RegFuzz: A Linear Regression-Based Approach for Seed Scheduling in Directed Fuzzing
Abstract
:1. Introduction
- We have devised four distinct labels for each seed, capturing essential aspects such as code coverage, seed distance, execution efficiency, and vulnerability discovery efficiency.
- We have introduced a linear regression model to train and assign labels to seeds, thereby granting more fuzzing opportunities to those seeds with promising potential.
- We have implemented a fully functional prototype of RegFuzz, applied it to fuzz seven open-source programs, and conducted a comparative analysis against three state-of-the-art fuzzers. The results demonstrate the superior performance of RegFuzz when compared to other existing fuzzers.
2. Background
2.1. American Fuzzy Lop (AFL)
- Program monitor: This module provides an execution environment for the target programs and monitors their runtime information during the fuzzing process. It captures the program’s running status and, when a seed triggers a program crash, preserves the seed for vulnerability analysis.
- Seed generator: The seed generator serves as the core module of the fuzzing system and significantly influences the fuzzing outcomes. It relies heavily on seed scheduling and mutation strategies, which involve selecting promising seeds and determining how to mutate them effectively.
- Crash detector and filter: The crash detector and filter play a critical role in the fuzzing process. Treating all abnormal program states as vulnerabilities would result in a high false positive rate. In order to address this, the fuzzing system preserves the seed that triggers an exception for subsequent replay verification, ensuring a low false alarm rate. The operation of vulnerability detectors may vary across different operating system platforms. For instance, on Linux, the fuzzer detects and filters vulnerabilities based on the specific signals triggered during program crashes (such as SIGSEGV).
2.2. Linear Regression Model
3. Motivation
| Listing 1. Simplified code snippet of CVE-2023-28856. |
![]() |
4. The RegFuzz Approach
4.1. Overview
4.2. Seed Labels
4.2.1. Basic Block Distance and Variable Distance
4.3. The Main Fuzzing Loop of RegFuzz
| Algorithm 1 The main fuzzing loop of RegFuzz |
|
5. Evaluation
5.1. Experiment Configuration
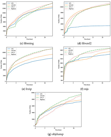
5.1.1. Code Coverage Analysis
5.1.2. Vulnerabilities Analysis
5.1.3. Statistical Analysis
6. Discussion
7. Related Work
7.1. General Fuzzing
7.2. Directed Fuzzing
8. Conclusions
Author Contributions
Funding
Data Availability Statement
Conflicts of Interest
References
- Böhme, M.; Pham, V.T.; Nguyen, M.D.; Roychoudhury, A. Directed greybox fuzzing. In Proceedings of the 2017 ACM SIGSAC Conference on Computer and Communications Security, Dallas, TX, USA, 30 October–3 November 2017; pp. 2329–2344. [Google Scholar]
- Zalewski, M. American Fuzzy Lop. Available online: https://lcamtuf.coredump.cx/afl/ (accessed on 20 March 2023).
- Lyu, C.; Ji, S.; Zhang, X.; Liang, H.; Zhao, B.; Lu, K.; Beyah, R. EMS: History-Driven Mutation for Coverage-based Fuzzing. In Proceedings of the 29rd Annual Network and Distributed System Security Symposium (NDSS), San Diego, CA, USA, 24–28 April 2022; pp. 24–28. [Google Scholar]
- Jauernig, P.; Jakobovic, D.; Picek, S.; Stapf, E.; Sadeghi, A.R. DARWIN: Survival of the Fittest Fuzzing Mutators. In Proceedings of the 30th Annual Network and Distributed System Security Symposium (NDSS), San Diego, CA, USA, 27 February–3 March 2023. [Google Scholar]
- Huang, H.; Guo, Y.; Shi, Q.; Yao, P.; Wu, R.; Zhang, C. Beacon: Directed grey-box fuzzing with provable path pruning. In Proceedings of the 2022 IEEE Symposium on Security and Privacy (S&P), San Francisco, CA, USA, 22–26 May 2022; pp. 36–50. [Google Scholar]
- Liang, H.; Zhang, Y.; Yu, Y.; Xie, Z.; Jiang, L. Sequence coverage directed greybox fuzzing. In Proceedings of the 2019 IEEE/ACM 27th International Conference on Program Comprehension (ICPC), Montreal, QC, Canada, 25–26 May 2019; IEEE Computer Society: Washington, DC, USA, 2019; pp. 249–259. [Google Scholar]
- Liang, H.; Jiang, L.; Ai, L.; Wei, J. Sequence directed hybrid fuzzing. In Proceedings of the 2020 IEEE 27th International Conference on Software Analysis, Evolution and Reengineering (SANER), London, ON, Canada, 18–21 February 2020; pp. 127–137. [Google Scholar]
- Chen, Y.; Li, P.; Xu, J.; Guo, S.; Zhou, R.; Zhang, Y.; Wei, T.; Lu, L. Savior: Towards bug-driven hybrid testing. In Proceedings of the 2020 IEEE Symposium on Security and Privacy (S&P), San Francisco, CA, USA, 17–21 May 2020; pp. 1580–1596. [Google Scholar]
- Yu, L.; Lu, Y.; Shen, Y.; Li, Y.; Pan, Z. Vulnerability-oriented directed fuzzing for binary programs. Sci. Rep. 2022, 12, 4271. [Google Scholar] [CrossRef] [PubMed]
- Chen, H.; Xue, Y.; Li, Y.; Chen, B.; Xie, X.; Wu, X.; Liu, Y. Hawkeye: Towards a desired directed grey-box fuzzer. In Proceedings of the 2018 ACM SIGSAC Conference on Computer and Communications Security, Toronto, ON, Canada, 15–19 October 2018; pp. 2095–2108. [Google Scholar]
- Lee, G.; Shim, W.; Lee, B. Constraint-guided directed greybox fuzzing. In Proceedings of the 30th USENIX Security Symposium, Virtual Event, 11–13 August 2021; pp. 3559–3576. [Google Scholar]
- Rawat, S.; Jain, V.; Kumar, A.; Cojocar, L.; Giuffrida, C.; Bos, H. VUzzer: Application-aware Evolutionary Fuzzing. In Proceedings of the 24th Annual Network and Distributed System Security Symposium (NDSS), San Diego, CA, USA, 26 February–1 March 2017; Volume 17, pp. 1–14. [Google Scholar]
- Lin, M.; Zeng, Y.; Li, Y. RegFuzz: A Linear Regression-Based Approach for Seed Scheduling in Directed Fuzzing. In Proceedings of the 2023 4th Information Communication Technologies Conference (ICTC), Nanjing, China, 17–19 May 2023; pp. 363–368. [Google Scholar]
- Fioraldi, A.; Maier, D.; Eißfeldt, H.; Heuse, M. AFL++: Combining Incremental Steps of Fuzzing Research. In Proceedings of the 14th USENIX Workshop on Offensive Technologies (WOOT), Boston, MA, USA, 10–11 August 2020. [Google Scholar]
- Serebryany, K. Continuous fuzzing with libfuzzer and addresssanitizer. In Proceedings of the 2016 IEEE Cybersecurity Development (SecDev), Boston, MA, USA, 3–4 November 2016; p. 157. [Google Scholar]
- Householder, A.D.; Foote, J.M. Probability-Based Parameter Selection for Black-Box Fuzz Testing; Technical Report; Carnegie-Mellon University Pittsburgh Pa Software Engineering Institute: Pittsburgh, PA, USA, 2012. [Google Scholar]
- Rash, M. afl-cov. 2014. Available online: http://cipherdyne.com/afl-cov/ (accessed on 20 March 2023).
- Serebryany, K.; Bruening, D.; Potapenko, A.; Vyukov, D. AddressSanitizer: A fast address sanity checker. In Proceedings of the 2012 USENIX Annual Technical Conference (USENIX ATC), Boston, MA, USA, 12–15 June 2012; pp. 309–318. [Google Scholar]
- Klees, G.; Ruef, A.; Cooper, B.; Wei, S.; Hicks, M. Evaluating fuzz testing. In Proceedings of the 2018 ACM SIGSAC Conference on Computer and Communications Security, Toronto, ON, Canada, 15–19 October 2018; pp. 2123–2138. [Google Scholar]
- Nguyen, M.D.; Bardin, S.; Bonichon, R.; Groz, R.; Lemerre, M. Binary-level Directed Fuzzing for Use-After-Free Vulnerabilities. In Proceedings of the 23rd International Symposium on Research in Attacks, Intrusions and Defenses (RAID), San Sebastian, Spain, 14–15 October 2020; pp. 47–62. [Google Scholar]
- Wang, H.; Xie, X.; Li, Y.; Wen, C.; Li, Y.; Liu, Y.; Qin, S.; Chen, H.; Sui, Y. Typestate-guided fuzzer for discovering use-after-free vulnerabilities. In Proceedings of the 2020 IEEE/ACM 42nd International Conference on Software Engineering (ICSE), Seoul, Republic of Korea, 27 June–19 July 2020; pp. 999–1010. [Google Scholar]
- Keller, B.N.; Meyers, B.S.; Meneely, A. What Happens When We Fuzz? Investigating OSS-Fuzz Bug History. In Proceedings of the 2023 IEEE/ACM 20th International Conference on Mining Software Repositories (MSR), Los Alamitos, CA, USA, 15–16 May 2023; pp. 207–217. [Google Scholar] [CrossRef]
- Lemieux, C.; Sen, K. Fairfuzz: A targeted mutation strategy for increasing greybox fuzz testing coverage. In Proceedings of the 33rd ACM/IEEE International Conference on Automated Software Engineering, Montpellier, France, 3–7 September 2018; pp. 475–485. [Google Scholar]
- Lyu, C.; Ji, S.; Zhang, C.; Li, Y.; Lee, W.H.; Song, Y.; Beyah, R. MOPT: Optimized mutation scheduling for fuzzers. In Proceedings of the 28th USENIX Security Symposium, Santa Clara, CA, USA, 14–16 August 2019; pp. 1949–1966. [Google Scholar]
- Böhme, M.; Pham, V.T.; Roychoudhury, A. Coverage-based greybox fuzzing as markov chain. IEEE Trans. Softw. Eng. 2017, 45, 489–506. [Google Scholar] [CrossRef]
- Chen, P.; Chen, H. Angora: Efficient fuzzing by principled search. In Proceedings of the 2018 IEEE Symposium on Security and Privacy (S&P), San Francisco, CA, USA, 21–23 May 2018; pp. 711–725. [Google Scholar]
- Yue, T.; Wang, P.; Tang, Y.; Wang, E.; Yu, B.; Lu, K.; Zhou, X. Ecofuzz: Adaptive energy-saving greybox fuzzing as a variant of the adversarial multi-armed bandit. In Proceedings of the 29th USENIX Security Symposium, Boston, MA, USA, 12–14 August 2020; pp. 2307–2324. [Google Scholar]
- Zhu, X.; Feng, X.; Meng, X.; Wen, S.; Camtepe, S.; Xiang, Y.; Ren, K. CSI-Fuzz: Full-speed edge tracing using coverage sensitive instrumentation. IEEE Trans. Dependable Secur. Comput. 2020, 19, 912–923. [Google Scholar] [CrossRef]
- Lin, M.; Zeng, Y.; Wu, T.; Wang, Q.; Fang, L.; Guo, S. GSA-Fuzz: Optimize Seed Mutation with Gravitational Search Algorithm. Secur. Commun. Netw. 2022, 2022, 1505842. [Google Scholar] [CrossRef]
- She, D.; Krishna, R.; Yan, L.; Jana, S.; Ray, B. MTFuzz: Fuzzing with a multi-task neural network. In Proceedings of the 28th ACM Joint Meeting on European Software Engineering Conference and Symposium on the Foundations of Software Engineering, Virtual Event, 8–13 November 2020; pp. 737–749. [Google Scholar]
- Liang, J.; Jiang, Y.; Wang, M.; Jiao, X.; Chen, Y.; Song, H.; Choo, K.K.R. Deepfuzzer: Accelerated deep greybox fuzzing. IEEE Trans. Dependable Secur. Comput. 2019, 18, 2675–2688. [Google Scholar] [CrossRef]
- Li, Y.; Xue, Y.; Chen, H.; Wu, X.; Zhang, C.; Xie, X.; Wang, H.; Liu, Y. Cerebro: Context-aware adaptive fuzzing for effective vulnerability detection. In Proceedings of the 2019 27th ACM Joint Meeting on European Software Engineering Conference and Symposium on the Foundations of Software Engineering, Tallinn, Estonia, 26–30 August 2019; pp. 533–544. [Google Scholar]
- Chen, Y.; Ahmadi, M.; Wang, B.; Lu, L. MEUZZ: Smart Seed Scheduling for Hybrid Fuzzing. In Proceedings of the 23rd International Symposium on Research in Attacks, Intrusions and Defenses (RAID), San Sebastian, Spain, 14–15 October 2020; pp. 77–92. [Google Scholar]
- Herrera, A.; Gunadi, H.; Magrath, S.; Norrish, M.; Payer, M.; Hosking, A.L. Seed selection for successful fuzzing. In Proceedings of the 30th ACM SIGSOFT International Symposium on Software Testing and Analysis, Virtual Event, 11–17 July 2021; pp. 230–243. [Google Scholar]
- She, D.; Shah, A.; Jana, S. Effective Seed Scheduling for Fuzzing with Graph Centrality Analysis. arXiv 2022, arXiv:2203.12064. [Google Scholar]
- Zong, P.; Lv, T.; Wang, D.; Deng, Z.; Liang, R.; Chen, K. Fuzzguard: Filtering out unreachable inputs in directed grey-box fuzzing through deep learning. In Proceedings of the 29th USENIX Security Symposium, Boston, MA, USA, 12–14 August 2020; pp. 2255–2269. [Google Scholar]




| Seed Labels | Description |
|---|---|
| Seed coverage efficiency | Coverage generated by seed during fuzzing |
| Seed distance | Distance between seed and target basic blocks |
| Seed crash efficiency | Crashes generated by seed during fuzzing |
| Seed execution speed | Average speed of seed fuzzing execution |
| Target | Format | Command |
|---|---|---|
| cxxfilt | txt | ./cxxfilt |
| giflib | gif | ./gifsponge |
| libxml2 | xml | ./xmllint –valid –recover @@ |
| objdump | elf | ./objdump -SD @@ |
| mjs | file | ./mjs-bin -f @@ |
| libming | swf | ./swftophp @@ |
| lrzip | lrz | ./lrzip -t @@ |
| Targets | Paths | Line Coverage | ||||||
|---|---|---|---|---|---|---|---|---|
| AFL | AFL++ | AFLGo | RegFuzz | AFL | AFL++ | AFLGo | RegFuzz | |
| cxxfilt | 4903 | 7818 | 7778/0 | 7881 | 16.92% | 21.01% | 20.53% | 21.18% |
| giflib | 3044 | 5052 | 4762 | 5048 | 13.16% | 17.27% | 15.03% | 17.13% |
| libxml2 | 3375 | 10,910 | 10,883 | 11,330 | 42.28% | 73.12% | 72.25% | 73.36% |
| objdump | 7323 | 9626 | 7822 | 9147 | 40.07% | 41.93% | 40.31% | 41.46% |
| libming | 12,244 | 14,328 | 12,881 | 14,280 | 33.67% | 37.05% | 35.12% | 37.05% |
| mjs | 1412 | 1686 | 1533 | 1671 | 7.21% | 7.62% | 7.21% | 7.56% |
| lrzip | 8050 | 11,280 | 9362 | 11,266 | 44.56% | 48.88% | 45.23% | 48.88% |
| Target | AFL | AFL++ | AFLGo | RegFuzz |
|---|---|---|---|---|
| cxxfilt | 36/2 | 47/2 | 325/4 | 244/4 |
| giflib | 2/1 | 14/2 | 82/3 | 80/4 |
| libxml2 | 0 | 0 | 0 | 0 |
| objdump | 15/2 | 23/2 | 88/2 | 106/3 |
| libming | 1/1 | 1/1 | 16/3 | 8/2 |
| mjs | 0 | 0 | 0 | 0 |
| lrzip | 0 | 7/1 | 34/2 | 40/2 |
| Target | AFL | AFL++ | AFLGo | RegFuzz |
|---|---|---|---|---|
| cxxfilt | 3 h 32 m | 3 h 10 m | 6 m | 6 m |
| objdump | 7 h 44 m | 6 h 29 m | 35 m | 33 m |
| libming | 2 h 31 m | 1 h 47 m | 1 m | 1 m |
| lrzip | N | 11 h 17 m | 2 h 10 m | 1 h 38 m |
| Targets | Total Paths | Line Coverage | ||||
|---|---|---|---|---|---|---|
| cxxfilt | ||||||
| giflib | ||||||
| libxml2 | ||||||
| objdump | ||||||
| libming | ||||||
| mjs | ||||||
| lrzip | ||||||
Disclaimer/Publisher’s Note: The statements, opinions and data contained in all publications are solely those of the individual author(s) and contributor(s) and not of MDPI and/or the editor(s). MDPI and/or the editor(s) disclaim responsibility for any injury to people or property resulting from any ideas, methods, instructions or products referred to in the content. |
© 2023 by the authors. Licensee MDPI, Basel, Switzerland. This article is an open access article distributed under the terms and conditions of the Creative Commons Attribution (CC BY) license (https://creativecommons.org/licenses/by/4.0/).
Share and Cite
Lin, M.; Zeng, Y.; Li, Y. RegFuzz: A Linear Regression-Based Approach for Seed Scheduling in Directed Fuzzing. Electronics 2023, 12, 3650. https://doi.org/10.3390/electronics12173650
Lin M, Zeng Y, Li Y. RegFuzz: A Linear Regression-Based Approach for Seed Scheduling in Directed Fuzzing. Electronics. 2023; 12(17):3650. https://doi.org/10.3390/electronics12173650
Chicago/Turabian StyleLin, Mingmin, Yingpei Zeng, and Yang Li. 2023. "RegFuzz: A Linear Regression-Based Approach for Seed Scheduling in Directed Fuzzing" Electronics 12, no. 17: 3650. https://doi.org/10.3390/electronics12173650
APA StyleLin, M., Zeng, Y., & Li, Y. (2023). RegFuzz: A Linear Regression-Based Approach for Seed Scheduling in Directed Fuzzing. Electronics, 12(17), 3650. https://doi.org/10.3390/electronics12173650


