Hybrid Spiking Fully Convolutional Neural Network for Semantic Segmentation
Abstract
:1. Introduction
2. Methods and Materials
2.1. Network Architecture
2.2. Surrogate Gradient and Training Algorithms
| Algorithm 1: Hybrid SFCN network for pixel-level semantic segmentation |
| Input: RGB image(3 × 384 × 384), T = 6, max_epoch = 300 Output: semantic segmentation result 1: for epoch to max_epoch do 2: for pixel in image do 3: for t to T do 4: Spike Encoder → spike sequence (length = 64) 5: end for 6: pixel Spiking Encoder → spike sequence (T × 64) 7: end for 8: image Spiking Encoder → feature map (T × 64 × 384 × 384) 9: Spike Feature Extractor → feature map(T × 1024 × 24 × 24) 10: Fire rate → feature map (1024 × 24 × 24) 11: Unsample (four Decoder Block) → feature map (64 × 384 × 384) 12: 1 × 1 convolutional → feature map (21 × 384 × 384) 13: calculate loss 14: Do backpropagation and weight update 15: end for |
3. Experiments and Results
3.1. Dataset and Training Parameters
3.2. Quantifiers for the Testing Accuracy
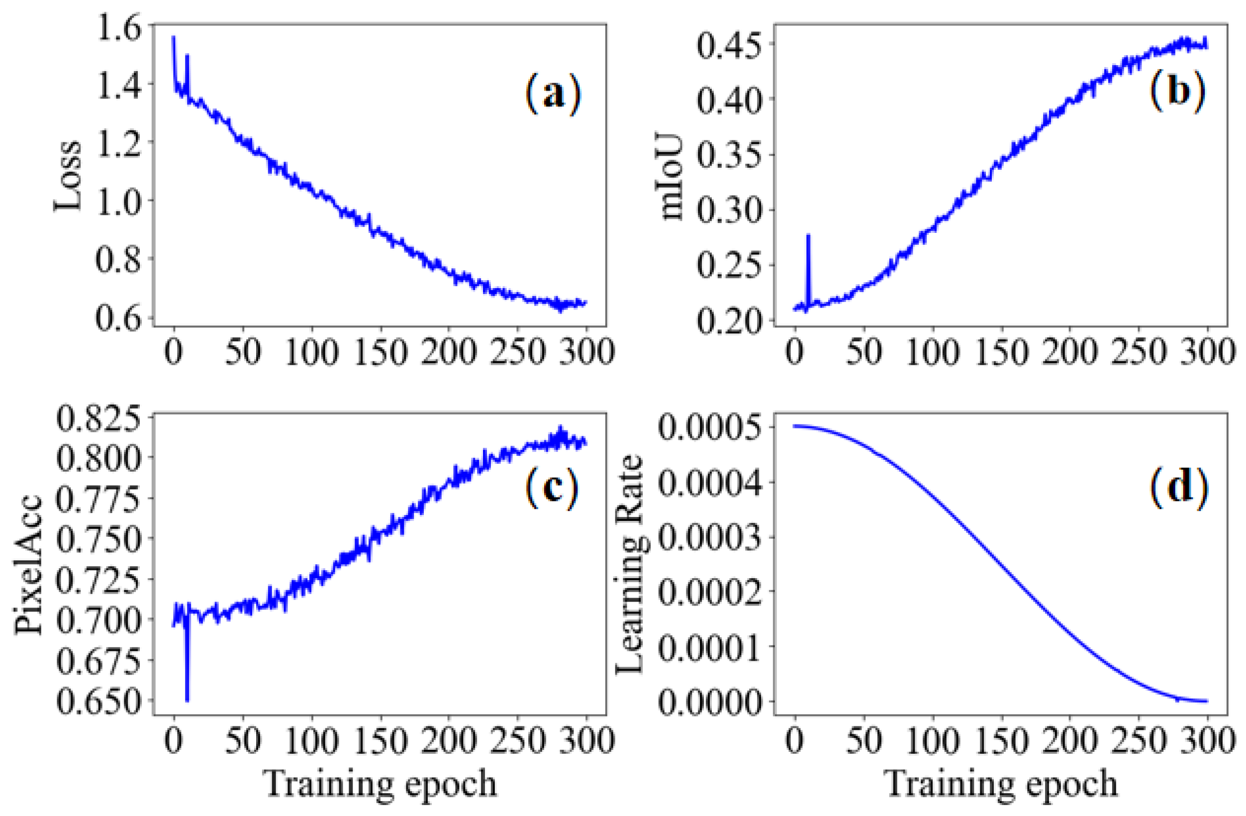
3.3. Results
4. Conclusions
Author Contributions
Funding
Data Availability Statement
Conflicts of Interest
References
- Long, J.; Shelhamer, E.; Darrell, T. Fully convolutional networks for semantic segmentation. In Proceedings of the IEEE Conference on Computer Vision and Pattern Recognition, Boston, MA, USA, 7–12 June 2015; Volume 10, pp. 3431–3440. [Google Scholar]
- Ronneberger, O.; Fischer, P.; Brox, T. U-Net: Convolutional networks for biomedical image segmentation. Med. Image Comput. Comput.-Assist. Interv. 2015, 9351, 234–241. [Google Scholar]
- Chaurasia, A.; Culurciello, E. Linknet: Exploiting encoder representations for efficient semantic segmentation. In Proceedings of the 2017 IEEE Visual Communications and Image Processing (VCIP), St. Petersburg, FL, USA, 10–13 December 2017; pp. 1–4. [Google Scholar]
- Chen, L.C.; Papandreou, G.; Kokkinos, I. Deeplab: Semantic image segmentation with deep convolutional nets, atrous convolution, and fully connected crfs. IEEE Trans. Pattern Anal. Mach. Intell. 2017, 40, 834–848. [Google Scholar] [CrossRef] [PubMed]
- Badrinarayanan, V.; Kendall, A.; Cipolla, R. Segnet: A deep convolutional encoder-decoder architecture for image segmentation. IEEE Trans. Pattern Anal. Mach. Intell. 2017, 39, 2481–2495. [Google Scholar] [CrossRef]
- Lu, Y.; Chen, Y.; Zhao, D.; Chen, J. Graph-FCN for Image Semantic Segmentation; Springer International Publishing: Cham, Switzerland, 2019; Volume 11554, pp. 97–105. [Google Scholar]
- Geng, Q.; Zhang, H.; Qi, X.; Huang, G.; Yang, R.; Zhou, Z. Gated path selection network for semantic segmentation. IEEE Trans. Image Process. 2021, 30, 2436–2449. [Google Scholar] [CrossRef]
- Sze, V.; Chen, Y.H.; Yang, T.J.; Emer, J.S. Effificient processing of deep neural networks: A tutorial and survey. Proc. IEEE Inst. Electr. Electron. Eng. 2017, 105, 2295–2329. [Google Scholar] [CrossRef]
- Jegou, H.; Douze, M.; Schmid, C. Product quantization for nearest neighbor search. IEEE Trans. Pattern Anal. Mach. Intell. 2010, 33, 117–128. [Google Scholar] [CrossRef]
- Akopyan, F.; Sawada, J.; Cassidy, A.; Alvarez-Icaza, R.; Arthur, J.; Merolla, P.; Imam, N.; Nakamura, Y.; Datta, P.; Nam, G.J.; et al. Truenorth: Design and tool flow of a 65 mw 1 million neuron programmable neurosynaptic chip. IEEE Trans. Comput.-Aided Des. Integr. Circuits Syst. 2015, 34, 1537–1557. [Google Scholar] [CrossRef]
- Davies, M.; Srinivasa, N.; Lin, T.; Chinya, G.; Cao, Y.; Choday, S.H.; Dimou, G.; Joshi, P.; Imam, N.; Jain, S.; et al. Loihi: A neuromorphic manycore processor with on-chip learning. IEEE Micro 2018, 38, 82–99. [Google Scholar] [CrossRef]
- Li, S.; Zhang, Z.; Mao, R.; Xiao, J.; Chang, L.; Zhou, J. A fast and energy-efficient SNN processor with adaptive clock/event-driven computation scheme and online learning. IEEE Trans. Circuits Syst. I Regul. Pap. 2021, 68, 1543–1552. [Google Scholar] [CrossRef]
- Roy, K.; Jaiswal, A.; Panda, P. Towards spike-based machine intelligence with neuromorphic computing. Nature 2019, 575, 607–617. [Google Scholar] [CrossRef]
- Huynh, P.K.; Varshika, M.L.; Paul, A.; Isik, M.; Balaji, A.; Das, A. Implementing spiking neural networks on neuromorphic architectures: A review. arXiv 2022, arXiv:2202.08897. [Google Scholar]
- Shastri, B.J.; Tait, A.N.; de Lima, T.F.; Pernice, W.H.P.; Bhaskaran, H.; Wright, C.D.; Prucnal, P.R. Photonics for artificial intelligence and neuromorphic computing. Nat. Photon. 2021, 15, 102–114. [Google Scholar] [CrossRef]
- Xiang, S.; Zhang, Y.; Gong, J.; Guo, X.; Lin, L.; Hao, Y. STDP-based unsupervised spike pattern learning in a photonic spiking neural network with VCSELs and VCSOAs. IEEE J. Quantum Electron. 2019, 25, 1–9. [Google Scholar] [CrossRef]
- Xiang, S.; Ren, Z.; Zhang, Y.; Song, Z. Training a multi-layer photonic spiking neural network with modified supervised learning algorithm based on photonic STDP. IEEE J. Quantum Electron. 2020, 27, 1–9. [Google Scholar] [CrossRef]
- Ferré, P.; Mamalet, F.; Thorpe, S.J. Unsupervised feature learning with winner-takes-all based stdp. Front. Comput. Neurosci. 2018, 12, 24. [Google Scholar] [CrossRef] [PubMed]
- Rueckauer, B.; Lungu, I.-A.; Hu, Y.; Pfeiffer, M.; Liu, S.-C. Conversion of continuous-valued deep networks to efficient event-driven networks for image classification. Front. Neurosci. 2017, 11, 682. [Google Scholar] [CrossRef]
- Midya, R.; Wang, Z.; Asapu, S. Artificial neural network (ANN) to spiking neural network (SNN) converters based on diffusive memristors. Adv. Electron. Mater. 2019, 5, 1900060. [Google Scholar] [CrossRef]
- Ding, J.; Yu, Z.; Tian, Y.; Huang, T. Optimal ANN-SNN conversion for fast and accurate inference in deep spiking neural networks. arXiv 2021, arXiv:2105.11654. [Google Scholar]
- Bu, T.; Fang, W.; Ding, J.; Dai, P.; Yu, Z.; Huang, T. Optimal ANN-SNN conversion for high-accuracy and ultra-low-latency spiking neural networks. arXiv 2023, arXiv:2303.04347. [Google Scholar]
- Neftci, E.; Mostafa, H.; Zenke, F. Surrogate gradient learning in spiking neural networks: Bringing the power of gradient-based optimization to spiking neural networks. IEEE Signal Process. Mag. 2019, 36, 51–63. [Google Scholar] [CrossRef]
- Safa, A.; Catthoor, F.; Gielen, G. Convsnn: A surrogate gradient spiking neural framework for radar gesture recognition. Softw. Impacts 2021, 10, 100131. [Google Scholar] [CrossRef]
- Zenke, F.; Vogels, T. The remarkable robustness of surrogate gradient learning for instilling complex function in spiking neural networks. Neural Comput. 2021, 33, 899–925. [Google Scholar] [CrossRef] [PubMed]
- Kim, S.; Park, S.; Na, B.; Yoon, S. Spiking-yolo: Spiking neural network for energy-efficient object detection. Proc. AAAI Conf. Artif. Intell. 2020, 34, 11270–11277. [Google Scholar] [CrossRef]
- Kim, Y.; Chough, J.; Panda, P. Beyond classification: Directly training spiking neural networks for semantic segmentation. Neuromorphic Comput. Eng. 2022, 2, 044015. [Google Scholar] [CrossRef]
- Everingham, M.; Van Gool, L.; Williams, C.K.I.; Winn, J.; Zisserman, A. The pascal visual object classes (voc) challenge. Int. J. Comput. Vis. 2010, 88, 303–338. [Google Scholar] [CrossRef]
- Lin, T.Y.; Maire, M.; Belongie, S.; Bourdev, L.; Girshick, R.; Hays, J.; Perona, P.; Zitnick, C.L.; Dollár, P. Microsoft coco: Common objects in context. arXiv 2014, arXiv:1405.0312, 740–755. [Google Scholar]
- Al-Rawi, M.; Qutaishat, M.; Arrar, M. An improved matched filter for blood vessel detection of digital retinal images. Comput. Biol. Med. 2007, 37, 262–267. [Google Scholar] [CrossRef]
- Paszke, A.; Gross, S.; Massa, F.; Lerer, A.; Bradbury, J.; Chanan, G.; Killeen, T.; Lin, Z.; Gimelshein, N.; Antiga, L.; et al. Pytorch: An imperative style, high-performance deep learning library. Adv. Neural Inf. Process. Syst. 2019, 32, 8024–8035. [Google Scholar]
- Github. Available online: https://github.com/fangwei123456/spikingjelly (accessed on 17 December 2019).
- Yuan, Q.; Chen, K.; Yu, Y.; Le, N.Q.K.; Chua, M.C.H. Prediction of anticancer peptides based on an ensemble model of deep learning and machine learning using ordinal positional encoding. Brief. Bioinform. 2023, 24, 630. [Google Scholar] [CrossRef]
- Kha, Q.H.; Ho, Q.T.; Le, N.Q.K. Identifying SNARE Proteins Using an Alignment-Free Method Based on Multiscan Convolutional Neural Network and PSSM Profiles. J. Chem. Inf. Model. 2022, 62, 4820–4826. [Google Scholar] [CrossRef]
- Lee, J.; Delbruck, T.; Pfeiffer, M. Training deep spiking neural networks using backpropagation. Front. Neurosci. 2016, 10, 508. [Google Scholar] [CrossRef] [PubMed]
- Park, S.; Kim, S.; Na, B.; Yoon, S. T2FSNN: Deep spiking neural networks with time-to-first-spike coding. In Proceedings of the 2020 57th ACM/IEEE Design Automation Conference (DAC), San Francisco, CA, USA, 20–24 July 2020; pp. 1–6. [Google Scholar]
- Rathi, N.; Roy, K. Diet-SNN: Direct input encoding with leakage and threshold optimization in deep spiking neural networks. arXiv 2020, arXiv:2008.03658. [Google Scholar]
- Horowitz, M. 1.1 Computing’s energy problem (and what we can do about it). In Proceedings of the 2014 IEEE International Solid-State Circuits Conference Digest of Technical Papers (ISSCC), San Francisco, CA, USA, 9–13 February 2014; pp. 10–14. [Google Scholar]









| Layer | Param | Feature Map Size |
|---|---|---|
| Conv2d | 1792 | B, 64, 384, 384 |
| IFNode | 0 | T, B, 64, 384, 384 |
| MaxPool2d | 0 | T, B, 64, 192, 192 |
| Conv2d | 73,856 | T, B, 128, 192, 192 |
| IFNode | 0 | T, B, 128, 192, 192 |
| MaxPool2d | 0 | T, B, 128, 96, 96 |
| Conv2d | 295,168 | T, B, 256, 96, 96 |
| IFNode | 0 | T, B, 256, 96, 96 |
| MaxPool2d | 0 | T, B, 256, 48, 48 |
| Conv2d | 1,180,160 | T, B, 512, 48, 48 |
| IFNode | 0 | T, B, 512, 48, 48 |
| MaxPool2d | 0 | T, B, 512, 24, 24 |
| Conv2d | 4,719,616 | T, B, 1024, 24, 24 |
| IFNode | 0 | T, B, 1024, 24, 24 |
| Parameter | Description | Value |
|---|---|---|
| T | Time window | 6 ms |
| dt | Simulation time step | 1 ms |
| Vth | Membrane voltage threshold | 1 mV |
| opt | Optimizer | Adam |
| r | Initial Learning rate | 0.0005 |
| bs | Batch size | 8 |
| Lr_sch | Lr_scheduler | Cos |
| Seq | Compare Experiments | Dataset | mIoU | Pixel Acc |
|---|---|---|---|---|
| 1 | T = 6, upsample = Upsampling, surrogate_function = SoftSign | VOC2012 | 0.397 | 0.737 |
| 2 | T = 4, upsample = Upsampling, surrogate_function = SoftSign | VOC2012 | 0.319 | 0.708 |
| 3 | T = 6, upsample = ConvTransposed, surrogate_function = SoftSign | VOC2012 | 0.377 | 0.729 |
| 4 | T = 6, upsample = Upsampling, surrogate_function = Sigmoid | VOC2012 | 0.375 | 0.727 |
| 5 | T = 6, upsample = Upsampling, surrogate_function = SoftSign | COCO2017 | 0.421 | 0.796 |
| 6 | T = 4, upsample = Upsampling, surrogate_function = SoftSign | COCO2017 | 0.401 | 0.708 |
| 7 | T = 6, upsample = ConvTransposed, surrogate_function = SoftSign | COCO2017 | 0.396 | 0.698 |
| 8 | T = 6, upsample = Upsampling, surrogate_function = Sigmoid | COCO2017 | 0.413 | 0.736 |
| 9 | T = 6, upsample = Upsampling, surrogate_function = SoftSign | DRIVE | 0.397 | 0.737 |
| 10 | T = 4, upsample = Upsampling, surrogate_function = SoftSign | DRIVE | 0.319 | 0.708 |
| 11 | T = 6, upsample = ConvTransposed, surrogate_function = SoftSign | DRIVE | 0.377 | 0.729 |
| 12 | T = 6, upsample = Upsampling, surrogate_function = Sigmoid | DRIVE | 0.375 | 0.727 |
| 13 | T = 6, upsample = Upsampling, surrogate_function = SoftSign | Cityscapes | 0.602 | 0.617 |
| 14 | T = 4, upsample = Upsampling, surrogate_function = SoftSign | Cityscapes | 0.608 | 0.616 |
| 15 | T = 6, upsample = ConvTransposed, surrogate_function = SoftSign | Cityscapes | 0.526 | 0.561 |
| 16 | T = 6, upsample = Upsampling, surrogate_function = Sigmoid | Cityscapes | 0.603 | 0.616 |
| Method | Dataset | mIoU | PixelAcc | Precision | Recall | F1 |
|---|---|---|---|---|---|---|
| FCN [1] | VOC2012 | 0.309 | - | - | - | - |
| DeepLab [2] | VOC2012 | 0.323 | - | - | - | - |
| Spiking-FCN [3] | VOC2012 | 0.099 | - | - | - | - |
| Spiking-DeepLab [3] | VOC2012 | 0.223 | - | - | - | - |
| CNN | VOC2012 | 0.494 ± 0.003 | 0.782 ± 0.004 | 0.300 | 0.234 | 0.236 |
| ours | VOC2012 | 0.391 ± 0.007 | 0.737 ± 0.005 | 0.295 | 0.253 | 0.235 |
| CNN | COCO2017 | 0.521 | 0.823 | 0.356 | 0.313 | 0.343 |
| ours | COCO2017 | 0.421 | 0.769 | 0.348 | 0.291 | 0.283 |
| CNN | DRIVE | - | 0.986 | 0.922 | 0.920 | 0.921 |
| ours | DRIVE | - | 0.967 | 0.796 | 0.845 | 0.823 |
| CNN | Cityscapes | 0.652 | 0.637 | 0.932 | 0.423 | 0.582 |
| ours | Cityscapes | 0.602 | 0.617 | 0.921 | 0.413 | 0.566 |
| Operation | Energy (pJ) |
|---|---|
| 32 bit FP MULT | 3.7 |
| 32 bit FP ADD | 0.9 |
| 32 bit FP MAC | 4.6 |
| 32 bit FP AC | 0.9 |
| Method | Layer | Energy of Every Layer (J) | Energy (J) |
|---|---|---|---|
| Encoder Block 0 | 0.0117209 | ||
| Encoder Block 1 | 0.1250238 | ||
| ANN | Encoder Block 2 | 0.1250238 | 0.5118161 |
| Encoder Block 3 | 0.1250238 | ||
| Encoder Block 4 | 0.1250238 | ||
| Spike Encoder | 0.0001753 | ||
| Encoder Block 1 | 0.0006791 | ||
| SNN | Encoder Block 2 | 0.0069469 | 0.0255342 |
| Encoder Block 3 | 0.0120946 | ||
| Encoder Block 4 | 0.0056383 |
Disclaimer/Publisher’s Note: The statements, opinions and data contained in all publications are solely those of the individual author(s) and contributor(s) and not of MDPI and/or the editor(s). MDPI and/or the editor(s) disclaim responsibility for any injury to people or property resulting from any ideas, methods, instructions or products referred to in the content. |
© 2023 by the authors. Licensee MDPI, Basel, Switzerland. This article is an open access article distributed under the terms and conditions of the Creative Commons Attribution (CC BY) license (https://creativecommons.org/licenses/by/4.0/).
Share and Cite
Zhang, T.; Xiang, S.; Liu, W.; Han, Y.; Guo, X.; Hao, Y. Hybrid Spiking Fully Convolutional Neural Network for Semantic Segmentation. Electronics 2023, 12, 3565. https://doi.org/10.3390/electronics12173565
Zhang T, Xiang S, Liu W, Han Y, Guo X, Hao Y. Hybrid Spiking Fully Convolutional Neural Network for Semantic Segmentation. Electronics. 2023; 12(17):3565. https://doi.org/10.3390/electronics12173565
Chicago/Turabian StyleZhang, Tao, Shuiying Xiang, Wenzhuo Liu, Yanan Han, Xingxing Guo, and Yue Hao. 2023. "Hybrid Spiking Fully Convolutional Neural Network for Semantic Segmentation" Electronics 12, no. 17: 3565. https://doi.org/10.3390/electronics12173565
APA StyleZhang, T., Xiang, S., Liu, W., Han, Y., Guo, X., & Hao, Y. (2023). Hybrid Spiking Fully Convolutional Neural Network for Semantic Segmentation. Electronics, 12(17), 3565. https://doi.org/10.3390/electronics12173565

