A Fine-Grained Approach for EEG-Based Emotion Recognition Using Clustering and Hybrid Deep Neural Networks
Abstract
:1. Introduction
- (1)
- We propose a new method for building emotion classification labels. In contrast to other research works, instead of only using EEG signal data and two emotion labels for binary classification, our method use linguistic resource and DBSCAN clustering can achieve finer-grained emotion recognition, and the method can recognize six categories of emotions.
- (2)
- We organize the three-dimensional feature structure of emotional EEG signals and combine the proposed new method of building emotion classification labels with the hybrid deep learning model CNN and LSTM. The advantage of the model is that it can learn frequency band, spatial and temporal features in the three-dimensional feature structure. Experimental results show that we achieve state-of-the-art performance on the DEAP dataset.
2. Related Work
2.1. Emotion Related Feature Extraction
2.2. Emotion Recognition Modeling
2.3. Emotion Classification Basis
3. Method
3.1. EEG Emotion Recognition Pipeline
3.2. Pre-Processing
3.3. Build Emotion Classification Labels
3.4. Feature Extraction and Emotion Classifier
3.4.1. Feature Organization
3.4.2. Continuous Convolutional Netural Network
3.4.3. LSTM Recurrent Neural Networks
4. Experiment
4.1. Experiment Setup and Datasets
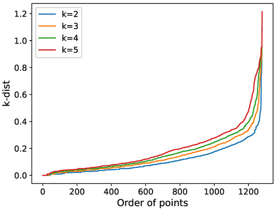
4.2. EEG Label Processing Based on DBSCAN
4.3. Emotion Classification Performance
5. Conclusions
Author Contributions
Funding
Data Availability Statement
Conflicts of Interest
References
- Goshvarpour, A.; Goshvarpour, A. EEG spectral powers and source localization in depressing, sad, and fun music videos focusing on gender differences. Cogn. Neurodyn. 2019, 13, 161–173. [Google Scholar] [CrossRef] [PubMed]
- Fiorini, L.; Mancioppi, G.; Semeraro, F.; Fujita, H.; Cavallo, F. Unsupervised emotional state classification through physiological parameters for social robotics applications. Knowl. Based Syst. 2020, 190, 105217. [Google Scholar] [CrossRef]
- Zeng, H.; Yang, C.; Dai, G.; Qin, F.; Zhang, J.; Kong, W. EEG classification of driver mental states by deep learning. Cogn. Neurodyn. 2018, 12, 597–606. [Google Scholar] [CrossRef] [PubMed]
- Dabas, H.; Sethi, C.; Dua, C.; Dalawat, M.; Sethia, D. Emotion classification using EEG signals. In Proceedings of the 2018 2nd International Conference on Computer Science and Artificial Intelligence, Shenzhen, China, 8–10 December 2018; pp. 380–384. [Google Scholar]
- Russell, J.A. Affective space is bipolar. J. Personal. Soc. Psychol. 1979, 37, 345. [Google Scholar] [CrossRef]
- Koelstra, S.; Muhl, C.; Soleymani, M.; Lee, J.S.; Yazdani, A.; Ebrahimi, T.; Pun, T.; Nijholt, A.; Patras, I. Deap: A database for emotion analysis; using physiological signals. IEEE Trans. Affect. Comput. 2011, 3, 18–31. [Google Scholar] [CrossRef]
- Zheng, W.L.; Lu, B.L. Investigating critical frequency bands and channels for EEG-based emotion recognition with deep neural networks. IEEE Trans. Auton. Ment. Dev. 2015, 7, 162–175. [Google Scholar] [CrossRef]
- Strapparava, C.; Valitutti, A. WordNet Affect: An Affective Extension of WordNet. In Proceedings of the International Conference on Language Resources and Evaluation, Lisbon, Portugal, 26–28 May 2004. [Google Scholar]
- Warriner, A.B.; Kuperman, V.; Brysbaert, M. Norms of valence, arousal, and dominance for 13,915 English lemmas. Behav. Res. Methods 2013, 45, 1191–1207. [Google Scholar] [CrossRef]
- Sammler, D.; Grigutsch, M.; Fritz, T.; Koelsch, S. Music and emotion: Electrophysiological correlates of the processing of pleasant and unpleasant music. Psychophysiology 2007, 44, 293–304. [Google Scholar] [CrossRef]
- Aftanas, L.; Reva, N.; Savotina, L.; Makhnev, V. Neurophysiological correlates of induced discrete emotions in humans: An individually oriented analysis. Neurosci. Behav. Physiol. 2006, 36, 119–130. [Google Scholar] [CrossRef]
- Dadebayev, D.; Goh, W.W.; Tan, E.X. EEG-based emotion recognition: Review of commercial EEG devices and machine learning techniques. J. King Saud-Univ. Inf. Sci. 2022, 34, 4385–4401. [Google Scholar] [CrossRef]
- Zheng, W.L.; Zhu, J.Y.; Lu, B.L. Identifying stable patterns over time for emotion recognition from EEG. IEEE Trans. Affect. Comput. 2017, 10, 417–429. [Google Scholar] [CrossRef]
- Luo, Y.; Fu, Q.; Xie, J.; Qin, Y.; Wu, G.; Liu, J.; Jiang, F.; Cao, Y.; Ding, X. EEG-based emotion classification using spiking neural networks. IEEE Access 2020, 8, 46007–46016. [Google Scholar] [CrossRef]
- Yoon, H.J.; Chung, S.Y. EEG-based emotion estimation using Bayesian weighted-log-posterior function and perceptron convergence algorithm. Comput. Biol. Med. 2013, 43, 2230–2237. [Google Scholar] [CrossRef]
- Atkinson, J.; Campos, D. Improving BCI-based emotion recognition by combining EEG feature selection and kernel classifiers. Expert Syst. Appl. 2016, 47, 35–41. [Google Scholar] [CrossRef]
- Pane, E.S.; Wibawa, A.D.; Purnomo, M.H. Improving the accuracy of EEG emotion recognition by combining valence lateralization and ensemble learning with tuning parameters. Cogn. Process. 2019, 20, 405–417. [Google Scholar] [CrossRef]
- Craik, A.; He, Y.; Contreras-Vidal, J.L. Deep learning for electroencephalogram (EEG) classification tasks: A review. J. Neural Eng. 2019, 16, 031001. [Google Scholar] [CrossRef] [PubMed]
- Topic, A.; Russo, M. Emotion recognition based on EEG feature maps through deep learning network. Eng. Sci. Technol. Int. J. 2021, 24, 1442–1454. [Google Scholar] [CrossRef]
- Chen, J.; Zhang, P.; Mao, Z.; Huang, Y.; Jiang, D.; Zhang, Y. Accurate EEG-based emotion recognition on combined features using deep convolutional neural networks. IEEE Access 2019, 7, 44317–44328. [Google Scholar] [CrossRef]
- Sharma, R.; Pachori, R.B.; Sircar, P. Automated emotion recognition based on higher order statistics and deep learning algorithm. Biomed. Signal Process. Control. 2020, 58, 101867. [Google Scholar] [CrossRef]
- Li, C.; Bao, Z.; Li, L.; Zhao, Z. Exploring temporal representations by leveraging attention-based bidirectional LSTM-RNNs for multi-modal emotion recognition. Inf. Process. Manag. 2020, 57, 102185. [Google Scholar] [CrossRef]
- Li, R.; Ren, C.; Zhang, X.; Hu, B. A novel ensemble learning method using multiple objective particle swarm optimization for subject-independent EEG-based emotion recognition. Comput. Biol. Med. 2022, 140, 105080. [Google Scholar] [CrossRef] [PubMed]
- Hasan, M.; Rokhshana-Nishat-Anzum; Yasmin, S.; Pias, T.S. Fine-grained emotion recognition from eeg signal using fast fourier transformation and cnn. In Proceedings of the 2021 Joint 10th International Conference on Informatics, Electronics & Vision (ICIEV) and 2021 5th International Conference on Imaging, Vision & Pattern Recognition (icIVPR), Kitakyushu, Japan, 16–20 August 2021; pp. 1–9. [Google Scholar]
- Bălan, O.; Moise, G.; Petrescu, L.; Moldoveanu, A.; Leordeanu, M.; Moldoveanu, F. Emotion classification based on biophysical signals and machine learning techniques. Symmetry 2019, 12, 21. [Google Scholar] [CrossRef]
- Oostenveld, R.; Praamstra, P. The five percent electrode system for high-resolution EEG and ERP measurements. Clin. Neurophysiol. 2001, 112, 713–719. [Google Scholar] [CrossRef] [PubMed]
- Ekman, P.; Sorenson, E.R.; Friesen, W.V. Pan-cultural elements in facial displays of emotion. Science 1969, 164, 86–88. [Google Scholar] [CrossRef] [PubMed]
- O’Shea, K.; Nash, R. An introduction to convolutional neural networks. arXiv 2015, arXiv:1511.08458. [Google Scholar]
- Hochreiter, S.; Schmidhuber, J. Long short-term memory. Neural Comput. 1997, 9, 1735–1780. [Google Scholar] [CrossRef] [PubMed]
- Morris, J.D. Observations: SAM: The Self-Assessment Manikin; an efficient cross-cultural measurement of emotional response. J. Advert. Res. 1995, 35, 63–68. [Google Scholar]
- Ester, M.; Kriegel, H.P.; Sander, J.; Xu, X. A Density-Based Algorithm for Discovering Clusters in Large Spatial Databases with Noise. In Proceedings of the Second International Conference on Knowledge Discovery and Data Mining, KDD’96, Portland, OR, USA, 2–4 August 1996; AAAI Press: Portland, OR, USA, 1996; pp. 226–231. [Google Scholar]
- Yu, G.; Cai, Z.; Wang, S.; Chen, H.; Liu, F.; Liu, A. Unsupervised online anomaly detection with parameter adaptation for KPI abrupt changes. IEEE Trans. Netw. Serv. Manag. 2019, 17, 1294–1308. [Google Scholar] [CrossRef]








| EMOTION(a-label) | Category |
|---|---|
| positive | joy, love, affection, liking, enthusiasm, gratitude, self-pride, levity, calmness, fearlessness, positive-expectation, positive-fear, positive-hope |
| negative | negative-fear, sadness, general-dislike, ingratitude, shame, compassion, humility, despair, anxiety, daze |
| neutral | apathy, neutral-unconcern |
| ambiguous | thing, gravity, surprise, ambiguous-agitation, ambiguous-fear, pensiveness, ambiguous-expectation |
| k | Eps |
|---|---|
| 2 | 0.32 |
| 3 | 0.33 |
| 4 | 0.34 |
| 5 | 0.4 |
| Authors | Classification Methods | Emotion Classification Basis | Acc (%) |
|---|---|---|---|
| Pane et al. [17] | RF | happy, sad, angry, relaxed | 75.6 |
| Sharma et al. [21] | LSTM | HAHV, HALV, LAHV, LALV 2class/Arousal, 2class/Valence | 4 classes: 82.01 Arousal: 85.21 Valence: 84.16 |
| Russo [19] | CNN+SVM | 2class/Arousal, 2class/Valence | Arousal: 77.7 Valence: 76.6 |
| Chen et al. [20] | CVCNN | 2class/Arousal, 2class/Valence | Arousal: 88.51 Valence: 84.02 |
| Our method | CNN+LSTM | joy, liking, fear, sadness, dislike, despair | 92.98 |
Disclaimer/Publisher’s Note: The statements, opinions and data contained in all publications are solely those of the individual author(s) and contributor(s) and not of MDPI and/or the editor(s). MDPI and/or the editor(s) disclaim responsibility for any injury to people or property resulting from any ideas, methods, instructions or products referred to in the content. |
© 2023 by the authors. Licensee MDPI, Basel, Switzerland. This article is an open access article distributed under the terms and conditions of the Creative Commons Attribution (CC BY) license (https://creativecommons.org/licenses/by/4.0/).
Share and Cite
Zhang, L.; Xia, B.; Wang, Y.; Zhang, W.; Han, Y. A Fine-Grained Approach for EEG-Based Emotion Recognition Using Clustering and Hybrid Deep Neural Networks. Electronics 2023, 12, 4717. https://doi.org/10.3390/electronics12234717
Zhang L, Xia B, Wang Y, Zhang W, Han Y. A Fine-Grained Approach for EEG-Based Emotion Recognition Using Clustering and Hybrid Deep Neural Networks. Electronics. 2023; 12(23):4717. https://doi.org/10.3390/electronics12234717
Chicago/Turabian StyleZhang, Liumei, Bowen Xia, Yichuan Wang, Wei Zhang, and Yu Han. 2023. "A Fine-Grained Approach for EEG-Based Emotion Recognition Using Clustering and Hybrid Deep Neural Networks" Electronics 12, no. 23: 4717. https://doi.org/10.3390/electronics12234717
APA StyleZhang, L., Xia, B., Wang, Y., Zhang, W., & Han, Y. (2023). A Fine-Grained Approach for EEG-Based Emotion Recognition Using Clustering and Hybrid Deep Neural Networks. Electronics, 12(23), 4717. https://doi.org/10.3390/electronics12234717

