Trust-Degree-Based Secure Relay Selection in SWIPT-Enabled Relay Networks
Abstract
1. Introduction
2. Secure Relay Selection System Model
2.1. TS Model
2.2. Signal Model
2.3. Problem Formulation
3. Proposed Optimization Algorithm of the Trust-Degree-Based Secure Relay Selection
3.1. Trust-Degree-Based Secure Relay Selection
- When , the constraint Equation (13) is satisfied.
- When , the constraint of the interference power in the optimization problem is satisfied.
- When , although the relay does not send the interference power, the network can also achieve confidential communication, i.e., the source could directly transmit information without charging to the relay in advance.
- When , the relay must send a certain interference signal to ensure the safety of the communication.
- When , constraints of the expected secrecy rate and the interference power cannot be satisfied; that is to say, confidential communication is impossible.
- When , if the expected secrecy rate constraint is satisfied, the interference power constraint cannot be satisfied; thus, confidential communication also cannot be guaranteed.
- When , the relay needs to send a certain interference signal to ensure the safety of communication, and the interference power is equal to Equation (12).
- When , confidential communication is guaranteed without interference signals.
3.2. Evaluation and Analysis of the Trust-Degree-Based Secure Relay Selection
3.2.1. Trust-Degree-Based Relay Selection Scheme
3.2.2. Trust-Degree-Based Cooperative Transmission Scheme
3.2.3. Hybrid Cooperative Transmission Scheme
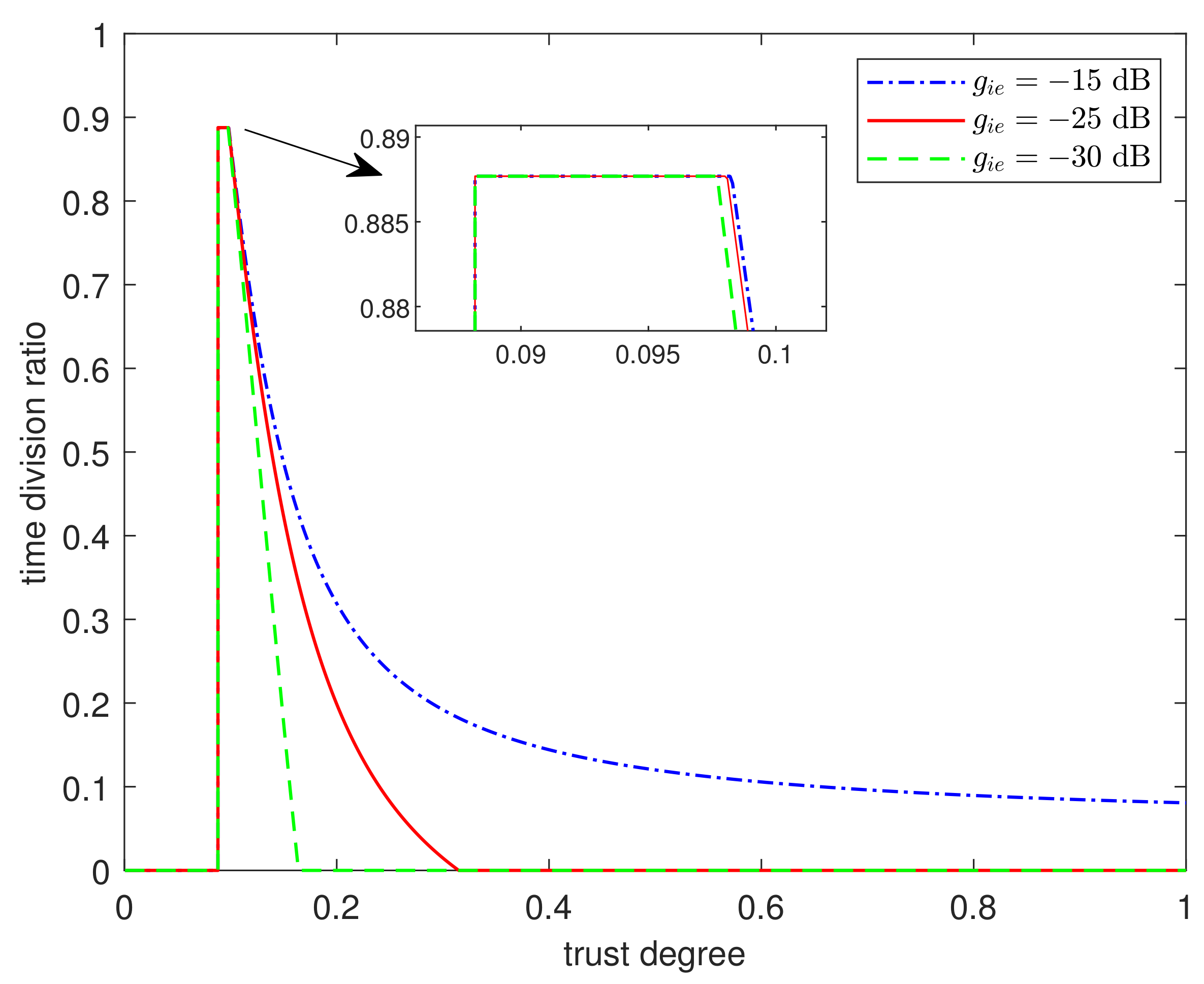
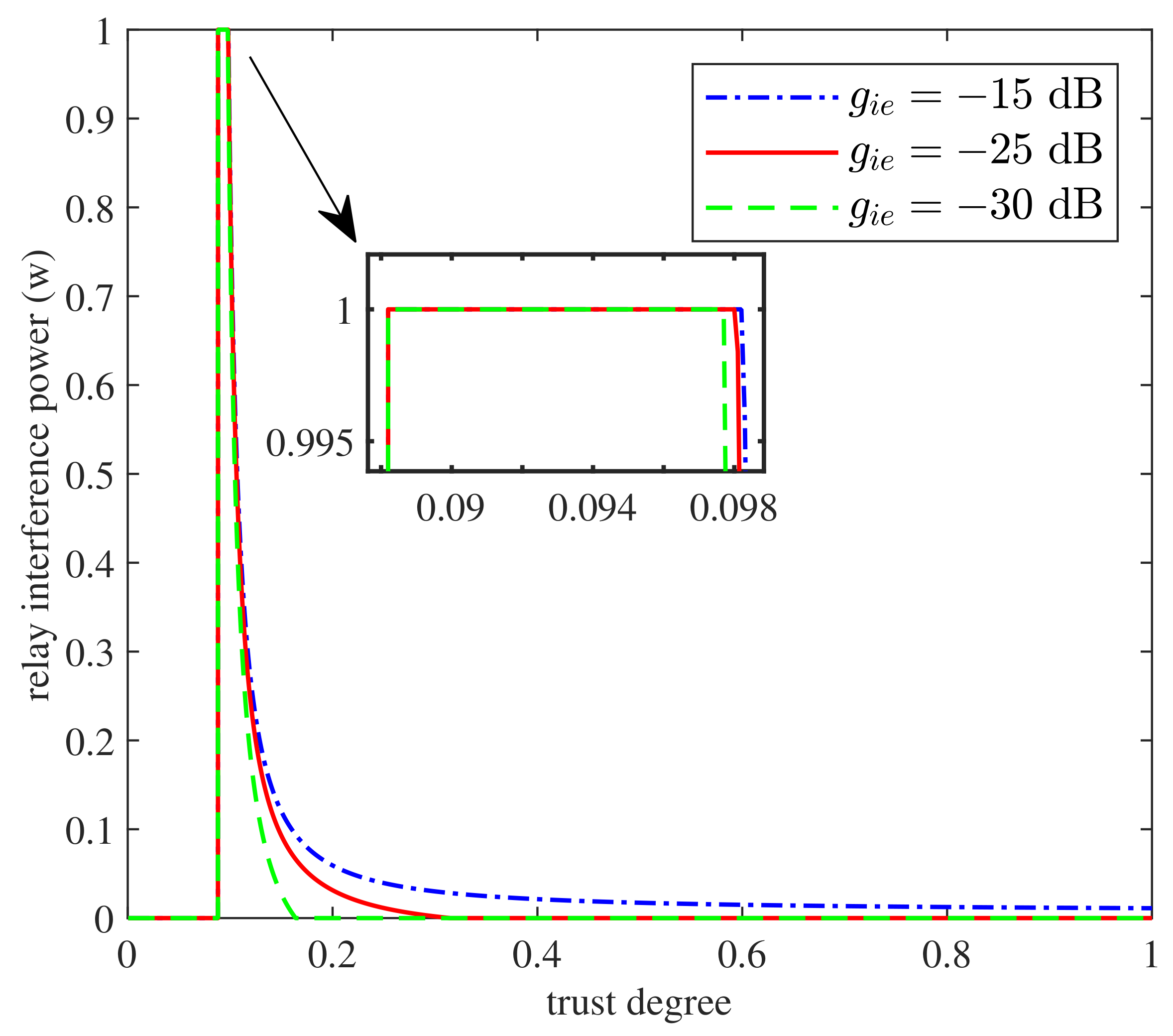
4. Numerical Simulation Results and Analyses
5. Conclusions
Author Contributions
Funding
Acknowledgments
Conflicts of Interest
References
- Gautam, S.; Vu, T.X.; Chatzinotas, S.; Ottersten, B. Cache-aided simultaneous wireless information and power transfer (SWIPT) with relay selection. IEEE J. Sel. Areas Commun. 2019, 37, 187–201. [Google Scholar] [CrossRef]
- Yan, Z.; Kong, H.; Wang, W.; Liu, H.-L.; Shen, X. Reliability benefit of location-based relay selection for cognitive relay networks. IEEE Internet Things J. 2022, 9, 2319–2329. [Google Scholar] [CrossRef]
- Chen, J.; Liu, C.; Qian, M. A selection-based cooperative SWIPT scheme with energy-preserving DF relays. In Proceedings of the 2018 10th International Conference on Wireless Communications and Signal Processing (WCSP), Hangzhou, China, 18–20 October 2018. [Google Scholar]
- Gautam, S.; Lagunas, E.; Sharma, S.K.; Chatzinotas, S.; Ottersten, B. Relay selection strategies for SWIPT-enabled cooperative wireless systems. In Proceedings of the 2017 IEEE 28th Annual International Symposium on Personal, Indoor, and Mobile Radio Communications (PIMRC’2017), Montreal, QC, Canada, 8–13 October 2017. [Google Scholar]
- Wu, D.; Zhu, G.; Zhu, L.; Ai, B. Trust-based relay selection in relay-based networks. KSII Trans. Internet Inf. Syst. 2012, 6, 2587–2600. [Google Scholar]
- Zhang, Y.; Zhao, X.; Xie, Y. Secure communications in SWIPT-enabled two-way relay networks. IEEE Access 2019, 7, 111890–111896. [Google Scholar] [CrossRef]
- Ryu, J.Y.; Lee, J.H. Trust degree-based MISO cooperative communications with two relay nodes. Wirel. Commun. Mob. Comput. 2019, 2019, 7927358. [Google Scholar] [CrossRef]
- Phan, V.-D.; Nguyen, T.N.; Le, A.V.; Voznak, M. A study of physical layer security in SWIPT-based decode-and-forward relay networks with dynamic power splitting. Sensors 2021, 21, 5692. [Google Scholar] [CrossRef] [PubMed]
- Zhang, J.; Tao, X.; Wu, H.; Zhang, X. Secure transmission in SWIPT-powered two-way untrusted relay networks. IEEE Access 2018, 6, 10508–10519. [Google Scholar] [CrossRef]
- Gupta, A.; Singh, K.; Sellathurai, M. Time-switching EH-based joint relay selection and resource allocation algorithms for multi-user multi-carrier AF relay networks. IEEE Trans. Green Commun. Netw. 2019, 3, 505–522. [Google Scholar] [CrossRef]
- Zhang, Z.; Lu, Y.; Huang, Y.; Zhang, P. Network-based relay selection in two-way SWIPT-enabled cognitive radio networks. IEEE Trans. Veh. Technol. 2020, 69, 6264–6274. [Google Scholar] [CrossRef]
- Ma, R.; Wu, H.; Ou, J.; Yang, S.; Gao, Y. Power splitting-based SWIPT systems with full-duplex jamming. IEEE Trans. Veh. Technol. 2020, 69, 9822–9836. [Google Scholar] [CrossRef]
- Jameel, F.; Chang, Z.; Jäntti, R. Secrecy limits of energy harvesting IoT networks under channel imperfections. In Proceedings of the 2020 IEEE International Conference on Pervasive Computing and Communications Workshops (PerCom’2020 Workshops), Austin, TX, USA, 23–27 March 2020. [Google Scholar]
- Glendenning, B.; Kiefer, R.; Patel, A. Ziggurat: A framework for providing scalability and security in IoT blockchains. In Proceedings of the 2021 International Conference on Computational Science and Computational Intelligence (CSCI’2021), Las Vegas, NV, USA, 15–17 December 2021. [Google Scholar]
- Rivera, A.V.; Refaey, A.; Hossain, E. A blockchain framework for secure task sharing in multi-access edge computing. IEEE Netw. 2019, 3, 176–183. [Google Scholar] [CrossRef]
- Coon, J.P.A. Modelling trust in random wireless networks. In Proceedings of the 2014 11th International Symposium on Wireless Communications Systems (ISWCS’2014), Barcelona, Spain, 26–29 August 2014. [Google Scholar]
- Hu, Z.; Xie, D.; Jin, M.; Zhou, L.; Li, J. Relay cooperative beamforming algorithm based on probabilistic constraint in SWIPT secrecy networks. IEEE Access 2020, 8, 173999–174008. [Google Scholar] [CrossRef]
- Alageli, M.; Ikhlef, A.; Alsifiany, F.; Abdullah, M.A.M.; Chen, G.; Chambers, J. Optimal downlink transmission for cell-free SWIPT massive MIMO systems with active eavesdropping. IEEE Trans. Inf. Forensics Secur. 2020, 15, 1983–1998. [Google Scholar] [CrossRef]
- Cirik, A.C.; Rong, Y.; Hua, Y. Achievable rates of full-duplex MIMO radios in fast fading channels with imperfect channel estimation. IEEE Trans. Signal Process. 2014, 62, 3874–3886. [Google Scholar] [CrossRef]
- Laneman, J.N.; Tse, D.N.C.; Wornell, G.W. Cooperative diversity in wireless networks: Efficient protocols and outage behavior. IEEE Trans. Inf. Theory 2004, 50, 3062–3080. [Google Scholar] [CrossRef]







Disclaimer/Publisher’s Note: The statements, opinions and data contained in all publications are solely those of the individual author(s) and contributor(s) and not of MDPI and/or the editor(s). MDPI and/or the editor(s) disclaim responsibility for any injury to people or property resulting from any ideas, methods, instructions or products referred to in the content. |
© 2023 by the authors. Licensee MDPI, Basel, Switzerland. This article is an open access article distributed under the terms and conditions of the Creative Commons Attribution (CC BY) license (https://creativecommons.org/licenses/by/4.0/).
Share and Cite
Gao, R.; Xu, L.; Xu, D.; Bao, J. Trust-Degree-Based Secure Relay Selection in SWIPT-Enabled Relay Networks. Electronics 2023, 12, 429. https://doi.org/10.3390/electronics12020429
Gao R, Xu L, Xu D, Bao J. Trust-Degree-Based Secure Relay Selection in SWIPT-Enabled Relay Networks. Electronics. 2023; 12(2):429. https://doi.org/10.3390/electronics12020429
Chicago/Turabian StyleGao, Ran, Ling Xu, Dan Xu, and Jianrong Bao. 2023. "Trust-Degree-Based Secure Relay Selection in SWIPT-Enabled Relay Networks" Electronics 12, no. 2: 429. https://doi.org/10.3390/electronics12020429
APA StyleGao, R., Xu, L., Xu, D., & Bao, J. (2023). Trust-Degree-Based Secure Relay Selection in SWIPT-Enabled Relay Networks. Electronics, 12(2), 429. https://doi.org/10.3390/electronics12020429

