Energy-Efficient Blockchain-Enabled Multi-Robot Coordination for Information Gathering: Theory and Experiments †
Abstract
:1. Introduction
- This is the first study that integrates blockchain-based data security techniques against data tampering attempts into a multi-robot information-gathering framework under continuous, periodic, and opportunistic connectivity.
- We employ an energy-efficient version of the blockchain-based proof-of-work (PoW) consensus protocol that is up to more efficient than the original PoW implementation in terms of energy consumption.
- Our proposed techniques in this paper study the security aspects in the multi-robot information-gathering problem setup from the novel perspectives of model estimation error, data vulnerability and its impact, and energy efficiency.
2. Literature Review
3. Problem Setup
4. Secure Communication Algorithms
4.1. Proof-of-Work (PoW) Consensus Protocol in CC
| Algorithm 1: Energy-efficient blockchain-enabled information gathering |
![]() |
| Algorithm 2: Proof-of-work (PoW) algorithm |
![]() |
4.2. PoW Consensus Protocol in PC and OC
5. Optimizing Energy Consumption of the Robotics System
5.1. The Energy Complexity Model (ECM)
5.2. Engineering SHA-256 Algorithm Using ECM
5.2.1. Parallelizing an Arbitrary Algorithm
5.2.2. Parallelizing SHA-256
5.3. Incorporating Energy-Optimized SHA-256 into PoW & Using Energy-Efficient PoW
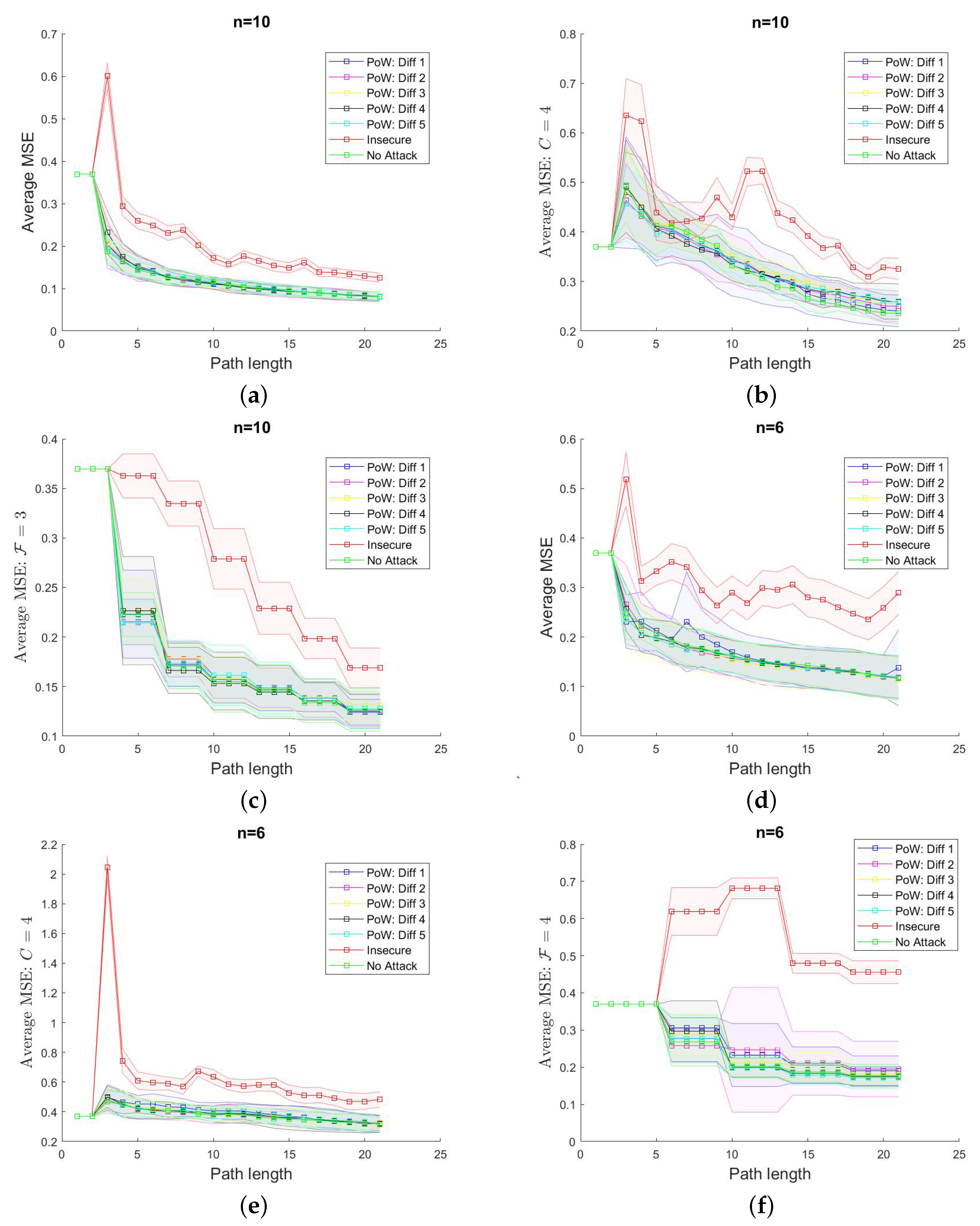
6. Experiments
6.1. Setup and Results: Without Considering Energy Model
6.2. Setup and Results: Considering the Energy Model
6.2.1. Numeric Results
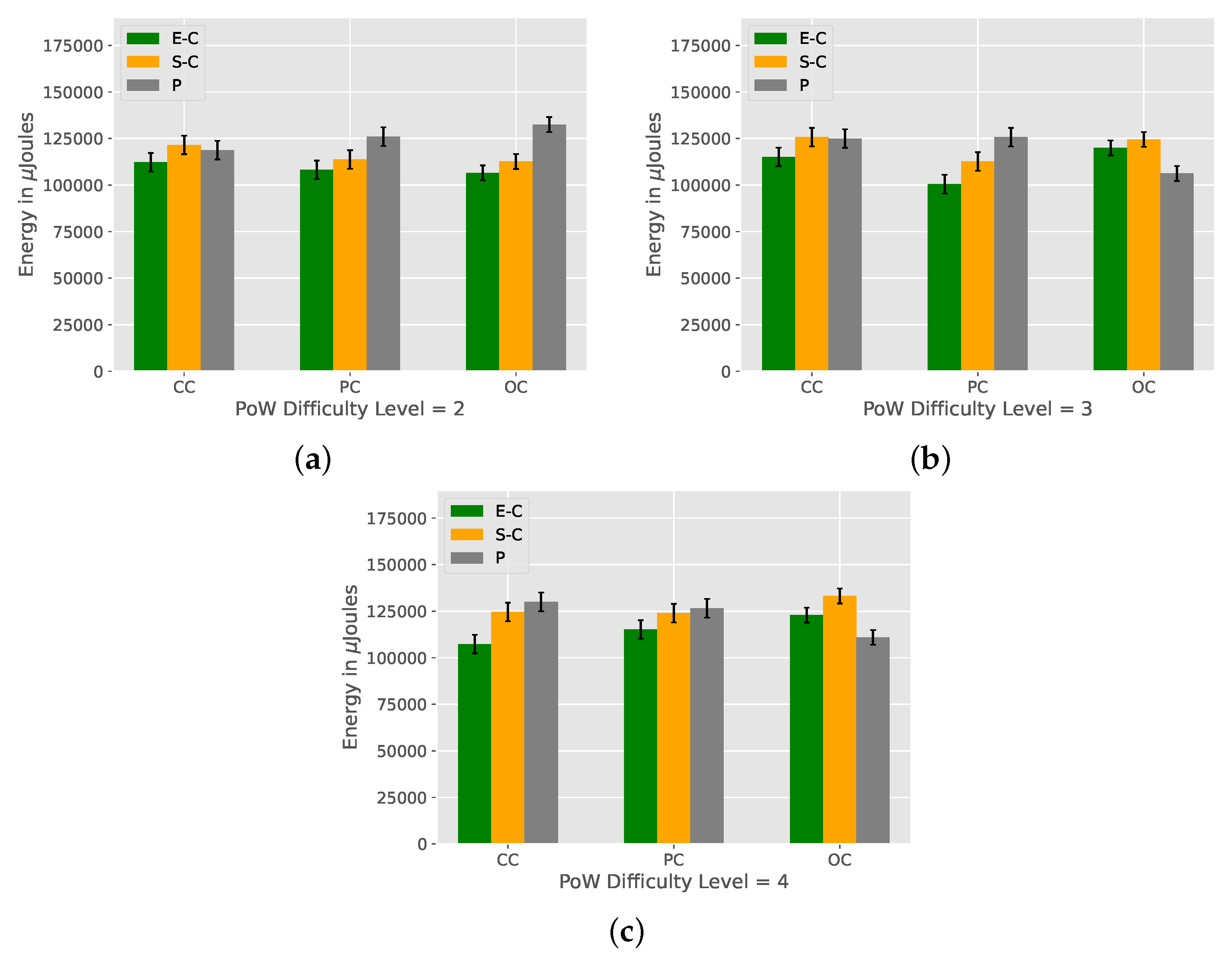
- We had the SHA-256 operation in PoW in our system implemented in two different programming languages, C and Python, for comparison. Furthermore, the energy-optimized SHA-256 was implemented only in C. Therefore, we had three different implementations for energy consumption comparison: (1) the standard implementation of SHA-256 using Python [P]; (2) the standard implementation of SHA-256 using C [S-C]; and (3) the engineered SHA-256 based on ECM for energy optimization using C [O-C].
- We set three different difficulty levels for PoW (2, 3, and 4). Each difficulty level accounts for the number of leading 0s the generated hash needs to have to satisfy the condition in Algorithm 2. Next is the proof-of-work complexity index. As implied by Algorithm 2, a higher difficulty level accounts for more resource intensiveness in execution.
- We have also accounted for energy consumption (and optimization) for the three kinds of connectivity of robots, as illustrated in Figure 1. Robots have a continuous connection (CC) when all linkages are present at all times. Robots will then adhere to periodic connectivity (PC) if all links periodically become available (or if links connect to a network via a different topology). Opportunistic connectivity (OC) is what we have in contrast if either the white or orange link in Figure 1 is available, but there is no assurance that they will all be at any given time.
6.2.2. Energy Savings Extrapolation over Real-World Systems
7. Conclusions
Author Contributions
Funding
Data Availability Statement
Conflicts of Interest
References
- Dutta, A.; Ghosh, A.; Kreidl, O.P. Multi-robot Informative Path Planning with Continuous Connectivity Constraints. In Proceedings of the 2019 International Conference on Robotics and Automation (ICRA), Montreal, QC, Canada, 20–24 May 2019; pp. 3245–3251. [Google Scholar]
- Dutta, A.; Roy, S.; Kreidl, O.P.; Bölöni, L. Multi-robot information gathering for precision agriculture: Current state, scope, and challenges. IEEE Access 2021, 9, 161416–161430. [Google Scholar] [CrossRef]
- Hollinger, G.A.; Singh, S. Multirobot coordination with periodic connectivity: Theory and experiments. IEEE Trans. Robot. 2012, 28, 967–973. [Google Scholar] [CrossRef]
- Krause, A.; Singh, A.; Guestrin, C. Near-optimal sensor placements in Gaussian processes: Theory, efficient algorithms and empirical studies. J. Mach. Learn. Res. 2008, 9, 235–284. [Google Scholar]
- Singh, A.; Krause, A.; Guestrin, C.; Kaiser, W.J. Efficient informative sensing using multiple robots. J. Artif. Intell. Res. 2009, 34, 707–755. [Google Scholar] [CrossRef]
- Castellon, C.E.; Roy, S.; Kreidl, O.P.; Dutta, A.; Bölöni, L. Toward a Green Blockchain: Engineering Merkle Tree and Proof of Work for Energy Optimization. IEEE Trans. Netw. Serv. Manag. 2023, 19, 3847–3857. [Google Scholar]
- Samman, T.; Dutta, A.; Kreidl, O.P.; Roy, S.; Bölöni, L. Secure Multi-Robot Information Sampling with Periodic and Opportunistic Connectivity. In Proceedings of the 2022 International Conference on Robotics and Automation (ICRA), Philadelphia, PA, USA, 23–27 May 2022; pp. 4951–4957. [Google Scholar]
- Banfi, J.; Li, A.Q.; Rekleitis, I.; Amigoni, F.; Basilico, N. Strategies for coordinated multirobot exploration with recurrent connectivity constraints. Auton. Robot. 2018, 42, 875–894. [Google Scholar] [CrossRef]
- Dutta, A.; Bhattacharya, A.; Kreidl, O.P.; Ghosh, A.; Dasgupta, P. Multi-robot informative path planning in unknown environments through continuous region partitioning. Int. J. Adv. Robot. Syst. 2020, 17, 1729881420970461. [Google Scholar] [CrossRef]
- Dutta, A.; Patrick Kreidl, O.; O’Kane, J.M. Opportunistic multi-robot environmental sampling via decentralized markov decision processes. In Distributed Autonomous Robotic Systems; Springer: Cham, Switzerland, 2021; pp. 163–175. [Google Scholar]
- Gao, C.; Ma, J.; Li, T.; Shen, Y. Hybrid swarm intelligent algorithm for multi-UAV formation reconfiguration. Complex Intell. Syst. 2023, 9, 1929–1962. [Google Scholar] [CrossRef]
- Luo, W.; Sycara, K. Adaptive sampling and online learning in multi-robot sensor coverage with mixture of gaussian processes. In Proceedings of the 2018 IEEE International Conference on Robotics and Automation (ICRA), Brisbane, Australia, 21–25 May 2018; pp. 6359–6364. [Google Scholar]
- Lauri, M.; Heinänen, E.; Frintrop, S. Multi-robot active information gathering with periodic communication. In Proceedings of the 2017 IEEE International Conference on Robotics and Automation (ICRA), Singapore, 29 May–3 June 2017; pp. 851–856. [Google Scholar]
- Trejo, J.A.V.; Ponsart, J.C.; Adam-Medina, M.; Valencia-Palomo, G.; Theilliol, D. Distributed Observer-based Leader-following Consensus Control for LPV Multi-agent Systems: Application to multiple VTOL-UAVs Formation Control. In Proceedings of the 2023 International Conference on Unmanned Aircraft Systems (ICUAS), Warsaw, Poland, 6–9 June 2023; pp. 1316–1323. [Google Scholar]
- Viseras, A.; Xu, Z.; Merino, L. Distributed multi-robot cooperation for information gathering under communication constraints. In Proceedings of the 2018 IEEE International Conference on Robotics and Automation (ICRA), Brisbane, Australia, 21–25 May 2018; pp. 1267–1272. [Google Scholar]
- Zhang, S.; Lim, W.Y.B.; Ng, W.C.; Xiong, Z.; Niyato, D.; Shen, X.S.; Miao, C. Towards Green Metaverse Networking: Technologies, Advancements and Future Directions. IEEE Netw. 2023, 1–10. [Google Scholar] [CrossRef]
- Said, T.; Wolbert, J.; Khodadadeh, S.; Dutta, A.; Kreidl, O.P.; Bölöni, L.; Roy, S. Multi-robot information sampling using deep mean field reinforcement learning. In Proceedings of the 2021 IEEE International Conference on Systems, Man, and Cybernetics (SMC), Melbourne, Australia, 17–20 October 2021; pp. 1215–1220. [Google Scholar]
- Hollinger, G.A.; Sukhatme, G.S. Sampling-based robotic information gathering algorithms. Int. J. Robot. Res. 2014, 33, 1271–1287. [Google Scholar] [CrossRef]
- Ma, K.C.; Ma, Z.; Liu, L.; Sukhatme, G.S. Multi-robot informative and adaptive planning for persistent environmental monitoring. In Distributed Autonomous Robotic Systems; Springer: Cham, Switzerland, 2018; pp. 285–298. [Google Scholar]
- Wei, Y.; Zheng, R. Informative path planning for mobile sensing with reinforcement learning. In Proceedings of the IEEE INFOCOM 2020-IEEE Conference on Computer Communications, Toronto, ON, Canada, 6–9 July 2020; pp. 864–873. [Google Scholar]
- Rasmussen, C.E. Gaussian processes in machine learning. In Advanced Lectures on Machine Learning; Springer: Berlin/Heidelberg, Germany, 2003; pp. 63–71. [Google Scholar]
- Ma, K.C.; Liu, L.; Sukhatme, G.S. Informative planning and online learning with sparse gaussian processes. In Proceedings of the 2017 IEEE International Conference on Robotics and Automation (ICRA), Singapore, 29 May–3 June 2017; pp. 4292–4298. [Google Scholar]
- Singh, A.; Krause, A.; Kaiser, W.J. Nonmyopic Adaptive Informative Path Planning for Multiple Robots. In Proceedings of the 21st International Joint Conference on Artificial Intelligence (IJCAI 2009), Pasadena, CA, USA, 11–17 July 2009; Boutilier, C., Ed.; 2009; pp. 1843–1850. [Google Scholar]
- Kemna, S.; Caron, D.A.; Sukhatme, G.S. Adaptive informative sampling with autonomous underwater vehicles: Acoustic versus surface communications. In Proceedings of the OCEANS 2016 MTS/IEEE Monterey, Monterey, CA, USA, 19–23 September 2016; pp. 1–8. [Google Scholar]
- Dempster, A.P.; Laird, N.M.; Rubin, D.B. Maximum likelihood from incomplete data via the EM algorithm. J. R. Stat. Soc. Ser. B (Methodol.) 1977, 39, 1–22. [Google Scholar] [CrossRef]
- Orr, J.; Dutta, A. Multi-Agent Deep Reinforcement Learning for Multi-Robot Applications: A Survey. Sensors 2023, 23, 3625. [Google Scholar] [CrossRef] [PubMed]
- Yang, Y.; Luo, R.; Li, M.; Zhou, M.; Zhang, W.; Wang, J. Mean Field Multi-Agent Reinforcement Learning. In Proceedings of the 35th International Conference on Machine Learning, ICML 2018, Stockholm, Sweden, 10–15 July 2018; Dy, J.G., Krause, A., Eds.; Volume 80, pp. 5567–5576. [Google Scholar]
- Wei, Y.; Zheng, R. Multi-robot path planning for mobile sensing through deep reinforcement learning. In Proceedings of the IEEE INFOCOM 2021-IEEE Conference on Computer Communications, Vancouver, BC, Canada, 10–13 May 2021; pp. 1–10. [Google Scholar]
- Pan, L.; Manjanna, S.; Hsieh, M.A. MARLAS: Multi Agent Reinforcement Learning for cooperated Adaptive Sampling. arXiv 2022, arXiv:2207.07751. [Google Scholar]
- Viseras, A.; Garcia, R. DeepIG: Multi-robot information gathering with deep reinforcement learning. IEEE Robot. Autom. Lett. 2019, 4, 3059–3066. [Google Scholar] [CrossRef]
- Banfi, J.; Basilico, N.; Amigoni, F. Multirobot reconnection on graphs: Problem, complexity, and algorithms. IEEE Trans. Robot. 2018, 34, 1299–1314. [Google Scholar] [CrossRef]
- Andre, T.; Bettstetter, C. Collaboration in multi-robot exploration: To meet or not to meet? J. Intell. Robot. Syst. 2016, 82, 325–337. [Google Scholar] [CrossRef]
- Amigoni, F.; Banfi, J.; Basilico, N. Multirobot exploration of communication-restricted environments: A survey. IEEE Intell. Syst. 2017, 32, 48–57. [Google Scholar] [CrossRef]
- Ghiasi, M.; Niknam, T.; Wang, Z.; Mehrandezh, M.; Dehghani, M.; Ghadimi, N. A comprehensive review of cyber-attacks and defense mechanisms for improving security in smart grid energy systems: Past, present and future. Electr. Power Syst. Res. 2023, 215, 108975. [Google Scholar] [CrossRef]
- Xu, H.; Sun, Z.; Cao, Y.; Bilal, H. A data-driven approach for intrusion and anomaly detection using automated machine learning for the Internet of Things. Soft Comput. 2023, 27, 14469–14481. [Google Scholar] [CrossRef]
- Zhou, H.; Zheng, Y.; Jia, X.; Shu, J. Collaborative prediction and detection of DDoS attacks in edge computing: A deep learning-based approach with distributed SDN. Comput. Netw. 2023, 225, 109642. [Google Scholar] [CrossRef]
- Strobel, V.; Castelló Ferrer, E.; Dorigo, M. Blockchain technology secures robot swarms: A comparison of consensus protocols and their resilience to byzantine robots. Front. Robot. AI 2020, 7, 54. [Google Scholar] [CrossRef]
- Samman, T.; Spearman, J.; Dutta, A.; Kreidl, O.P.; Roy, S.; Bölöni, L. Secure Multi-Robot Adaptive Information Sampling. In Proceedings of the 2021 IEEE International Symposium on Safety, Security, and Rescue Robotics (SSRR), New York, NY, USA, 25–27 October 2021; pp. 125–131. [Google Scholar] [CrossRef]
- Nakamoto, S. Bitcoin: A Peer-to-Peer Electronic Cash System. 2008. Available online: https://www.ussc.gov/sites/default/files/pdf/training/annual-national-training-seminar/2018/Emerging_Tech_Bitcoin_Crypto.pdf (accessed on 27 August 2023).
- Dittmar, L.; Praktiknjo, A. Could Bitcoin emissions push global warming above 2 °C? Nat. Clim. Chang. 2019, 9, 656–657. [Google Scholar] [CrossRef]
- Egiyi, M.A.; Ofoegbu, G.N. Cryptocurrency and climate change: An overview. Int. J. Mech. Eng. Technol. (IJMET) 2020, 11, 15–22. [Google Scholar]
- Mora, C.; Rollins, R.L.; Taladay, K.; Kantar, M.B.; Chock, M.K.; Shimada, M.; Franklin, E.C. Bitcoin emissions alone could push global warming above 2 °C. Nat. Clim. Chang. 2018, 8, 931–933. [Google Scholar] [CrossRef]
- Salimitari, M.; Chatterjee, M.; Fallah, Y.P. A survey on consensus methods in blockchain for resource-constrained IoT networks. Internet Things 2020, 11, 100212. [Google Scholar] [CrossRef]
- Kaufmann, L. Clustering by means of medoids. In Proceedings of the Statistical Data Analysis Based on the L1-norm and Related Methods, Neuchatel, Switzerland, 31 August–4 September 1987; pp. 405–416. [Google Scholar]
- Cao, N.; Low, K.H.; Dolan, J.M. Multi-robot informative path planning for active sensing of environmental phenomena: A tale of two algorithms. In Proceedings of the International Conference on Autonomous Agents and Multi-Agent Systems, Saint Paul, MN, USA, 6–10 May 2013; Gini, M.L., Shehory, O., Ito, T., Jonker, C.M., Eds.; pp. 7–14. [Google Scholar]
- Gupta, M.; Abdelsalam, M.; Khorsandroo, S.; Mittal, S. Security and privacy in smart farming: Challenges and opportunities. IEEE Access 2020, 8, 34564–34584. [Google Scholar] [CrossRef]
- Krishna, C.L.; Murphy, R.R. A review on cybersecurity vulnerabilities for unmanned aerial vehicles. In Proceedings of the 2017 IEEE International Symposium on Safety, Security and Rescue Robotics (SSRR), Shanghai, China, 11–13 October 2017; pp. 194–199. [Google Scholar]
- Issa, W.; Moustafa, N.; Turnbull, B.; Sohrabi, N.; Tari, Z. Blockchain-based federated learning for securing internet of things: A comprehensive survey. ACM Comput. Surv. 2023, 55, 191. [Google Scholar] [CrossRef]
- Laghari, A.A.; Khan, A.A.; Alkanhel, R.; Elmannai, H.; Bourouis, S. Lightweight-BIoV: Blockchain Distributed Ledger Technology (BDLT) for Internet of Vehicles (IoVs). Electronics 2023, 12, 677. [Google Scholar] [CrossRef]
- Rajasekar, V.; Sathya, K. Blockchain utility in renewable energy. In Blockchain-Based Systems for the Modern Energy Grid; Elsevier: Amsterdam, The Netherlands, 2023; pp. 115–134. [Google Scholar]
- Gupta, S.S. Blockchain for Secure Healthcare Using Internet of Medical Things (IoMT); Springer Nature: Cham, Switzerland, 2023. [Google Scholar]
- Luo, H.; Liu, S.; Xu, S.; Luo, J. LECast: A Low-Energy-Consumption Broadcast Protocol for UAV Blockchain Networks. Drones 2023, 7, 76. [Google Scholar] [CrossRef]
- Li, S.; Li, J.; Pei, J.; Wu, S.; Wang, S.; Cheng, L. Eco-CSAS: A Safe and Eco-Friendly Speed Advisory System for Autonomous Vehicle Platoon Using Consortium Blockchain. IEEE Trans. Intell. Transp. Syst. 2023, 24, 7802–7812. [Google Scholar] [CrossRef]
- Oudani, M.; Sebbar, A.; Zkik, K.; El Harraki, I.; Belhadi, A. Green Blockchain based IoT for secured supply chain of hazardous materials. Comput. Ind. Eng. 2023, 175, 108814. [Google Scholar] [CrossRef]
- Qi, L.; Tian, J.; Chai, M.; Cai, H. LightPoW: A trust based time-constrained PoW for blockchain in internet of things. Comput. Netw. 2023, 220, 109480. [Google Scholar] [CrossRef]
- Gupta, M.; Patel, R.; Jain, S. Analysis of Blockchain Integration with Internet of Vehicles: Challenges, Motivation, and Recent Solution. In Role of Data-Intensive Distributed Computing Systems in Designing Data Solutions; Springer: Cham, Switzerland, 2023; pp. 129–163. [Google Scholar]
- Praveena, B.; Reddy, P.V.P. Blockchain based Sensor System Design For Embedded IoT. J. Comput. Inf. Syst. 2023, 1–18. [Google Scholar] [CrossRef]
- Ali, M.H.; Jaber, M.M.; Khalil Abd, S.; Alkhayyat, A.; Q, M.R.; Ali, M.H. Application of internet of things-based efficient security solution for industrial. Prod. Plan. Control. 2023, 1–15. [Google Scholar] [CrossRef]
- Alshahrani, H.; Islam, N.; Syed, D.; Sulaiman, A.; Al Reshan, M.S.; Rajab, K.; Shaikh, A.; Shuja-Uddin, J.; Soomro, A. Sustainability in Blockchain: A Systematic Literature Review on Scalability and Power Consumption Issues. Energies 2023, 16, 1510. [Google Scholar] [CrossRef]
- Kohli, V.; Chakravarty, S.; Chamola, V.; Sangwan, K.S.; Zeadally, S. An analysis of energy consumption and carbon footprints of cryptocurrencies and possible solutions. Digit. Commun. Netw. 2023, 9, 79–89. [Google Scholar] [CrossRef]
- Roy, S.; Rudra, A.; Verma, A. An energy complexity model for algorithms. In Proceedings of the 4th Conference on Innovations in Theoretical Computer Science, New York, NY, USA, 9–12 January 2013; pp. 283–304. [Google Scholar]
- Santos, M.; Saraiva, J.; Porkoláb, Z.; Krupp, D. Energy Consumption Measurement of C/C++ Programs Using Clang Tooling. In Proceedings of the 6th Workshop of Software Quality, Analysis, Monitoring, Improvement, and Applications, Belgrade, Serbia, 11–13 September 2017. [Google Scholar]
- McNulty, D.; Hennessy, A.; Li, M.; Armstrong, E.; Ryan, K.M. A review of Li-ion batteries for autonomous mobile robots: Perspectives and outlook for the future. J. Power Sources 2022, 545, 231943. [Google Scholar] [CrossRef]
- Caballero, L.; Perafan, A.; Rinaldy, M.; Percybrooks, W. Predicting the Energy Consumption of a Robot in an Exploration Task Using Optimized Neural Networks. Electronics 2021, 10, 920. [Google Scholar] [CrossRef]
- Castellon, C.; Roy, S.; Kreidl, P.; Dutta, A.; Bölöni, L. Energy efficient merkle trees for blockchains. In Proceedings of the 2021 IEEE 20th International Conference on Trust, Security and Privacy in Computing and Communications (TrustCom), Shenyang, China, 20–22 October 2021; pp. 1093–1099. [Google Scholar]











| Parameter | Value |
|---|---|
| Language | MATLAB and Python |
| Environment | Grid |
| Actions | 8 |
| Budget | 20 |
| Noise in sensing | |
| GP kernel | Exponential |
| Baselines | No Attack (no malicious data tampering) and Insecure (no security protocol in place) |
| for energy-efficient PoW | |
| RAM architecture | DDR3 |
| Energy measurement software | pyRAPL [62] |
| OS | Linux Mint |
| Processor | Intel i5-2410M, 64-bit |
| C compiler | gcc 8.3.1 |
| Type | Name | |||
|---|---|---|---|---|
| Aerial | DJI3 | 14,000 | 13,492 | 13,546 |
| Aerial | Anafi Ai | 32,640 | 27,101 | 27,695 |
| Aerial | Bebop 3 | 9900 | 7359 | 7631 |
| Aerial | Matrice RTK | 75,900 | 51,008 | 53,675 |
| Ground | TurtleBot4 | 7200 | 4960 | 5200 |
| Ground | Jackal | 28,800 | 27,725 | 27,840 |
| Ground | Husky | 10,800 | 10,498 | 10,530 |
| Ground | TurtleBot Waffle Pi | 1872 | 1773 | 1784 |
Disclaimer/Publisher’s Note: The statements, opinions and data contained in all publications are solely those of the individual author(s) and contributor(s) and not of MDPI and/or the editor(s). MDPI and/or the editor(s) disclaim responsibility for any injury to people or property resulting from any ideas, methods, instructions or products referred to in the content. |
© 2023 by the authors. Licensee MDPI, Basel, Switzerland. This article is an open access article distributed under the terms and conditions of the Creative Commons Attribution (CC BY) license (https://creativecommons.org/licenses/by/4.0/).
Share and Cite
Castellon, C.E.; Khatib, T.; Roy, S.; Dutta, A.; Kreidl, O.P.; Bölöni, L. Energy-Efficient Blockchain-Enabled Multi-Robot Coordination for Information Gathering: Theory and Experiments. Electronics 2023, 12, 4239. https://doi.org/10.3390/electronics12204239
Castellon CE, Khatib T, Roy S, Dutta A, Kreidl OP, Bölöni L. Energy-Efficient Blockchain-Enabled Multi-Robot Coordination for Information Gathering: Theory and Experiments. Electronics. 2023; 12(20):4239. https://doi.org/10.3390/electronics12204239
Chicago/Turabian StyleCastellon, Cesar E., Tamim Khatib, Swapnoneel Roy, Ayan Dutta, O. Patrick Kreidl, and Ladislau Bölöni. 2023. "Energy-Efficient Blockchain-Enabled Multi-Robot Coordination for Information Gathering: Theory and Experiments" Electronics 12, no. 20: 4239. https://doi.org/10.3390/electronics12204239
APA StyleCastellon, C. E., Khatib, T., Roy, S., Dutta, A., Kreidl, O. P., & Bölöni, L. (2023). Energy-Efficient Blockchain-Enabled Multi-Robot Coordination for Information Gathering: Theory and Experiments. Electronics, 12(20), 4239. https://doi.org/10.3390/electronics12204239



