Next Article in Journal
A Novel Power Distribution Strategy and Its Online Implementation for Hybrid Energy Storage Systems of Electric Vehicles
Previous Article in Journal
Distributed Deep Neural-Network-Based Middleware for Cyber-Attacks Detection in Smart IoT Ecosystem: A Novel Framework and Performance Evaluation Approach
 
 
Font Type:
Arial Georgia Verdana
Font Size:
Aa Aa Aa
Line Spacing:
Column Width:
Background:
Article

Self-Calibration Method of Noncontact AC Voltage Measurement

1
College of Mechanical and Electrical Engineering, Kunming University of Science and Technology, Kunming 650504, China
2
Faculty of Science, Kunming University of Science and Technology, Kunming 650504, China
3
Weifang Hongrun New Materials Co., Ltd., Weifang 262000, China
*
Author to whom correspondence should be addressed.
Electronics 2023, 12(2), 300; https://doi.org/10.3390/electronics12020300
Submission received: 15 December 2022 / Revised: 28 December 2022 / Accepted: 2 January 2023 / Published: 6 January 2023

Abstract

:
Realizing stable and reliable monitoring of a distribution network voltage environment can obtain real-time power parameter information and ensure the normal and safe operation of transmission lines, which is of great research significance and engineering value. Based on the distributed capacitance relationship between sensor and transmission line, an equivalent circuit capacitance voltage dividing model is proposed, and the relevant factors affecting the stability of the voltage dividing ratio are analyzed. The self-calibration principle of noncontact AC voltage measurement is proposed based on the system identification theory. The noncontact sensing structure is designed, a sensor probe prototype is fabricated, and a back-end conditioning circuit is designed to realize the overall measurement system. Finally, the validity of the measurement model is verified by simulation and experiment, and a measurement platform is built which proves the feasibility of the self-calibration method for noncontact voltage measurement. The experimental results show that the error is less than ±2%. This method can correctly restore the measured voltage waveform, has good linearity, and can realize wireless data transmission, which provides a new idea for the voltage measurement method of a distribution network.

1. Introduction

As the construction scale of modern smart grids continues to expand, a large number of distributed energy sources and power electronics will be introduced into the transmission network, making complex changes in the transmission line environment and greatly increasing the frequency of voltage fluctuations in the distribution network, and the quality of power supply will be affected [1,2,3,4]. Therefore, in order to maintain the safety and stable operation of the power network and detect fluctuations and faults of power parameters in the distribution network in a timely manner, a safe and reliable voltage parameter monitoring device is urgently needed which can accurately monitor the key nodes of the power system [5,6]. Currently, the mainstream voltage measurement method is contact measurement, which requires the metal part of the line to be pulled out and connected to the equipment for voltage measurement. When the actual line voltage measurement is carried out, the insulation layer needs to be stripped, which will cause damage to the line. Sometimes, contact measurement requires that the power supply of the distribution network also produces a greater interference to the normal operation of the power network [7]. Therefore, with the improvement of the requirements for the use of various types of power equipment, researchers have begun to explore the application of noncontact voltage measurement methods in power transmission networks on-line monitoring [8,9].
The principle of noncontact voltage sensors is to convert the large primary-side voltage into a smaller value of the secondary-side voltage suitable for meter measurement through electromagnetic field coupling to achieve electrical isolation of high voltage and avoid workers directly measuring high-voltage contacts, which has high safety and practicality [10,11,12]. However, noncontact measurement based on the principle of capacitance voltage division introduces many uncertainties, such as different heights of overhead lines to ground, changes in environmental factors such as temperature and humidity in different climates, and foreign objects near the sensor such as towers and trees, which can cause changes in the primary capacitance of the line and sensor, leading to changes in the voltage division ratio and affecting the measurement accuracy [13]. Researchers have conducted a series of studies on this issue.
Reference [14] presents a noncontact measurement scheme for the AC voltage of insulated conductors, which forms a capacitive network between conductors and ground by using appropriate probes. This method can reduce the influence of some parasitic parameters through FFT data processing with an error of less than 0.75%. However, this method can only measure valid values and cannot obtain complete waveforms, and the position relationship between sensors and cables is not easy to determine during measurement and can easily affect measurement results [14]. Reference [15] presents a two-probe contactless measurement scheme based on electric field coupling, which can effectively reduce errors caused by interference sources in other directions, but the problem of parasitic capacitance changes caused by environmental changes has not been solved. Reference [16] presents a noncontact voltage measurement method, but this method requires external large-scale equipment, and the measurement requires the power to be off, so it cannot be applied in engineering practices. Reference [17] presents a sensor with a three-electrode structure, in which the sensor electrodes are placed in a ring during measurement. This method can improve the sensor insulation performance and improve the electric field distribution, but because the exact spatial location of overhead transmission lines is usually unknown and dynamic in practice, this leads to undetermined errors being introduced into the measurement [17].
In this paper, the AC voltage measurement model of a transmission line is equivalent to the three-capacitance coupled voltage dividing model, and the relationship between the first and second capacitance and the voltage dividing ratio of the sensor is analyzed. A noncontact self-calibration method for AC voltage measurement of transmission lines is proposed, and an integrated small measurement system is formed. This method can reduce the impact of the change in partial pressure ratio on the measurement results, improve the measurement accuracy, and verify the feasibility of the method through simulation and experiment.

2. Principle of Noncontact Measuring Three-Capacitor Voltage Divider

Noncontact measurement of transmission lines uses the principle of three-capacitor coupled voltage divider, and the equivalent circuit is shown in Figure 1:
Assume that the sensor is a coaxial cylindrical structure with the transmission line as the axis. In the figure C1 is the primary capacitance produced by the coupling of the inner pole plate of the sensor with the transmission line, C is the sensor capacitance, and C2 is the secondary capacitance between the outer pole plate and the ground of the sensor. Based on the equivalent circuit model, the voltage Vx to be measured on the transmission line can be calculated by the following formula:
V x = V 1 + V + V 2 ,
If the charge on the capacitor plate is q, the above formula can be written:
V x = q C 1 + q C + q C 2 ,
Thus:
q = V x 1 C 1 + 1 C + 1 C 2 = C C 1 C 2 C C 1 + C C 2 + C 1 C 2 V x ,
The values of V1, V, and V2 can be calculated by the following formula:
V 1 = C C 2 C C 1 + C C 2 + C 1 C 2 V x ,
V = C 1 C 2 C C 1 + C C 2 + C 1 C 2 V x ,
V 2 = C C 1 C C 1 + C C 2 + C 1 C 2 V x ,
Therefore, the capacitance voltage division k calculation can be described as follows:
k = V x V = C C 1 + C C 2 + C 1 C 2 C 1 C 2 ,
To sum up, if the values of capacitance C, C1, and C2 are known, and the possible changes between capacitance C, C1, and C2 in the measurement environment are known, then only the value of V can be measured to obtain Vx.
Take a single-core transmission line as an example, we use a cylindrical sensor, assuming the radius of the transmission line to be measured is r, and the radii of the inner and outer electrodes of the sensor capacitor C are r1 and r2, respectively, as shown in Figure 2.
Capacitance values can be calculated by:
C 1 = 2 π ε 0 ε r L ln r 1 r ,
C = 2 π ε 0 ε r L ln r 2 r 1 ,
In the equation, L is the column length of the sensor, and the C2 value can be calculated by electro-image method with the following formula:
C 2 = λ V 2 = 2 π ε 0 L ln 2 h r 2 r 2 ,
where λ is the charge per unit length of the transmission line, h is the height of the transmission line from the ground, and V2 is the potential difference from the outer electrode of the sensor to the ground. The derivation of the formula shows that if the primary and secondary capacitances are accurately known, the voltage on the transmission line can be calculated from the voltage on the sensor capacitance. Until the voltage on the transmission line is accurately known, there is no way to be able to determine the secondary capacitance, so even if the primary capacitance is determined, the measurement of the transmission line voltage cannot be completed, and the stability of the sensor voltage division ratio is disturbed by multiple environmental variables such as height to ground and climate, so that the influence of such stray parameters on the capacitance must be reduced or excluded if noncontact accurate measurements are to be achieved [18,19].

3. Self-Calibration Measurement Principle and System Design

This paper designs a noncontact AC voltage measurement system, as shown in Figure 3, which can be used as the basis for self-calibration of the measurement to exclude the influence of capacitance changes on the measurement accuracy.
As shown in the figure, the system consists of a coupled capacitance probe, a conditioning circuit module, a data collector, and a host computer. This method first precalibrates the reference signal applied to the housing of the no-load probe to obtain the signal containing the stray parameters. Then, the cable to be measured is placed for formal measurement. Through frequency analysis of the output signal and extracting the information of the target frequency band, the stray parameters are eliminated. By modeling the dynamic system, the differential equation describing the system is established, and the valid values of the voltage signal are calculated and restored.

3.1. Design of Coupled Capacitive Probe

The probe design is based on the three-capacitor voltage dividing principle described above, and the schematic diagram is shown in Figure 4. The probe connects the inner pole template with the analog front-end circuit through a coaxial cable. One end of the coaxial cable’s inner core is connected to the inductive plate on the inner surface of the probe to obtain the measured voltage signal, and the other end is connected to the analog circuit as output. The outer conductive mesh of the coaxial cable is connected to the signal generator at one end and to the probe outer surface at the other end to inject a reference signal into the probe. Therefore, a coupling capacitance C1 is formed between the inner plate of the capacitance probe and the line to be measured. A capacitance value C exists between the inner and outer plates of the sensor, and a capacitance C2 exists between the outer plate of the sensor and the ground, which constitutes a three-capacitance voltage dividing structure.
The value of C1 can be approximately expressed as the capacitance between two coaxial cylinders with air dielectric:
C 1 2 π ε 0 L ln ( d E d C ) ,
The dielectric constant ε0 = 8.85 pF/m, L is the length of the electrodes, dE is the diameter of the inner surface of the electrodes, and dC is the diameter of the conductor of the measured cable. In order to verify the relationship between capacitance and probe size, the probe structure was simulated by finite element method. Figure 5 shows the distribution of electric field in the inner space after the sensor probe package clips the cable to be measured.
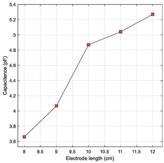
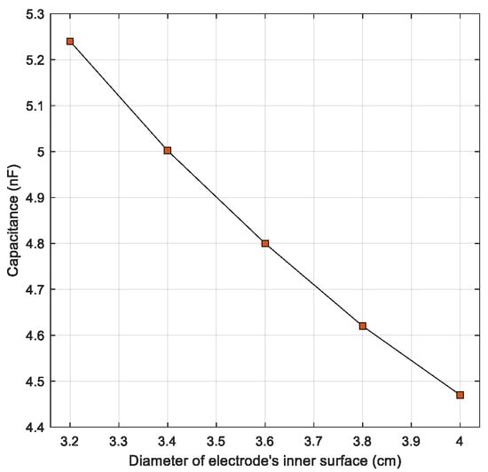
From Figure 5, it can be seen that the spatial electric field inside the sensor is evenly distributed around the traverse to be measured and can be steadily perceived by the inner pole of the sensor. Based on the previous derivation, it is known that the sensor capacity C1 is one of the key factors to achieve accurate measurement. To determine its relationship with the sensor size, since most cables are less than 10 mm in diameter, the bayonet diameter of the probe used to fix the cable is designed to be 10 mm. The key values that affect the C1 size of the probe are the length of the electrode L and the diameter of the inner surface of the electrode dE. The capacitance distribution of the probe is calculated, and the results are shown in Figure 6 and Figure 7:
According to the previous discussion, the coupling capacitance C1 between the inner pole plate of the probe and the cable to be measured is not only an important parameter to determine the value of the signal to be measured, but it also affects the measurement accuracy in conjunction with the stray parameters, so the value is not too large or too small. Therefore, the sensor size is determined as the electrode length L = 10 cm, the inner surface diameter dE = 3.6 cm, and the C1 value is less than 4.92 pF. The probe prototype shown in Figure 8 was fabricated using photosensitive resin as raw material by 3D printing.

3.2. Realization of Self-Calibration Principle

In order to achieve the system measurement function, a circuit module with operational amplifier as the core component is planned to overlay the Vx sensed by the coupling capacitance with the Vin excitation signal through the operational amplifier. The circuit diagram is shown in Figure 9.
According to the circuit between the sensor probe and the circuit module, it can be found that the grounding of the end to be measured is not in common with the grounding of the end to be measured, thus achieving electrical isolation. The secondary capacitance C2 in the three-capacitance model proposed above is replaced by the parasitic capacitance Cin, the potential at the measured point is raised, and subsequent measurements only need to consider the effect of the line stray parameter Cin on the measurements. By precalibrating the probe, a calibration signal containing Cin can be obtained and excluded from subsequent frequency analysis.
The core function of the circuit is implemented using the Texas Instruments (TI) OPA320AIDBVT chip, which has a 20 MHz high gain bandwidth product and can avoid system measurement errors to some extent [16].
R1 = 200Ω and R2 = 2 kΩ. The magnification is 10 times, compensated by the feedback capacitance Cf in parallel with R2, which avoids the instability caused by the equivalent input capacitance CE = C1 + Cin + C, with a value of 2.2 nF.
Based on the probe structure and the circuit module, the following relationships can be obtained. When the system access frequency is only ωin and when the reference signal of Vin in is Vx = 0, the amplitude of the output signal Vout0 can be calculated as follows:
V o u t 0 = V i n ω i n C i n R 2 R 1 ,
ωin values need to be distinguished from the voltage frequency to be measured, otherwise the voltage data to be measured will be lost. When the system is connected to both the cable Vx to be measured and the reference signal Vin, the following voltage–current relationship exists between the input and output of the operational amplifier:
I = C 1 d u d t = C 1 d ( V x V i n ) d t ,
I is the displacement current flowing through the probe, which is obtained by Laplace transformation:
I ( s ) = [ V x ( s ) V i n ( s ) ] s C 1 ,
Then, the above expression can be converted into Vout calculation relation of output differential signal by operational amplifier:
V o u t ( s ) = I ( s ) R 2 R 1 + V i n ( s ) R 2 R 1 C i n = [ V X ( s ) V i n ( s ) ] s R 2 R 1 C 1 + V i n ( s ) s R 2 R 1 C i n = s R 2 R 1 C 1 V X ( s ) + s R 2 R 1 ( C 1 + C i n ) V i n ( s )
The coupling signal expressed above can be regarded as a coupling signal formed by the superimposition of the reference signal component and the signal component to be measured.
Settings:
F i n = R 2 R 1 C i n ,
F x = R 2 R 1 C 1 ,
Then, the Vout can be calculated as:
V o u t ( s ) = s F x V X ( s ) + s ( F x + F i n ) V i n ( s ) ,
A set of system input and output reference values was obtained during precalibration. Fin values can be calculated from Formula (12) and precalibration measurement parameters:
F i n = V o u t 0 V i n ω i n ,
Vout can be analyzed by FFT to obtain two components: the component VX whose frequency is ωx and the component Vin whose frequency is ωin. The two components both produce a sinusoidal curve; the amplitude VOx and VOin are given by the following formula:
V O x = V X ω x F x ,
V O i n = V i n ω i n ( F x + F i n ) ,
The valid value of the voltage to be measured can be calculated from the Fin value obtained by analyzing the input–output relationship during precalibration and the Vin component amplitude–frequency parameter obtained by FFT frequency analysis.
V X = V O x V i n ω i n ( V Oin - V o u t 0 ) ω x ,
In summary, the measurement and self-calibration system for noncontact AC voltage is designed.

4. Setting up Measurement System and Experimental Results

To verify the feasibility of the self-calibration mechanism described above and verify the results of the theoretical analysis section, an experimental platform is set up as shown in Figure 10:
In this experiment, VK702WH from the Shenzhen vking company, China, is used as the data acquisition device. This device is a customized model, has a wireless transmission function, and can be used as a reference signal for a signal generator to generate custom frequency. The functions of each port are shown in Figure 11:
(1) is a digital signal input that enables eight channels of differential input, but in the context of this application, only a single channel input is used. (2) is the analog signal output, and the +5 V port is used as the analog voltage output port when the optional analog output module is used. The 12 V battery is used to power the data collector, and there is no need to connect more large-scale devices to the measurement site. Therefore, the proposed measurement system achieves small volume, integrated measurement, and can meet the measurement requirements under different working conditions.
In addition, the Agilent digital multimeter is added as an auxiliary acquisition channel in the experiment, and the valid value of the output of the voltage source is measured directly as a reference. The experimental site is shown in Figure 12:
Because this method measures power frequency lines, the voltage signal to be measured at 220 V, 50 Hz is given by the voltage source. During the measurement, 100 mV and 1 kHz reference AC signals are overlaid and experimented. The waveform is shown in Figure 13:
It can be seen that the waveform in the figure is the superimposed waveform of a sinusoidal signal, which contains the reference signal component and the signal component to be measured; the measured signal is separated by FFT using MATLAB, and the data waveform is calculated and reduced to compare with the measured waveform of the Tektronix probe, as shown in Figure 14.
Similarly, the linearity of the system was tested using a sinusoidal input signal VX. Ten voltage signals in the range of 80–120% of the rated voltage were selected for measurement according to the voltage calibration standard, and the input raw voltage was measured directly with an Agilent digital multimeter at the same time. The result is shown in Figure 15:
It can be seen that this measurement method can realize the self-calibration of spurious parameters, restore the voltage waveform to be measured, and have better measurement performance and linearity.

5. Conclusions

In this paper, a noncontact measurement and self-calibration method of the AC voltage of industrial frequency is proposed in order to be able to explore different measurement methods of the AC voltage of the distribution network, with the main work described as follows:
(1)
The line and the earth as a large capacitance to its voltage division, according to the structural relationship between the wire and the sensor, which is the abstraction of the three−capacitance equivalent model of voltage sensing.
(2)
The environmental factors that may affect the partial pressure ratio of the sensor are analyzed according to the equivalent model, and the principle of self-calibration of the sensor is proposed on this basis.
(3)
A noncontact measurement system for AC voltage was constructed, a prototype sensor probe and a back-end conditioning circuit were designed and fabricated, and an experimental platform was built to systematically validate the proposed method and prove the feasibility of the method.
At present, the probe made in this article can be further optimized. A hinged structure can be designed to make the probe form an integrated structure, and a fixture design can be added inside the probe to keep the cable to be measured in alignment. These problems need further study. In addition, this paper only experimentally verifies the feasibility of a power frequency single-phase line method under 220 V. Future research will expand the application of this self-calibrated noncontact voltage measurement method under wide-band and high-voltage conditions and explore how to apply this measurement system to three-phase transmission lines. The noncontact AC measurement system proposed in this paper can meet the requirements of miniaturization, high accuracy, live installation, and stable performance. It has a positive significance for the research and application of new distributed devices and on-line voltage monitoring systems of distribution networks.

Author Contributions

Conceptualization, R.W. and C.S.; methodology, R.W. and W.Z.; software, W.Z. and K.C.; validation, R.W. and W.Z.; formal analysis, R.W.; investigation, A.J. and W.Z.; resources, C.S. and W.Z.; data curation, Y.Y. and K.C.; writing—original draft preparation, R.W. and Y.Y.; writing—review and editing, R.W., C.S. and W.Z.; supervision, A.J.; project administration, W.Z. and K.C. All authors have read and agreed to the published version of the manuscript.

Funding

This research was supported by the funding of Yunnan Academy of Science and Technology “Research and development of new smart sensor technology to promote green energy development” (202104BN050011).

Data Availability Statement

The data used to support the findings of this study are included within the article.

Conflicts of Interest

The authors declare no conflict of interest.

References

  1. Khawaja, A.H.; Huang, Q.; Khan, Z.H. Monitoring of Overhead Transmission Lines: A Review from the Perspective of Contactless Technologies. Sens. Imaging 2017, 18, 24. [Google Scholar] [CrossRef]
  2. Yang, P.; Wen, X.; Lv, Y.; Chu, Z.; Peng, C. A non-intrusive voltage measurement scheme based on MEMS electric field sensors: Theoretical analysis and experimental verification of AC power lines. Rev. Sci. Instrum. 2021, 92, 065002. [Google Scholar] [CrossRef] [PubMed]
  3. Shenil, P.S.; George, B. Development of a Nonintrusive True-RMS AC Voltage Measurement Probe. IEEE Trans. Instrum. Meas. 2019, 68, 3899–3906. [Google Scholar] [CrossRef]
  4. Reza, M.; Rahman, H.A. Non-Invasive Voltage Measurement Technique for Low Voltage AC Lines. In Proceedings of the 2021 IEEE 4th International Conference on Electronics Technology (ICET), Chengdu, China, 7–10 May 2021; IEEE: Piscataway, NJ, USA; pp. 143–148. [Google Scholar]
  5. Yang, Q.; Dong, F.; Luo, M. Broadband voltage sensing method and its data application. High Volt. Technol. 2021, 47, 15. [Google Scholar]
  6. Walczak, K.; Sikorski, W. Non-Contact High Voltage Measurement in the Online Partial Discharge Monitoring System. Energies 2021, 14, 5777. [Google Scholar] [CrossRef]
  7. Guo, Z.; Shi, W.; Lei, T.; He, Z.; Kang, P. Transient voltage measurement for UHV AC substation using non-contact electro-optic field sensor. In Proceedings of the 18th International Conference on AC and DC Power Transmission (ACDC 2022), Online Conference, China, 2–3 July 2022; pp. 695–699. [Google Scholar]
  8. Zhu, K.; Lee, W.K.; Pong, P.W. Non-contact capacitive-couplingbased and magnetic-field-sensing-assisted technique for monitoring voltage of overhead power transmission lines. IEEE Sensors J. 2017, 17, 1069–1083. [Google Scholar] [CrossRef]
  9. Leng, Y.; Shu, L.; Qian, Q.; Chen, C.; Lin, Y. Contactless Voltage Measurement Considering Spatially Dependent Voltage Compensation. Sens. Mater. 2022, 34, 1057. [Google Scholar] [CrossRef]
  10. Zhang, Y.; Zhang, C.; Li, H.; Chen, Q. An online detection method for capacitor voltage transformer with excessive measurement error based on multi-source heterogeneous data fusion. Measurement 2021, 187, 110262. [Google Scholar] [CrossRef]
  11. Fan, J.; Ai, C.; Guo, A.; Yan, X.; Wang, J. Evaluation of Electric Field Integral Voltage Measurement Method of Transmission Line Based on Error Transmission and Uncertainty Analysis. Sensors 2021, 21, 4340. [Google Scholar] [CrossRef] [PubMed]
  12. Lindahl, P.; Bredariol, G.; Donnal, J.; Leeb, S. Noncontact electrical system monitoring on a U.S. Coast Guard cutter. IEEE Instrum. Meas. Mag. 2017, 20, 11–20. [Google Scholar] [CrossRef]
  13. Bobowski, J.S.; Ferdous, M.S.; Johnson, T. Calibrated Single-Contact Voltage Sensor for High-Voltage Monitoring Applications. IEEE Trans. Instrum. Meas. 2015, 64, 923–934. [Google Scholar] [CrossRef]
  14. Shenil, P.S.; Arjun, R.; George, B. Feasibility study of a non-contact AC voltage measurement system. In Proceedings of the 2015 IEEE International Instrumentation and Measurement Technology Conference (I2MTC) Proceedings, Pisa, Italy, 11–14 May 2015; IEEE: Piscataway, NJ, USA. [Google Scholar]
  15. Lawrence, D.; Donnal, J.S.; Leeb, S.; He, Y. Non-Contact Measurement of Line Voltage. IEEE Sens. J. 2016, 16, 8990–8997. [Google Scholar] [CrossRef]
  16. Haberman, M.A.; Spinelli, E.M. A Non-Contact Voltage Measurement System for Power-Line Voltage Waveforms. IEEE Trans. Instrum. Meas. 2019, 69, 2790–2797. [Google Scholar] [CrossRef]
  17. Thomas, A.J.; Iyyappan, C.; Reddy, C.C. On the measurement of surface voltage of insulators and bushings. IEEE Trans. Power Deliv. 2021, 37, 464–471. [Google Scholar] [CrossRef]
  18. Chen, K.L.; Xu, W. Voltage distortion measurement using a contactless sensor. In Proceedings of the 2016 IEEE Power and Energy Society General Meeting (Pesgm), Boston, MA, USA, 17–21 July 2016. [Google Scholar]
  19. Fuqing, Y.; Lu, J. In Non-contact sensing and modelling on the voltage and electric field for powered transmission line. J. Phys. Conf. Ser. 2020, 1453, 012115. [Google Scholar] [CrossRef]
Figure 1. Three-Capacitor Voltage Dividing Equivalent Circuit.
Figure 1. Three-Capacitor Voltage Dividing Equivalent Circuit.
Electronics 12 00300 g001
Figure 2. Cross-section of ideal coaxial sensor on transmission line.
Figure 2. Cross-section of ideal coaxial sensor on transmission line.
Electronics 12 00300 g002
Figure 3. Voltage measurement system.
Figure 3. Voltage measurement system.
Electronics 12 00300 g003
Figure 4. Cross-section of probe interface.
Figure 4. Cross-section of probe interface.
Electronics 12 00300 g004
Figure 5. Isogram of electric field distribution in sensor space.
Figure 5. Isogram of electric field distribution in sensor space.
Electronics 12 00300 g005
Figure 6. Diagram of relationship between sensor capacity and electrode length.
Figure 6. Diagram of relationship between sensor capacity and electrode length.
Electronics 12 00300 g006
Figure 7. Diagram of relationship between sensor capacity and electrode inner diameter.
Figure 7. Diagram of relationship between sensor capacity and electrode inner diameter.
Electronics 12 00300 g007
Figure 8. Physical diagram of probe: (a) schematic diagram of internal structure of probe; (b) schematic diagram of external structure of probe.
Figure 8. Physical diagram of probe: (a) schematic diagram of internal structure of probe; (b) schematic diagram of external structure of probe.
Electronics 12 00300 g008
Figure 9. Schematic diagram of conditioning circuit.
Figure 9. Schematic diagram of conditioning circuit.
Electronics 12 00300 g009
Figure 10. Noncontact AC voltage measurement test platform.
Figure 10. Noncontact AC voltage measurement test platform.
Electronics 12 00300 g010
Figure 11. Data acquisition card port: (1) digital signal acquisition terminal and (2) analog signal output terminal.
Figure 11. Data acquisition card port: (1) digital signal acquisition terminal and (2) analog signal output terminal.
Electronics 12 00300 g011
Figure 12. Experimental test site: (1) PC; (2) 220 V voltage source; (3) digital multimeter; (4) shield; (5) circuit module; (6) op-amp power supply battery; (7) data acquisition instrument; (8) data acquisition instrument power supply battery; and (9) probe.
Figure 12. Experimental test site: (1) PC; (2) 220 V voltage source; (3) digital multimeter; (4) shield; (5) circuit module; (6) op-amp power supply battery; (7) data acquisition instrument; (8) data acquisition instrument power supply battery; and (9) probe.
Electronics 12 00300 g012
Figure 13. Measured coupled waveforms.
Figure 13. Measured coupled waveforms.
Electronics 12 00300 g013
Figure 14. Comparison of original and measured waveforms.
Figure 14. Comparison of original and measured waveforms.
Electronics 12 00300 g014
Figure 15. Measurement linearity and accuracy.
Figure 15. Measurement linearity and accuracy.
Electronics 12 00300 g015
Disclaimer/Publisher’s Note: The statements, opinions and data contained in all publications are solely those of the individual author(s) and contributor(s) and not of MDPI and/or the editor(s). MDPI and/or the editor(s) disclaim responsibility for any injury to people or property resulting from any ideas, methods, instructions or products referred to in the content.

Share and Cite

MDPI and ACS Style

Zhang, W.; Wei, R.; Jiu, A.; Cheng, K.; Yang, Y.; Suo, C. Self-Calibration Method of Noncontact AC Voltage Measurement. Electronics 2023, 12, 300. https://doi.org/10.3390/electronics12020300

AMA Style

Zhang W, Wei R, Jiu A, Cheng K, Yang Y, Suo C. Self-Calibration Method of Noncontact AC Voltage Measurement. Electronics. 2023; 12(2):300. https://doi.org/10.3390/electronics12020300

Chicago/Turabian Style

Zhang, Wenbin, Ran Wei, Aerduoni Jiu, Kang Cheng, Yonglong Yang, and Chunguang Suo. 2023. "Self-Calibration Method of Noncontact AC Voltage Measurement" Electronics 12, no. 2: 300. https://doi.org/10.3390/electronics12020300

APA Style

Zhang, W., Wei, R., Jiu, A., Cheng, K., Yang, Y., & Suo, C. (2023). Self-Calibration Method of Noncontact AC Voltage Measurement. Electronics, 12(2), 300. https://doi.org/10.3390/electronics12020300

Note that from the first issue of 2016, this journal uses article numbers instead of page numbers. See further details here.

Article Metrics

Back to TopTop