Comparative Performance Evaluation of Conventional and Folded Detector Structures: Application to Perovskite X-ray Detectors
Abstract
1. Introduction
2. Theory
2.1. Conventional Planner Structure
2.2. Folded Structure
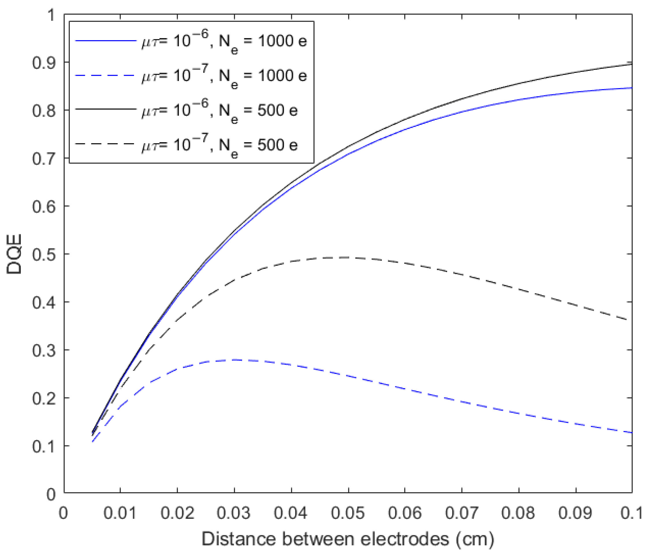
3. Result and Discussion
4. Conclusions
Author Contributions
Funding
Data Availability Statement
Conflicts of Interest
References
- Spahn, M. X-ray detectors in medical imaging. Nucl. Instr. Methods Phys. Res. Sect. A 2013, 731, 57–63. [Google Scholar] [CrossRef]
- Rowlands, J.A.; Zhao, W. Towards a digital radiology roadmap. ECS Trans. 2013, 54, 293–303. [Google Scholar] [CrossRef]
- Cowen, A.R.; Davies, A.G.; Sivananthan, M.U. The design and imaging characteristics of dynamic, solid-state, flat-panel x-ray image detectors for digital fluoroscopy and fluorography. Clin. Radiol. 2008, 63, 1073–1085. [Google Scholar] [CrossRef] [PubMed]
- Schlosser, D.M.; Huth, M.; Hartmann, R.; Abboud, A.; Send, S.; Conka-Nurdan, T.; Shokr, M.; Pietsch, U.; Strüder, L. Direct and indirect signal detection of 122 keV photons with a novel detector combining a pnCCD and a CsI (Tl) scintillator. Nucl. Instr. Meth. Phys. Res. Sect. A 2016, 805, 55–62. [Google Scholar] [CrossRef]
- Kabir, M.Z. X-ray Photoconductivity and Typical Large Area X-ray Photoconductors. In Photoconductivity and Photoconductive Materials; Kasap, S.O., Ed.; Wiley & Sons: Chichester, UK, 2022; Chapter 15. [Google Scholar]
- Kasap, S.; Frey, J.B.; Belev, G.; Tousignant, O.; Mani, H.; Greenspan, J.; Laperriere, L.; Bubon, O.; Reznik, A.; DeCrescenzo, G.; et al. Amorphous and Polycrystalline Photoconductors for Direct Conversion Flat Panel X-ray Image Sensors. Sensors 2011, 11, 5112–5157. [Google Scholar] [CrossRef] [PubMed]
- Yakunin, S.; Sytnyk, M.; Kriegner, D.; Shrestha, S.; Richter, M.; Matt, G.; Azimi, H.; Brabec, C.; Stangl, J.; Kovalenko, M.; et al. Detection of X-ray photons by solution-processed lead halide perovskites. Nat. Photonics 2015, 9, 444. [Google Scholar] [CrossRef] [PubMed]
- Kim, Y.C.; Kim, K.H.; Son, D.Y.; Jeong, D.N.; Seo, J.Y.; Choi, Y.S.; Han, I.T.; Lee, S.Y.; Park, N.G. Printable organometallic perovskite enables large-area, low-dose X-ray imaging. Nature 2017, 550, 87. [Google Scholar] [CrossRef] [PubMed]
- Deumel, S.; van Breemen, A.; Gelinck, G.; Peeters, B.; Maas, J.; Verbeek, R.; Shanmugam, S.; Akkerman, H.; Meulenkamp, E.; Huerdler, J.E.; et al. High-sensitivity high-resolution X-ray imaging with soft-sintered metal halide perovskites. Nat. Electron. 2021, 4, 681–688. [Google Scholar] [CrossRef]
- Li, Y.; Adeagbo, E.; Koughia, C.; Simonson, B.; Pettipas, R.D.; Mishchenko, A.; Arnab, S.M.; Laperrière, L.; Belev, G.; Stevens, A.L.; et al. Direct conversion X-ray detectors with 70 pA cm−2 dark currents coated from an alcohol-based perovskite ink. J. Mater. Chem. C 2022, 10, 1228–1235. [Google Scholar] [CrossRef]
- Kabir, M.Z.; Kasap, S. Modulation transfer function of photoconductive X-ray image detectors: Effects of charge carrier trapping. J. Phys. D Appl. Phys. 2003, 36, 2352–2358. [Google Scholar] [CrossRef]
- Kabir, M.Z.; Kasap, S. DQE of photoconductive x-ray image detectors: Application to a-Se. J. Phys. D Appl. Phys. 2002, 35, 2735–2743. [Google Scholar] [CrossRef]
- Mescher, H.; Hamann, E.; Lemmer, U. Simulation and design of folded perovskite X-ray detectors. Sci. Rep. 2019, 9, 5231. [Google Scholar] [CrossRef] [PubMed]
- Hunter, D.M.; Rowlands, J.A. Differences between transient photoconductivity in a-Se sandwich(bulk) and co-planar(interface) structures. J. Mater. Sci. Mater. Electron. 2020, 31, 9114–9125. [Google Scholar] [CrossRef]
- Mainprize, J.G.; Hunt, D.C.; Yaffe, M.J. Direct conversion detectors: The effect of incomplete charge collection on detective quantum efficiency. Med. Phys. 2002, 29, 976–990. [Google Scholar] [CrossRef] [PubMed]
- Rabbani, M.; Shaw, R.; Van Metter, R. Detective quantum efficiency of imaging systems with amplifying and scattering mechanisms. J. Opt. Soc. Am. A 1987, 4, 895–901. [Google Scholar] [CrossRef] [PubMed]
- Cunningham, I. Applied linear-systems theory. In Handbook of Medical Imaging; Beutel, J., Kundel, H.L., Van Metter, R.L., Eds.; SPIE Press: Washington, DC, USA, 2000; Volume 1, Chapter 2. [Google Scholar]
- Zhao, W.; Ji, W.G.; Debrie, A.; Rowlands, J.A. Imaging performance of amorphous selenium based flat-panel detectors for digital mammography: Characterization of a small area prototype detector. Med. Phys. 2003, 30, 254–263. [Google Scholar] [CrossRef] [PubMed]
- Kabir, M.Z.; Emelianova, E.V.; Arkhipov, V.I.; Yunus, M.; Adriaenssens, G.; Kasap, S.O. The effects of large signals on charge collection in radiation detectors: Application to amorphous selenium detectors. J. Appl. Phys. 2006, 99, 124501. [Google Scholar] [CrossRef]
- Kabir, M.Z. Effects of charge carrier trapping on polycrystalline PbO X-ray imaging detectors. J. Appl. Phys. 2008, 104, 074506. [Google Scholar] [CrossRef]
- Rowlands, J.; Yorkston, J. Flat panel detectors for digital radiography. In Handbook of Medical Imaging: Volume 1; Beutel, J., Kundel, H.L., Van Metter, R.L., Eds.; SPIE Press: Washington, DC, USA, 2000; Chapter 4. [Google Scholar]
- Ball, J.M.; Petrozza, A. Defects in perovskite-halides and their effects in solar cells. Nat. Energy 2016, 1, 16149. [Google Scholar] [CrossRef]
- Kabir, M.Z. Basic principles of solid state X-ray radiation detector operation. In Handbook of II–VI Semiconductor-Based Sensors and Radiation Detectors: Volume 3 Sensors—Biosensors and Radiation Detectors; Korotcenkov, G., Ed.; Springer Nature: Cham, Switzerland, 2023; Chapter 1. [Google Scholar]









| X = 0.1 μR | X = 10 μR | ||||||
|---|---|---|---|---|---|---|---|
| Electronic Noise | μτ (cm2/V) | l (cm) | d (cm) | DQE | l (cm) | d (cm) | DQE |
| 1000 e | 10−5 | >0.07 | 0.025–0.5 | >0.8 | >0.07 | 0.025–0.5 | >0.8 |
| 10−6 | >0.07 | 0.025–0.1 | >0.8 | >0.07 | 0.025–0.5 | >0.8 | |
| 10−7 | >0.1 | 0.0025–0.01 | >0.8 | >0.07 | 0.025–0.125 | >0.8 | |
| 2000 e | 10−5 | >0.07 | 0.025–0.5 | >0.8 | >0.06 | 0.025–0.5 | >0.8 |
| 10−6 | >0.08 | 0.0025–0.045 | >0.8 | >0.07 | 0.025–0.5 | >0.8 | |
| 10−7 | >0.08 | 0.0025–0.005 | >0.7 | >0.07 | 0.0025–0.05 | >0.8 | |
| X = 0.6 mR | X = 240 mR | ||||||
|---|---|---|---|---|---|---|---|
| Electronic Noise | μτ (cm2/V) | l (cm) | d (cm) | DQE | l (cm) | d (cm) | DQE |
| 500 e | 10−5 | >0.01 | 0.025–0.5 | >0.8 | >0.01 | 0.025–0.5 | >0.8 |
| 10−6 | >0.01 | 0.025–0.5 | >0.8 | >0.01 | 0.025–0.5 | >0.8 | |
| 10−7 | >0.01 | 0.0025–0.05 | >0.8 | >0.01 | 0.025–0.05 | >0.8 | |
| 1000 e | 10−5 | >0.01 | 0.025–0.5 | >0.8 | >0.01 | 0.025–0.5 | >0.8 |
| 10−6 | >0.01 | 0.025–0.325 | >0.8 | >0.01 | 0.025–0.5 | >0.8 | |
| 10−7 | >0.01 | 0.0025–0.0325 | >0.8 | >0.01 | 0.025–0.5 | >0.8 | |
| X = 0.1 μR | X = 10 μR | ||||
|---|---|---|---|---|---|
| Electronic Noise | μτ (cm2/V) | d (cm) | DQE | d (cm) | DQE |
| 1000 e | 10−5 | 0.1 | 0.92 | 0.1 | 0.9307 |
| 10−6 | 0.09 | 0.7643 | 0.1 | 0.9109 | |
| 10−7 | 0.02 | 0.1657 | 0.095 | 0.8048 | |
| 2000 e | 10−5 | 0.1 | 0.889 | 0.1 | 0.9304 |
| 10−6 | 0.065 | 0.5728 | 0.1 | 0.9055 | |
| 10−7 | 0.015 | 0.061 | 0.065 | 0.6335 | |
| X = 0.6 mR | X = 240 mR | ||||
|---|---|---|---|---|---|
| Electronic Noise | μτ (cm2/V) | d (cm) | DQE | d (cm) | DQE |
| 500 e | 10−5 | 0.05 | 0.9984 | 0.05 | 0.9987 |
| 10−6 | 0.03 | 0.9739 | 0.03 | 0.9751 | |
| 10−7 | 0.025 | 0.9379 | 0.06 | 0.9812 | |
| 1000 e | 10−5 | 0.05 | 0.9975 | 0.06 | 0.9986 |
| 10−6 | 0.03 | 0.9705 | 0.03 | 0.9751 | |
| 10−7 | 0.015 | 0.8738 | 0.04 | 0.9804 | |
Disclaimer/Publisher’s Note: The statements, opinions and data contained in all publications are solely those of the individual author(s) and contributor(s) and not of MDPI and/or the editor(s). MDPI and/or the editor(s) disclaim responsibility for any injury to people or property resulting from any ideas, methods, instructions or products referred to in the content. |
© 2023 by the authors. Licensee MDPI, Basel, Switzerland. This article is an open access article distributed under the terms and conditions of the Creative Commons Attribution (CC BY) license (https://creativecommons.org/licenses/by/4.0/).
Share and Cite
Ray, R.; Kabir, M.Z. Comparative Performance Evaluation of Conventional and Folded Detector Structures: Application to Perovskite X-ray Detectors. Electronics 2023, 12, 2976. https://doi.org/10.3390/electronics12132976
Ray R, Kabir MZ. Comparative Performance Evaluation of Conventional and Folded Detector Structures: Application to Perovskite X-ray Detectors. Electronics. 2023; 12(13):2976. https://doi.org/10.3390/electronics12132976
Chicago/Turabian StyleRay, Robin, and M. Z. Kabir. 2023. "Comparative Performance Evaluation of Conventional and Folded Detector Structures: Application to Perovskite X-ray Detectors" Electronics 12, no. 13: 2976. https://doi.org/10.3390/electronics12132976
APA StyleRay, R., & Kabir, M. Z. (2023). Comparative Performance Evaluation of Conventional and Folded Detector Structures: Application to Perovskite X-ray Detectors. Electronics, 12(13), 2976. https://doi.org/10.3390/electronics12132976

