Evaluation of Electromagnetic Fields of Extremely Low-Frequency Horizontal Electric Dipoles at Sea–Air Boundaries
Abstract
:1. Introduction
2. EMF Propagation Model in ELF at the Sea-Air Boundary
3. Quasi-Static Approximation
3.1. Assumptions
3.2. Bessel-Fourier Integral Solution
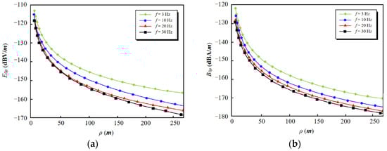
3.3. Verification and Analysis
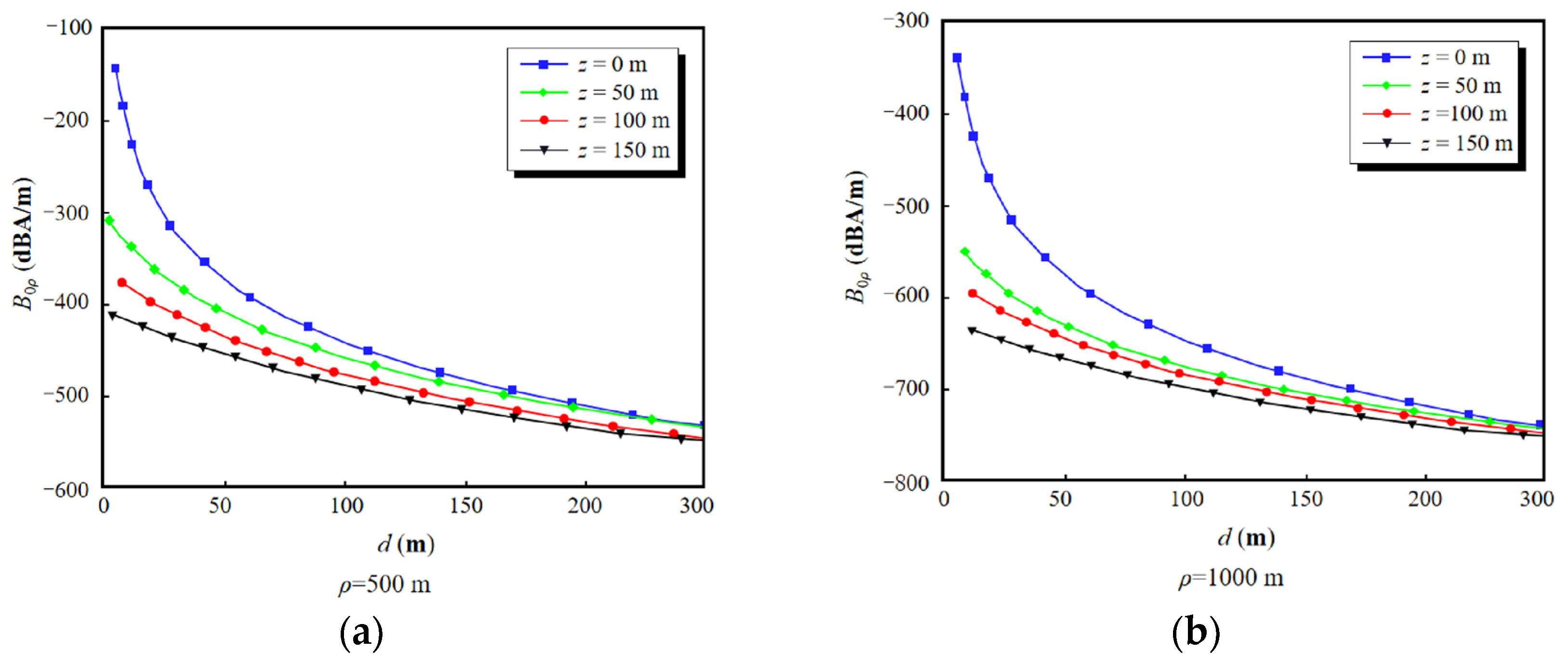
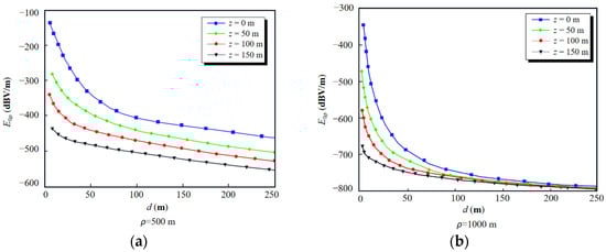
4. Simulation and Analysis of Near-Region Fields
5. Conclusions
Author Contributions
Funding
Data Availability Statement
Acknowledgments
Conflicts of Interest
Abbreviations
| EMW | Electromagnetic Wave |
| EMF | Electromagnetic Fields |
| ELF | Extremely Low Frequency |
| VMD | Vertical Magnetic Dipole |
| HED | Horizontal Electric Dipole |
| HMD | Horizontal Magnetic Dipole |
| FFT | Fast Fourier Transform |
Appendix A
Appendix B
Appendix C
References
- Bremmer, H. The extension of Sommerfeld’s formula for the propagation of radio waves above a flat earth to different conductivities of the soil. Physica 1954, 20, 441–460. [Google Scholar] [CrossRef]
- Bannister, P.R. The image theory electromagnetic fields of a horizontal electric dipole in the presence of a conducting half space. Radio Sci. 1982, 17, 1095–1102. [Google Scholar] [CrossRef]
- Nazari, M.E.; Huang, W. An Analytical Solution of the Electric Field Excited by a Vertical Electric Dipole Above a Lossy Half-Space: From Radio to Microwave Frequencies. IEEE Trans. Antennas Propag. 2020, 68, 7517–7529. [Google Scholar] [CrossRef]
- Akyildiz, I.F.; Pompili, D.; Melodia, T. Underwater acoustic sensor networks: Research challenges. Ad Hoc Netw. 2005, 3, 257–279. [Google Scholar] [CrossRef]
- Zhu, Z.; Hu, N.; Wu, J.; Li, W.; Zhao, J.; Wang, M.; Zeng, F.; Dai, H.; Zheng, Y. A review of underwater acoustic metamaterials for underwater acoustic equipment. Front. Phys. 2022, 10, 1068833. [Google Scholar]
- Islam, M.S.; Younis, M.F. Analyzing Visible Light Communication Through Air–Water Interface. IEEE Access 2019, 7, 123830–123845. [Google Scholar] [CrossRef]
- Gao, X.; Liu, P.; Yin, Q.; Fu, J.W.; Hu, F.G.; Jiang, Y.; Zhu, H.B.; Wang, Y.Y. Wireless light energy harvesting and communication in a waterproof GaN optoelectronic system. Commun. Eng. 2022, 1, 16. [Google Scholar] [CrossRef]
- Yusof, M.A.B.; Kabir, S. An overview of sonar and electromagnetic waves for underwater communication. IETE Tech. Rev. 2012, 29, 307–317. [Google Scholar] [CrossRef]
- Singh, G.; Kumar, M. Performance analysis of electromagnetic (EM) wave in sea water medium. Wirel. Netw. 2020, 26, 2125–2135. [Google Scholar] [CrossRef]
- Xu, H.L.; Wang, X.; Pang, M.; Ji, X.; Lin, H.; Gu, T.T. ELF Near-Field Propagation of a Vertical Electric Dipole Due to Lightning Discharges. IEEE Trans. Antennas Propag. 2022, 70, 1250–1264. [Google Scholar] [CrossRef]
- Sommerfeld, A.N. Propagation of waves in wireless telegraphy. Ann. Phys. 1909, 26, 665–736. [Google Scholar] [CrossRef]
- Guo, Z.; Xue, G.; Liu, J.; Wu, X. Electromagnetic methods for mineral exploration in China: A review. Ore Geol. Rev. 2020, 118, 103357. [Google Scholar] [CrossRef]
- Füllekrug, M.; Mezentsev, A.; Watson, R.; Gaffet, S.; Astin, I.; Evans, A. Map of Low Frequency Electromagnetic Noise in the Sky: Sky Map of Electromagnetic Noise. Geophys. Res. Lett. 2015, 42, 9143–9149. [Google Scholar] [CrossRef]
- Wang, G.; Ding, H.; Xia, H.; Wang, C. An Underwater Robot Positioning Method Based on EM-ELF Signals. In Intelligent Robotics and Applications. ICIRA 2019. Lecture Notes in Computer Science; Yu, H., Liu, J., Eds.; Springer: Berlin/Heidelberg, Germany, 2019; Volume 11743, pp. 643–650. [Google Scholar]
- Moore, R.K. Radio communication in the sea. IEEE Spectr. 1967, 4, 42–51. [Google Scholar] [CrossRef]
- Birsan, M. Measurement of the extremely low frequency (ELF) magnetic field emission from a ship. Meas. Sci. Technol. 2011, 22, 085709. [Google Scholar] [CrossRef]
- Margetis, D.; Wu, T.T. Exactly calculable field components of electric dipoles in planar boundary. J. Math. Phys. 2001, 42, 713–745. [Google Scholar] [CrossRef]
- Banos, A. Dipole Radiation in the Presence of a Conducting Half-Space; Pergamon Press: Oxford, MA, USA, 1966. [Google Scholar]
- Wait, J.R. Electromagnetic Waves in Stratifified Media; IEEE Press: Piscataway, NJ, USA, 1966. [Google Scholar]
- Kraichman, M.B. Handbook of Electromagnetic Propagation in Conducting Media; US Government Printing Office: Washington, DC, USA, 1976.
- King, R.W.P. Lateral Electromagnetic Waves; Springer: New York, NY, USA, 1992. [Google Scholar]
- Pan, W.Y. LF VLF ELF Wave Propagation; The University of Electronic Science and Technology Press: Chengdu, China, 2014. [Google Scholar]
- Bush, B.; Tripp, V.; Naishadham, K. Practical modeling of radio wave propagation in shallow seawater. In Proceedings of the IEEE Antennas and Propagation Society International Symposium (APSURSI), Chicago, IL, USA, 8–14 July 2012. [Google Scholar]
- Bishay, S.T.; Abo-Seida, O.M.; Shoeib, H.S. Wave propagation in air from a vertical magnetic Ndipole located in three rough-layered structures. J. Electromagn. Waves Appl. 2013, 27, 911–929. [Google Scholar] [CrossRef]
- Wang, J.; Chen, J. The application of complex image theory in rapid simulations of electromagnetic logging while drilling in unparallel layered formation. In Proceedings of the 2016 IEEE International Symposium on Antennas and Propagation (APSURSI), Fajardo, PR, USA, 26 June–1 July 2016. [Google Scholar]
- Yang, Y.L.; Li, X.; Ding, S.H.; Wang, W.S. A numerical algorithm for arbitrary real-order Hankel transform. Wuhan Univ. J. Nat. Sci. 2022, 27, 26–34. [Google Scholar] [CrossRef]
- Wang, H.L.; Yang, K.D.; Zheng, K. Electromagnetic field radiated in air from a horizontal/vertical magnetic dipole in sea. J. Electromagn. Waves Appl. 2015, 29, 858–873. [Google Scholar] [CrossRef]
- Wang, J.H.; Li, B. Electromagnetic fields generated above a shallow sea by a submerged horizontal electric dipole. IEEE Trans. Antennas Propag. 2017, 65, 2707–2712. [Google Scholar] [CrossRef]
- Xu, H.L.; Gu, T.T.; Li, K. Approximated solutions for ELF near-field propagation due to a horizontal electric dipole excitation near the sea-rock boundary. IEEE Trans. Antennas Propag. 2018, 66, 2471–2481. [Google Scholar] [CrossRef]
- Peng, H.Y.; Chen, Y.; Wang, Y.X.; Zhang, S.T.; Mao, Y.Z. Low frequency fields excited by a horizontal magnetic dipole near boundary of lossy half-space. In Proceedings of the 2018 12th International Symposium on Antennas, Propagation and EM Theory (ISAPE), Hangzhou, China, 3–6 December 2018. [Google Scholar]
- Shoaib, H.S. Electromagnetic field analysis of a vertical magnetic dipole antenna in planar multi-layered media. IETE Tech. Rev. 2020, 38, 357–364. [Google Scholar] [CrossRef]
- Zeng, H.R.; He, T.; Li, K. Mode theory and propagation of ELF radio wave in a multilayered oceanic lithosphere waveguide. IEEE Trans. Antennas Propag. 2021, 69, 5870–5880. [Google Scholar]
- Xu, H.; Gu, T.; Zhu, Y.; Wei, X.; Li, L.; Yin, H. Communication with a magnetic dipole: Near-field propagation from air to undersea. IEEE Trans. Antennas Propag. 2021, 69, 1052–1064. [Google Scholar] [CrossRef]
- Hu, S.M.; Xie, H.; Ding, T. Electromagnetic field variation of ELF near-region excited by HED in a homogeneous half-space model. Appl. Sci. 2023, 13, 7499. [Google Scholar] [CrossRef]
- Tasic, M.S.; Kolundzija, B.M. Method of Moment weighted domain decomposition method for scattering from large platforms. IEEE Trans. Antennas Propag. 2018, 66, 3577–3589. [Google Scholar] [CrossRef]
- Tran, T.H.; Baba, Y.; Somu, V.; Rakov, V.A. FDTD Modeling of LEMP Propagation in the Earth-Ionosphere Waveguide with Emphasis on Realistic Representation of Lightning Source. J. Geophys. Res. Atmos. 2017, 122, 12918–12937. [Google Scholar] [CrossRef]
- Gradshteyn, I.S.; Ryzhik, I.M. Definite Integrals of Special Functions. In Table of Integrals, Series, and Products, 8th ed.; Zwillinger, D., Moll, V., Eds.; Academic Press: Pittsburgh, PA, USA, 2014; pp. 637–775. [Google Scholar]







Disclaimer/Publisher’s Note: The statements, opinions and data contained in all publications are solely those of the individual author(s) and contributor(s) and not of MDPI and/or the editor(s). MDPI and/or the editor(s) disclaim responsibility for any injury to people or property resulting from any ideas, methods, instructions or products referred to in the content. |
© 2023 by the authors. Licensee MDPI, Basel, Switzerland. This article is an open access article distributed under the terms and conditions of the Creative Commons Attribution (CC BY) license (https://creativecommons.org/licenses/by/4.0/).
Share and Cite
Hu, S.; Xie, H.; Li, Z. Evaluation of Electromagnetic Fields of Extremely Low-Frequency Horizontal Electric Dipoles at Sea–Air Boundaries. Electronics 2023, 12, 4165. https://doi.org/10.3390/electronics12194165
Hu S, Xie H, Li Z. Evaluation of Electromagnetic Fields of Extremely Low-Frequency Horizontal Electric Dipoles at Sea–Air Boundaries. Electronics. 2023; 12(19):4165. https://doi.org/10.3390/electronics12194165
Chicago/Turabian StyleHu, Sumou, Hui Xie, and Zhangming Li. 2023. "Evaluation of Electromagnetic Fields of Extremely Low-Frequency Horizontal Electric Dipoles at Sea–Air Boundaries" Electronics 12, no. 19: 4165. https://doi.org/10.3390/electronics12194165
APA StyleHu, S., Xie, H., & Li, Z. (2023). Evaluation of Electromagnetic Fields of Extremely Low-Frequency Horizontal Electric Dipoles at Sea–Air Boundaries. Electronics, 12(19), 4165. https://doi.org/10.3390/electronics12194165

