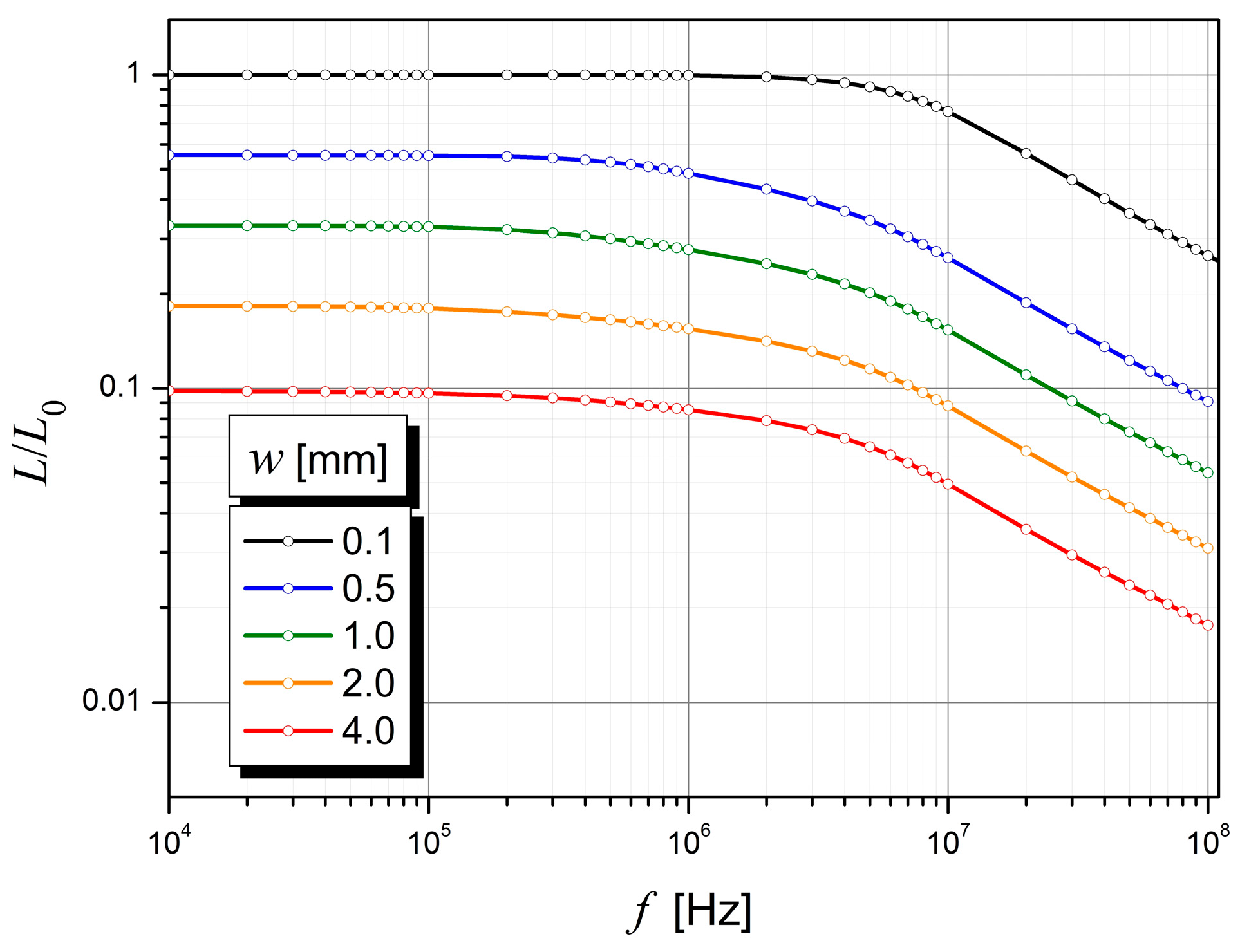
4. Calculation Results
5. Conclusions
- The correctness and effectiveness of the fundamental solutions method for the analysis of harmonics of electromagnetic fields in systems containing thin conductive layers were fully confirmed.
- The created numerical program allows us to determine all important parameters of the transmission line determining its conductive properties, such as resistance, inductance and impedance in a wide frequency range.
- In the high frequency range (above 10 MHz), the dependence of resistance and impedance on frequency on a double-logarithmic scale is linear, and the slope of these graphs does not depend (to a noticeable extent) on the path width. It means that in this range, the dependence of resistance and impedance on frequency can be well approximated by a power function with a constant exponent.
- For paths whose width is at least several times greater than their thickness, the dependence of the shift angle between current and voltage on frequency depends very little on the path width.
Author Contributions
Funding
Institutional Review Board Statement
Informed Consent Statement
Data Availability Statement
Conflicts of Interest
References
- Valero, E.; Adán, A.; Cerrada, C. Evolution of RFID Applications in Construction: A Literature Review. Sensors 2015, 15, 15988–16008. [Google Scholar] [CrossRef]
- Lee, T.Y.; Ahmad, F.; Rahman, M.A.A.; Awang, M. RFID-cloud construction equipment management system framework: Current issues and user needs. Mater. Today Proc. 2022. [Google Scholar] [CrossRef]
- Korzeniewska, E.; Szczęsny, A.; Lipiński, P.; Dróżdż, T.; Kiełbasa, P.; Miernik, A. Prototype of a Textronic Sensor Created with a Physical Vacuum Deposition Process for Staphylococcus aureus Detection. Sensors 2021, 21, 183. [Google Scholar] [CrossRef]
- Communications of Huawei Research. September 2022. Available online: www-file.huawei.com/-/media/corp2020/pdf/publications/huawei-research/2022/huawei-research-issue2-en.pdf (accessed on 18 August 2023).
- Pandiyan, A.; Veeramuthu, L.; Yan, Z.-L.; Lin, Y.-C.; Tsai, C.-H.; Chang, S.-T.; Chiang, W.-H.; Xu, S.; Zhou, T.; Kuo, C.-C. A comprehensive review on perovskite and its functional composites in smart textiles: Progress, challenges, opportunities, and future directions. Prog. Mater. Sci. 2023, 140, 101206. [Google Scholar] [CrossRef]
- Goyal, K.; Borkholder, D.A.; Day, S.W. Dependence of Skin-Electrode Contact Impedance on Material and Skin Hydration. Sensors 2022, 22, 8510. [Google Scholar] [CrossRef]
- Available online: www.huawei.com/en/huaweitech/future-technologies/6g-isac-ow (accessed on 18 August 2023).
- Pawłowski, S.; Plewako, J.; Korzeniewska, E. Analysis of flow field distribution in a thin conductive layer with an elliptical defect. Prze. Elektrotech. 2020, 96, 234–237. [Google Scholar] [CrossRef]
- Miśkiewicz, P.; Frydrych, I.; Cichocka, A. Application of Physical Vapor Deposition in Textile Industry. Autex Res. J. 2022, 22, 42–54. [Google Scholar] [CrossRef]
- Hong, H.C.; Ryu, J.I.; Lee, H.C. Recent Understanding in the Chemical Vapor Deposition of Multilayer Graphene: Controlling Uniformity, Thickness, and Stacking Configuration. Nanomaterials 2023, 13, 2217. [Google Scholar] [CrossRef]
- Białostocka, A.M. The electrochemical copper structure forming in the presence of the magnetic field. Prze. Elektrotech. 2013, 89, 254–256. [Google Scholar]
- Yin, Y. Advances and perspectives of spin coating techniques. Appl. Comput. Eng. 2023, 7, 291–301. [Google Scholar] [CrossRef]
- Wang, Z.; Bokov, D.; Turki Jalil, A.; Chupradit, S.; Suksatan, W.; Javed Ansari, M.; Shewael, I.H.; Valiev, G.H.; Kianfar, E. Nanomaterial by Sol-Gel Method: Synthesis and Application. Adv. Mater. Sci. Eng. 2021, 2021, 5102014. [Google Scholar] [CrossRef]
- Skolik, M.; Karasiński, P. Single- and double-layer antireflective structures fabricated via sol-gel method for applications in silicon solar cells. Prze. Elektrotech. 2017, 93, 8. [Google Scholar] [CrossRef][Green Version]
- Karasinski, P. Dielectric layers fabricated via sol-gel method and dip-coating technique for applications in optoelectronics. Prze. Elektrotech. 2019, 95. [Google Scholar] [CrossRef]
- Kisała, J. Influence of an additional magnetic field during magnetron sputtering on the GMR effect in thin-film structures. Prze. Elektrotech. 2022, 98, 192–195. [Google Scholar] [CrossRef]
- Jankowski-Mihułowicz, P.; Tomaszewski, G.; Węglarski, M. Flexible antenna design for semi-passive HF RFID transponder in ink-jet technology. Prze. Elektrotech. 2015, 91, 1–5. [Google Scholar] [CrossRef]
- Chung, S.; Cho, K.; Lee, T. Recent Progress in Inkjet-Printed Thin-Film Transistors. Adv. Sci. 2019, 6, 1801445. [Google Scholar] [CrossRef]
- Goh, G.L.; Tay, M.F.; Lee, J.M.; Ho, J.S.; Sim, L.N.; Yeong, W.Y.; Chong, T.H. Potential of Printed Electrodes for Electrochemical Impedance Spectroscopy (EIS): Toward Membrane Fouling Detection. Adv. Electron. Mater. 2021, 7, 23. [Google Scholar] [CrossRef]
- Fastier-Wooller, J.W.; Dau, V.T.; Dinh, T.; Tran, C.-D.; Dao, D.V. Pressure and temperature sensitive e-skin for in situ robotic applications. Mater. Des. 2021, 208, 109886. [Google Scholar] [CrossRef]
- Lin, Z.; Huang, Y.; Duan, X. Van der Waals thin-film electronics. Nat. Electron. 2019, 2, 378–388. [Google Scholar] [CrossRef]
- Tomczyk, M.; Kubik, P.; Waliszewski, W. Optimization of the Ablative Laser Cutting of Shadow Mask for Organic FET Electrode Fabrication. Electronics 2020, 9, 2184. [Google Scholar] [CrossRef]
- Korzeniewska, E.; Sekulska-Nalewajko, J.; Gocławski, J.; Rosik, R.; Szczęsny, A.; Starowicz, Z. Surface Morphology Analysis of Metallic Structures Formed on Flexible Textile Composite Substrates. Sensors 2020, 20, 2128. [Google Scholar] [CrossRef]
- Kłosowski, G.; Rymarczyk, T.; Niderla, K.; Kulisz, M.; Skowron, Ł.; Soleimani, M. Using an LSTM network to monitor industrial reactors using electrical capacitance and impedance tomography—A hybrid approach. Eksploat. I Niezawodn. Maint. Reliab. 2023, 25, 11. [Google Scholar] [CrossRef]
- Młot, A.; Korkosz, M.; Grodzki, P.; Łukaniszyn, M. Analysis of proximity effect and skin effect on copper loss in armature. Prze. Elektrotech. 2013, 89, 44–48. [Google Scholar] [CrossRef]
- Asada, T.; Baba, Y.; Nagaoka, N.; Ametani, A.; Mahseredjian, J.; Yamamoto, K. A Study on Basic Characteristics of the Proximity Effect on Conductors. IEEE Trans. Power Deliv. 2017, 32, 1790–1799. [Google Scholar] [CrossRef]
- Kupradze, V.D.; Aleksidze, M.A. Approximate method of solving certain boundary-value problems. Soobsc. Akad. Nauk Gruzin. SSR 1963, 30, 529–536. (In Russian) [Google Scholar]
- Mączka, M.; Hałdaś, G. Three dimensional simulator of the single electron transistor based on ISIS structure. Phys. E Low-Dimens. Syst. Nanostructures 2012, 44, 1202–1208. [Google Scholar] [CrossRef]
- Pawłowski, S.; Plewako, J.; Grodzki, P. Efficiency comparison of the fundamental solutions iterative method and finite element method in the analysis of electrostatic problems. Prze. Elektrotech. 2017, 93, 12. [Google Scholar] [CrossRef]
- Jackson, J.D. Classical Electrodynamics; OCLC 925677836; John Wiley & Sons: New York, NY, USA, 1999; ISBN 978-0-471-30932-1. [Google Scholar]
- Gradshteyn, I.S.; Ryzhik, I.M. Table of Integrals, Series, and Products; Elsevier: Amsterdam, The Netherlands, 2007; ISBN 13-978-0-12-373637-6. [Google Scholar]
- Mączka, M. Effective Simulations of Electronic Transport in 2D Structures Based on Semiconductor Superlattice Infinite Model. Electronics 2020, 9, 1845. [Google Scholar] [CrossRef]
- Mączka, M.; Hałdaś, G. Calculations of transport parameters in semiconductor superlattices based on the Green’s functions method in different Hamiltonian representations. Bull. Pol. Acad. Sci. Tech. Sci. 2019, 67, 3. [Google Scholar] [CrossRef]
- Pawłowski, S. Applicability assessment for simplified formulas to compute surface impedance at screened surfaces. Prze. Elektrotech. 2015, 1, 184–186. [Google Scholar] [CrossRef]













Disclaimer/Publisher’s Note: The statements, opinions and data contained in all publications are solely those of the individual author(s) and contributor(s) and not of MDPI and/or the editor(s). MDPI and/or the editor(s) disclaim responsibility for any injury to people or property resulting from any ideas, methods, instructions or products referred to in the content. |
© 2023 by the authors. Licensee MDPI, Basel, Switzerland. This article is an open access article distributed under the terms and conditions of the Creative Commons Attribution (CC BY) license (https://creativecommons.org/licenses/by/4.0/).
Share and Cite
Pawłowski, S.; Plewako, J.; Korzeniewska, E.; Sobczyński, D. The Influence of the Skin Phenomenon on the Impedance of Thin Conductive Layers. Electronics 2023, 12, 4834. https://doi.org/10.3390/electronics12234834
Pawłowski S, Plewako J, Korzeniewska E, Sobczyński D. The Influence of the Skin Phenomenon on the Impedance of Thin Conductive Layers. Electronics. 2023; 12(23):4834. https://doi.org/10.3390/electronics12234834
Chicago/Turabian StylePawłowski, Stanisław, Jolanta Plewako, Ewa Korzeniewska, and Dariusz Sobczyński. 2023. "The Influence of the Skin Phenomenon on the Impedance of Thin Conductive Layers" Electronics 12, no. 23: 4834. https://doi.org/10.3390/electronics12234834
APA StylePawłowski, S., Plewako, J., Korzeniewska, E., & Sobczyński, D. (2023). The Influence of the Skin Phenomenon on the Impedance of Thin Conductive Layers. Electronics, 12(23), 4834. https://doi.org/10.3390/electronics12234834

