Analyzing Factors Affecting Micro-Mobility and Predicting Micro-Mobility Demand Using Ensemble Voting Regressor
Abstract
:1. Introduction
- This study analyzes the factors influencing micro-mobility rental, predicts rental demand using machine learning models, and aims to improve the quality of the rental services provided by companies.
- It compares the performance of various models and presents the model with superior performance. It also proposes an ensemble model to enhance prediction accuracy.
- By implementing the proposed system, micro-mobility service companies can effectively distribute micro-mobility devices in response to user demand, reducing inconvenience. On days with low predicted demand, unrented micro-mobility devices and management resources can be efficiently allocated.
2. Related Work
3. Methodology
3.1. Data Description
3.2. Data Preprocessing
3.3. Machine Learning Model Description
3.3.1. Extra Trees Regressor
3.3.2. LightGBM Regressor
3.3.3. CatBoost Regressor
3.3.4. Voting Regressor
4. Results
4.1. System Environment
4.2. Performance Evaluation Indicators
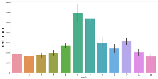
4.3. Data Analysis and Visualization
4.4. Separation of Training Sets and Test Sets
4.5. Machine Learning and Testing Results
5. Discussion and Conclusions
Author Contributions
Funding
Conflicts of Interest
Abbreviations
| RF | Random forest |
| CNN-LSTM | Convolutional neural network–long short-term memory |
| GBM | Gradient-boosting machine |
| SVM | Support vector machine |
| ETR | Extra tree regressor |
| XGBoost | Extreme gradient boosting |
| GPS | Global Positioning System |
| KRW | Korean Won |
References
- Kang, S.; Hyun, B. A study on Key Factors of Delivery Service Quality Affecting Online Shopping Mall Loyalty: Focusing on Coupang’s Rocket Delivery. Korean Mark. Rev. 2021, 36, 49–77. [Google Scholar]
- Park, J.; Lee, T. Obstacles that the Development of the Courier Service in Relation to Delivery War of Social Commerce with a Case Study on Rocket Delivery of Coupang. Korean Manag. Consult. Rev. 2016, 16, 173–184. [Google Scholar]
- [Delivery War of Money] Coupang Shakes the Plate…Dreaming of a Korean Version of Amazon. 2020. Available online: https://www.inews24.com/view/1313451 (accessed on 4 November 2020).
- Shibayama, T.; Emberger, G. New mobility services: Taxonomy, innovation and the role of ICTs. Transp. Policy 2020, 98, 79–90. [Google Scholar] [CrossRef]
- Abduljabbar, R.L.; Liyanage, S.; Dia, H. The role of micro-mobility in shaping sustainable cities: A systematic literature review. Transp. Res. Part Transp. Environ. 2021, 92, 102734. [Google Scholar] [CrossRef]
- Bozzi, A.D.; Aguilera, A. Shared E-scooters: A review of uses, health and environmental impacts, and policy implications of a new micro-mobility service. Sustainability 2021, 13, 8676. [Google Scholar] [CrossRef]
- Personal Mobility…What Is the Homework for ‘Eco-Friendly Transportation’? 2023. Available online: http://www.greenpostkorea.co.kr/news/articleView.html?idxno=129834 (accessed on 3 August 2021).
- Khan, P.W.; Byun, Y.C.; Lee, S.J.; Park, N. Machine learning based hybrid system for imputation and efficient energy demand forecasting. Energies 2020, 13, 2681. [Google Scholar]
- Galatoulas, N.F.; Genikomsakis, K.N.; Ioakimidis, C.S. Analysis of potential demand and costs for the business development of an electric vehicle sharing service. Sustain. Cities Soc. 2018, 42, 148–161. [Google Scholar] [CrossRef]
- Ai, Y.; Li, Z.; Gan, M.; Zhang, Y.; Yu, D.; Chen, W.; Ju, Y. A deep learning approach on short-term spatiotemporal distribution forecasting of dockless bike-sharing system. Neural Comput. Appl. 2019, 31, 1665–1677. [Google Scholar] [CrossRef]
- Jafari, S.; Byun, Y.C. Prediction of the Battery State Using the Digital Twin Framework Based on the Battery Management System. IEEE Access 2022, 10, 124685–124696. [Google Scholar] [CrossRef]
- El-Assi, W.; Salah Mahmoud, M.; Nurul Habib, K. Effects of built environment and weather on bike sharing demand: A station level analysis of commercial bike sharing in Toronto. Transportation 2017, 44, 589–613. [Google Scholar] [CrossRef]
- Mathew, J.K.; Liu, M.; Bullock, D.M. Impact of weather on shared electric scooter utilization. In Proceedings of the 2019 IEEE Intelligent Transportation Systems Conference (ITSC), Auckland, New Zealand, 27–30 October 2019; pp. 4512–4516. [Google Scholar]
- Tin Tin, S.; Woodward, A.; Robinson, E.; Ameratunga, S. Temporal, seasonal and weather effects on cycle volume: An ecological study. Environ. Health 2012, 11, 1–9. [Google Scholar] [CrossRef] [PubMed]
- Brandenburg, C.; Matzarakis, A.; Arnberger, A. Weather and cycling—A first approach to the effects of weather conditions on cycling. Meteorol. Appl. J. Forecast. Pract. Appl. Train. Tech. Model. 2007, 14, 61–67. [Google Scholar] [CrossRef]
- Chen, L.; Zhang, D.; Wang, L.; Yang, D.; Ma, X.; Li, S.; Wu, Z.; Pan, G.; Nguyen, T.M.T.; Jakubowicz, J. Dynamic cluster-based over-demand prediction in bike sharing systems. In Proceedings of the 2016 ACM International Joint Conference on Pervasive and Ubiquitous Computing, Heidelberg, Germany, 12–16 September 2016; pp. 841–852. [Google Scholar]
- Gebhart, K.; Noland, R.B. The impact of weather conditions on bikeshare trips in Washington, DC. Transportation 2014, 41, 1205–1225. [Google Scholar] [CrossRef]
- Yang, Z.; Hu, J.; Shu, Y.; Cheng, P.; Chen, J.; Moscibroda, T. Mobility modeling and prediction in bike-sharing systems. In Proceedings of the 14th Annual International Conference on Mobile Systems, Applications, and Services, Singapore, 26–30 June 2016; pp. 165–178. [Google Scholar]
- Mehdizadeh Dastjerdi, A.; Morency, C. Bike-sharing demand prediction at community level under COVID-19 using deep learning. Sensors 2022, 22, 1060. [Google Scholar] [CrossRef]
- Chatterjee, S.; Byun, Y.C. A Synthetic Data Generation Technique for Enhancement of Prediction Accuracy of Electric Vehicles Demand. Sensors 2023, 23, 594. [Google Scholar] [CrossRef]
- Chatterjee, S.; Byun, Y.C. Generating Time-Series Data Using Generative Adversarial Networks for Mobility Demand Prediction. Comput. Mater. Contin. 2023. [Google Scholar] [CrossRef]
- Kim, S.; Lee, U.; Lee, I.; Kang, N. Idle vehicle relocation strategy through deep learning for shared autonomous electric vehicle system optimization. J. Clean. Prod. 2022, 333, 130055. [Google Scholar] [CrossRef]
- Yi, Z.; Liu, X.C.; Wei, R. Electric vehicle demand estimation and charging station allocation using urban informatics. Transp. Res. Part Transp. Environ. 2022, 106, 103264. [Google Scholar] [CrossRef]
- Zwick, F.; Axhausen, K.W. Ride-pooling demand prediction: A spatiotemporal assessment in Germany. J. Transp. Geogr. 2022, 100, 103307. [Google Scholar] [CrossRef]
- Chen, S.; Luc, N.M. RRMSE Voting Regressor: A weighting function based improvement to ensemble regression. arXiv 2022, arXiv:2207.04837. [Google Scholar]
- Lim, H.; Chung, K. Development of demand forecasting model for seoul shared bicycle. J. Korea Contents Assoc. 2019, 19, 132–140. [Google Scholar]
- Erdebilli, B.; Devrim-İçtenbaş, B. Ensemble Voting Regression Based on Machine Learning for Predicting Medical Waste: A Case from Turkey. Mathematics 2022, 10, 2466. [Google Scholar] [CrossRef]
- Phyo, P.P.; Byun, Y.C.; Park, N. Short-term energy forecasting using machine-learning-based ensemble voting regression. Symmetry 2022, 14, 160. [Google Scholar] [CrossRef]
- Yun, S.; Min, K.; Ko, H. Spatio-Temporal Patterns of a Public Bike Sharing System in Seoul-Focusing on Yeouido District. J. Korean Inst. Landsc. Archit. 2020, 48, 1–14. [Google Scholar] [CrossRef]
- Do, M.; Noh, Y.S. Analysis of the affecting factors on the bike-sharing demand focused on Daejeon City. KSCE J. Civ. Environ. Eng. Res. 2014, 34, 1517–1524. [Google Scholar]
- Lee, H.; Baek, K.; Chung, J.H.; Kim, J. Factors affecting heterogeneity in willingness to use e-scooter sharing services. Transp. Res. Part D Transp. Environ. 2021, 92, 102751. [Google Scholar] [CrossRef]
- Min, J.; Mun, H.; Lee, Y. Demand forecast for public bicycles (“Tashu”) in Daejeon using random forest, Kor. Infor. Sci. Soc. 2017, 2017, 969–971. [Google Scholar]
- Ham, S.W.; Cho, J.H.; Park, S.; Kim, D.K. Spatiotemporal demand prediction model for e-scooter sharing services with latent feature and deep learning. Transp. Res. Rec. 2021, 2675, 34–43. [Google Scholar] [CrossRef]
- Shaheen, S.; Cohen, A. Shared Micromoblity Policy Toolkit: Docked and Dockless Bike and Scooter Sharing. 2019. [Google Scholar] [CrossRef]
- Geurts, P.; Ernst, D.; Wehenkel, L. Extremely randomized trees. Mach. Learn. 2006, 63, 3–42. [Google Scholar] [CrossRef]
- Ke, G.; Meng, Q.; Finley, T.; Wang, T.; Chen, W.; Ma, W.; Ye, Q.; Liu, T.Y. Lightgbm: A highly efficient gradient boosting decision tree. Adv. Neural Inf. Process. Syst. 2017, 30, 3149–3157. [Google Scholar]
- Prokhorenkova, L.; Gusev, G.; Vorobev, A.; Dorogush, A.V.; Gulin, A. CatBoost: Unbiased boosting with categorical features. arXiv 2018, arXiv:1706.09516. [Google Scholar]
- Ren, Y.; Zhang, L.; Suganthan, P.N. Ensemble classification and regression-recent developments, applications and future directions. IEEE Comput. Intell. Mag. 2016, 11, 41–53. [Google Scholar] [CrossRef]
- Breiman, L. Random forests. Mach. Learn. 2001, 45, 5–32. [Google Scholar] [CrossRef]








| Ref | Research Content | Used Model |
|---|---|---|
| [16] | Prediction of excess demand in bike sharing systems. | Dynamic cluster-based framework |
| [17] | Analysis of the influence of weather on the use of bike sharing systems. | Negative binomial model |
| [15] | Analyzing patterns of temporal use of daily frequency of leisure and commuter cyclists, taking into account weather conditions, to illuminate cycling activity in Vienna. | Linear regression |
| [18] | Proposed space–time bicycle mobility model; devised a traffic prediction mechanism for each station on an hourly basis. | RF |
| [19] | Short-term prediction of bike sharing in Montreal using deep learning. | Linear regression, GBM, SVM, ETR LSTM-based architectures, CNN-LSTM hybrid model |
| [27] | Construction of a medical waste management system that predicts medical waste in Istanbul, Turkey, using various machine learning models and ensemble voting regression. | RF, gradient boosting machines, AdaBoost, ensemble voting regression |
| [28] | Short-term energy prediction using ensemble voting regression. | ETR, RF, light GBM, k neighbors regressor, voting regressor model |
| Equipment Type | Description |
|---|---|
| Station-based, IoT | Type with GPS attached and borrowed from the station. |
| Station-based, non-IoT | Type without GPS attached and borrowed from the station. |
| Delivery-based, IoT | Type with GPS attached and delivered to the user’s location. |
| Delivery-based, non-IoT | Type without GPS attached and delivered to the user’s location. |
| Feature | IoT Station | IoT Delivery | Non-IoT Station | Non-IoT Delivery |
|---|---|---|---|---|
| Rental date | O | O | O | O |
| Year | O | O | O | O |
| Month | O | O | O | O |
| Day | O | O | O | O |
| Day name | O | O | O | O |
| Rental number (count) | O | O | O | O |
| Rental station | O | |||
| x pos (lat) | O | O | O | O |
| y pos (lon) | O | O | O | O |
| Address | O | O | ||
| Order address | O |
| Attribute | Description | Period |
|---|---|---|
| Location Code | Numeric code representing the location. | 16 April 2019∼8 November 2022 |
| Location Name | Name of the location. | |
| Date | Date and time of the observation. | |
| Average Temperature (°C) | Average temperature for the day. | |
| Precipitation (mm) | Total precipitation for the day. | |
| Average Relative Humidity (%) | Average relative humidity for the day. | |
| Total Insolation (MJ/m) | Total sunshine duration for the day. |
| Period | Attribute | Description |
|---|---|---|
| 16 April 2019∼8 November 2022 | Rental date | Date the mobility device was rented |
| Rental number | Number of rented mobility devices | |
| Year | Year of rental date | |
| Month | Month of rental date | |
| Day | Day of rental date | |
| Temperature | Average temperature on rent date | |
| Humidity | Relative humidity on rent date | |
| Insolation | Total insolation on rent date | |
| Rain | Daily precipitation on rent date | |
| Weekend | Whether the rental date is a weekend |
| Feature | Summer (July, August, September) | Winter (January, February) |
|---|---|---|
| Insolation | 0.48 | 0.41 |
| Precipitation | −0.63 | −0.27 |
| Humidity | −0.4 | −0.23 |
| Temperature | −0.08 | 0.39 |
| Performance Evaluation | |||||
|---|---|---|---|---|---|
| Model | R2 | MAE | MSE | RMSE | Time (s) |
| Extra Trees | 0.7543 | 16.6109 | 522.7416 | 22.8635 | 145.7737 |
| LightGBM | 0.7150 | 17.5575 | 606.3860 | 24.6249 | 56.9202 |
| CatBoost | 0.7482 | 16.6631 | 518.2903 | 22.7659 | 1079.8587 |
| Voting | 0.7629 | 16.3187 | 501.4086 | 22.3921 | 1332.3511 |
Disclaimer/Publisher’s Note: The statements, opinions and data contained in all publications are solely those of the individual author(s) and contributor(s) and not of MDPI and/or the editor(s). MDPI and/or the editor(s) disclaim responsibility for any injury to people or property resulting from any ideas, methods, instructions or products referred to in the content. |
© 2023 by the authors. Licensee MDPI, Basel, Switzerland. This article is an open access article distributed under the terms and conditions of the Creative Commons Attribution (CC BY) license (https://creativecommons.org/licenses/by/4.0/).
Share and Cite
Ko, J.; Byun, Y.-C. Analyzing Factors Affecting Micro-Mobility and Predicting Micro-Mobility Demand Using Ensemble Voting Regressor. Electronics 2023, 12, 4410. https://doi.org/10.3390/electronics12214410
Ko J, Byun Y-C. Analyzing Factors Affecting Micro-Mobility and Predicting Micro-Mobility Demand Using Ensemble Voting Regressor. Electronics. 2023; 12(21):4410. https://doi.org/10.3390/electronics12214410
Chicago/Turabian StyleKo, Jiyoung, and Yung-Cheol Byun. 2023. "Analyzing Factors Affecting Micro-Mobility and Predicting Micro-Mobility Demand Using Ensemble Voting Regressor" Electronics 12, no. 21: 4410. https://doi.org/10.3390/electronics12214410
APA StyleKo, J., & Byun, Y.-C. (2023). Analyzing Factors Affecting Micro-Mobility and Predicting Micro-Mobility Demand Using Ensemble Voting Regressor. Electronics, 12(21), 4410. https://doi.org/10.3390/electronics12214410

