Efficient Fingerprinting Attack on Web Applications: An Adaptive Symbolization Approach
Abstract
1. Introduction
- A novel adaptive symbolization method is proposed to reduce the complexity of modeling the original traffic sequences while retaining information to the maximum;
- The PHMM is used to model and identify user actions that hide in network traffic;
- A framework is proposed to identify monitored web applications in which user role models are proposed and utilized to mine more information from network traffic;
- A website is established, and experiments are conducted to demonstrate the effectiveness and efficiency of our proposed approach.
2. Related Work
2.1. Website Fingerprinting Attack
2.2. User Action Identification
2.3. Other Related Works
3. Preliminaries
3.1. Definitions
3.2. Identification Problems
4. User Action Identification
4.1. Traffic Collection
4.2. Traffic Classifier Building
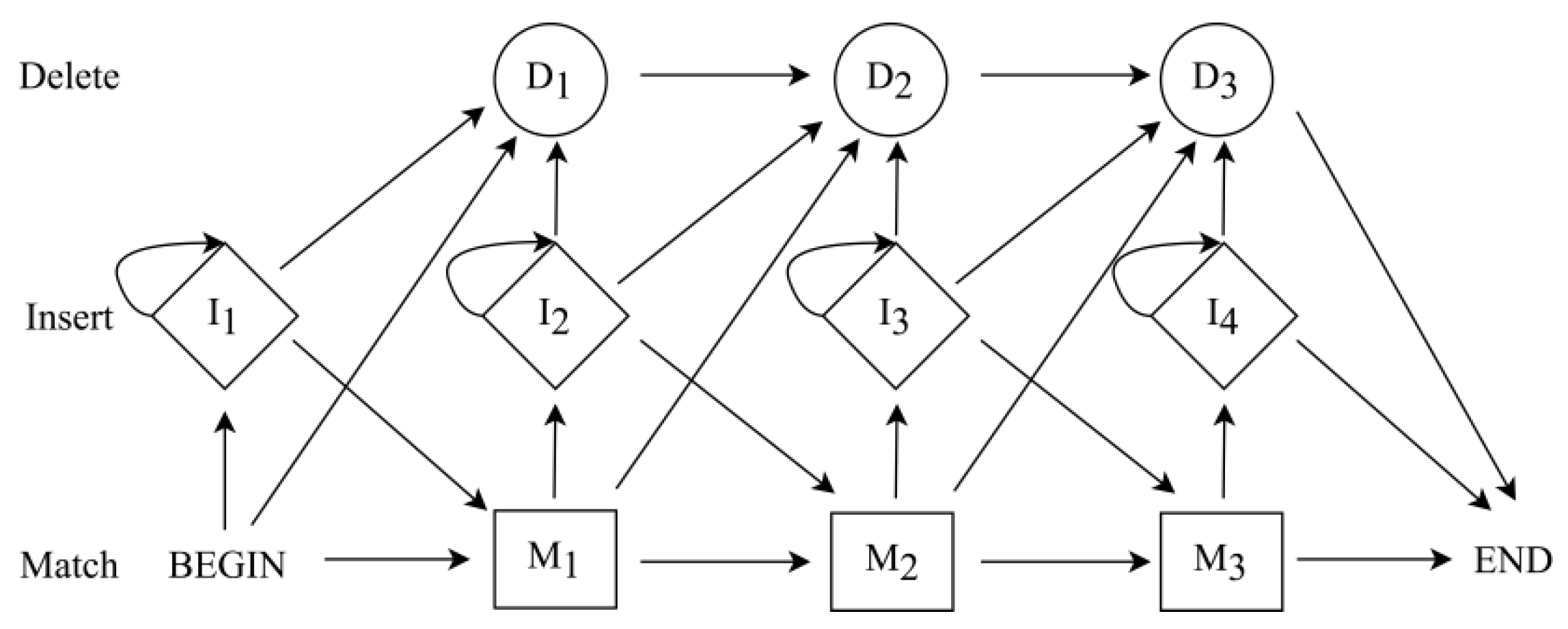
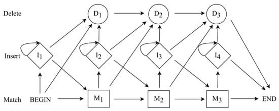
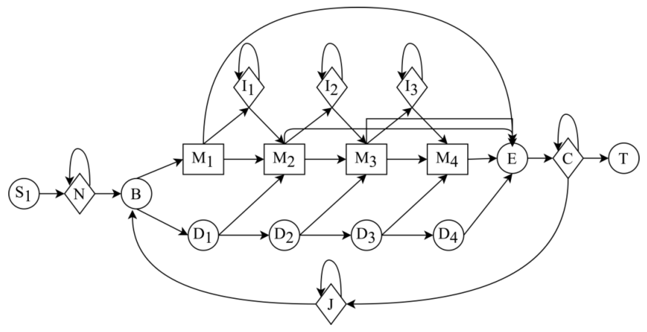
4.2.1. Profile Hidden Markov Model
4.2.2. Traffic Pre-Process
| Algorithm 1 Traffic Sequence Symbolization |
| Input: A traffic sequence S |
| Output: Symbolized sequence seq |
| 1: l ← 0, sign ← 0, seq ← null; |
| 2: for each packet p in S do |
| 3: l ← length of p; |
| 4: if p is an outgoing packet then |
| 5: sign ← −1; |
| 6: else |
| 7: sign ← 1; |
| 8: end if |
| 9: l ← l × sign; |
| 10: seq ← seq + Symbolize(l) /* convert l into its symbolization label and add it to the symbolized sequence */ |
| 11: end for |
| 12: return seq |
4.2.3. Training the Classifier
4.3. Traffic Identification
| Algorithm 2 User Action Identification |
| Input: A network traffic trace T |
| PHMM patterns M1, M2, …, MN |
| Output: User action sequence S |
| 1: i ← 1, x ← 0, start ← 1, burst ← null, S ← null; |
| 2: α ← the predefined threshold |
| 3: for ith packet pi in T do |
| 4: if start == 1 then //start == 1 indicates pi is the first packet in a burst |
| 5: burst ← burst + pi; |
| 6: start ← 0; |
| 7: else if ti − ti − 1 < α then |
| 8: burst ← burst + pi; |
| 9: else |
| 10: Symbolize burst with Algorithm 1; |
| 11: x ← argmax(Pr(burst|Mx), x = 1, 2, …, N); //the burst is generated by the xth type of user action |
| 12: S ← S + actionx; |
| 13: burst ← null; |
| 14: start ← 1; |
| 15: end if |
| 16: end for |
| 17: return S |
5. Adaptive Symbolization
| Algorithm 3 The Proposed Symbolization Method |
| Input: The collected traffic sequence set S Symbol set size K |
| Output: Interval Sets Ψ = {τ1, τ2, …, τK} |
| 1: S’←all the packets in S are sorted in ascending order; |
| 2: N ← sizeof(S’); |
| 3: i ← 1, j ← 1, prev ← 0, sum ← 0, p ← 1/N, Ψ ← null; |
| 4: for xi in S’ do |
| 5: prev ← sum; |
| 6: sum ← sum + p; |
| 7: if prev <= 1/K and sum > 1/K then//totally K intervals |
| 8: if |prev-1/K| < |sum-1/K|then |
| 9: |
| 10: i ← i −1; |
| 11: else |
| 12: |
| 13: end if |
| 14: sum ← 0, prev ← 0; |
| 15: τj ← all elements from to //τj contains all the elements between two adjacent interval points |
| 16: j ← j + 1; |
| 17: end if |
| 18: end for |
| 19: Ψ ← Ψ + τj; |
| 20: return Ψ; |
6. Web Application Identification
6.1. Web Application Model
6.2. User Role Construction
| Algorithm 4 Transition Probability Matrix Calculation |
| Input: a set of action sequences S a transition occurrence matrix T’ ← null |
| Output: a transition occurrence matrix T |
| 1: for each sequence s in S do |
| 2: n ← length of s; |
| 3: T’[ENTER][s [0].action]++; |
| 4: for i ← 0 to n − 1 do |
| 5: T’[s[i].action][s[i + 1].action]++; /* calculate the occurrence of transitions between different user actions */ |
| 6: end for |
| 7: T’[s[n].action][EXIT]++; |
| 8: end for |
| 9: i ← 0, j ← 0, sum ← 0; |
| 10: for i ← 0 to T’.length do |
| 11: for j ← 0 to T’[i].length do |
| 12: sum ← sum + T’[i][j]; |
| 13: end for |
| 14: for j ← 0 to T’[i].length do |
| 15: T[i][j] ← T’[i][j]/sum; /* convert transition occurrence matrix into transition probability matrix */ |
| 16: end for |
| 17: sum ← 0; |
| 18: end for |
| 19: return T; |
6.3. Web Application Discriminator
7. Experiments
7.1. Traffic Symbolization
7.2. Action Identification
7.3. User Role Models
7.4. Web Application Uncovering
8. Discussion and Limitations
8.1. Discussion
8.2. Limitations
8.2.1. Packet Padding
8.2.2. Lack of Sufficient Prior Knowledge
8.2.3. New Trends in Web Development
9. Conclusions
Author Contributions
Funding
Data Availability Statement
Acknowledgments
Conflicts of Interest
References
- Ionescu, P.; Keirstead, J.; Onut, I.; Wilson, D. Automatic Traffic Classification of Web Applications and Services Based on Dynamic analysis. U.S. Patent No. 10,542,025, 21 January 2020. [Google Scholar]
- Tayor, V.F.; Conti, R.; Martinovic, I. Appscanner: Automatic fingerprinting of smartphone Apps from encrypted network traffic. In Proceedings of the 1st IEEE European Symposium on Security and Privacy, Saarbruecken, Germany, 21–24 March 2016; pp. 439–454. [Google Scholar]
- Faik, A.H.; Jasleen, K. Can Android applications be identified using only TCP/IP headers of their launch time traffic. In Proceedings of the 9th ACM Conference on Security & Privacy in Wireless and Mobile Networks, Darmstadt, Germany, 18–20 July 2016; pp. 61–66. [Google Scholar]
- van Ede, T.; Bortolameotti, R.; Continella, A.; Ren, J.; Dubois, D.J.; Lindorfer, M.; Choffnes, D.; van Steen, M.; Peter, A. FLOWPRINT: Semi-supervised mobile-app fingerprinting on encrypted network traffic. In Proceedings of the 27th Network and Distributed Systems Security (NDSS) Symposium, San Diego, CA, USA, 23–26 February 2020; pp. 1–18. [Google Scholar]
- Wang, T.; Cai, X.; Nithyanand, R.; Johnson, R.; Goldberg, I. Effective attacks and provable defenses for website fingerprinting. In Proceedings of the 23rd USENIX Security Symposium, San Diego, CA, USA, 20–22 August 2014; pp. 143–157. [Google Scholar]
- Shen, M.; Liu, Y.; Zhu, L.; Du, X.; Hu, J. Fine-Grained Webpage Fingerprinting Using Only Packet Length Information of Encrypted Traffic. IEEE Trans. Inf. Forensics Secur. 2021, 16, 2046–2059. [Google Scholar] [CrossRef]
- Sirinam, P.; Imani, M.; Juarez, M.; Wright, M. Deep fingerprinting: Undermining website fingerprinting defenses with deep learning. In Proceedings of the ACM Conference on Computer and Communications Security, Toronto, ON, Canada, 15–19 October 2018; pp. 1928–1943. [Google Scholar]
- Wix. Available online: https://www.wix.com/ (accessed on 1 March 2021).
- Sina News Report. Available online: https://tech.sina.com.cn/i/2018-10-16/doc-ihmhafir8971738.shtml (accessed on 1 March 2021).
- Gorski, T. The k+1 symmetric test pattern for smart constracts. Symmetry 2022, 14, 1686. [Google Scholar] [CrossRef]
- Eddy, S.R. Profile hidden Markov models. Bioinformatics 1998, 14, 755–763. [Google Scholar] [CrossRef] [PubMed]
- Zhuo, Z.; Zhang, Y.; Zhang, Z.-L.; Zhang, X.; Zhang, J. Website Fingerprinting Attack on Anonymity Networks Based on Profile Hidden Markov Model. IEEE Trans. Inf. Forensics Secur. 2018, 13, 1081–1095. [Google Scholar] [CrossRef]
- He, G.; Yang, M.; Luo, J.; Gu, X. A novel application classification attack against Tor. Concurr. Comput. Pract. Exp. 2015, 27, 5640–5661. [Google Scholar] [CrossRef]
- Boukhlif, M.; Hanine, M.; Kharmoum, N. A Decade of Intelligent Software Testing Research: A Bibliometric Analysis. Electronics 2023, 12, 2109. [Google Scholar] [CrossRef]
- Cheng, H.; Avnur, R. Traffic Analysis of SSL Encrypted Web Browsing; University of Berkeley: Berkeley, CA, USA, 1998; pp. 1–12. [Google Scholar]
- Cai, X.; Zhang, X.; Joshi, B.; Johnson, R. Touching from a distance: Website fingerprinting attacks and defenses. In Proceedings of the 2012 ACM Conference on Computer and Communications Security, Raleigh, NC, USA, 16–18 October 2012; pp. 605–616. [Google Scholar]
- Hayes, J.; Danezis, G. K-fingerprinting: A robust scalable website fingerprinting technique. In Proceedings of the 25th USENIX Security Symposium, Austin, TX, USA, 10–12 August 2016; pp. 1187–1203. [Google Scholar]
- Conti, M.; Li, Q.Q.; Maragno, A.; Spolaor, R. The Dark Side(-Channel) of Mobile Devices: A Survey on Network Traffic Analysis. IEEE Commun. Surv. Tutor. 2018, 20, 2658–2713. [Google Scholar] [CrossRef]
- Conti, M.; Mancini, L.V.; Spolaor, R.; Verde, N.V. Analyzing Android encrypted network traffic to identify user actions. IEEE Trans. Inf. Forensics Secur. 2016, 11, 1556–6021. [Google Scholar] [CrossRef]
- Fu, Y.; Xiong, H.; Lu, X.; Yang, J.; Chen, C. Service Usage Classification with Encrypted Internet Traffic in Mobile Messaging Apps. IEEE Trans. Mob. Comput. 2016, 15, 2851–2864. [Google Scholar] [CrossRef]
- Trimananda, R.; Varmaken, J.; Markopoulou, A. Packet-level signatures for smart home devices. In Proceedings of the 26th Network and Distributed System Security Symposium, San Diego, CA, USA, 24–27 February 2019; pp. 1–18. [Google Scholar]
- Zhang, W.; Meng, Y.; Liu, Y. Homonit: Monitoring smart home apps from encrypted traffic. In Proceedings of the 25th ACM SIGSAC Conference on Computer and Communications, Toronto, ON, Canada, 15 October 2018; pp. 1074–1088. [Google Scholar]
- Li, Q.; Feng, X.; Wang, R.; Li, Z.; Sun, L. Towards fine-grained fingerprinting of firmware in online embedded devices. In Proceedings of the IEEE conferences on computer communications, Honolulu, HI, USA, 16–19 April 2018; pp. 2537–2545. [Google Scholar]
- Akhilesh, R.; Bills, O.; Chilamkurti, N.; Chowdhury, M.J.M. Automated Penetration Testing Framework for Smart-Home-Based IoT Devices. Futur. Internet 2022, 14, 276. [Google Scholar] [CrossRef]
- Stober, T.; Frank, M.; Schmitt, J.; Martinovic, I. Who do you sync you are? smartphone fingerprinting via application behavior. In Proceedings of the 6th ACM Conference on Security and Privacy in Wireless and Mobile Networks, Budapest, Hungary, 17–19 April 2013; pp. 7–12. [Google Scholar]
- Verde, N.V.; Ateniese, G.; Gabrielli, E.; Mancini, L.V.; Spognardi, A. No NAT’d User left behind: Fingerprinting users behind NAT from NetFlow records alone. In Proceedings of the IEEE 34th International Conference on Distributed Computing Systems, Madrid, Spain, 30 June–3 July 2014; pp. 218–227. [Google Scholar]
- Krogh, A.; Brown, M.; Mian, I.S.; Sjolander, K.; Haussler, D. Hidden Markov Models in computational biology: Applications to protein modeling. J. Mol. Biol. 1994, 235, 1501–1531. [Google Scholar] [CrossRef] [PubMed]
- Edgar, R.C.; Batzoglou, S. Multiple sequence alignment. Curr. Opin. Struct. Biol. 2006, 16, 368–373. [Google Scholar] [CrossRef] [PubMed]
- Rabiner, L.R. A tutorial on hidden Markov models and selected applications in speech recognition. Proc. IEEE 1989, 77, 257–286. [Google Scholar] [CrossRef]
- Bhargava, A.; Kondrak, G. Multiple word alignment with profile hidden Markov models. In Proceedings of the NAACL HLT Student Research Workshop and Doctoral Consortium, Boulder, CO, USA, 31 May–5 June 2009; pp. 43–48. [Google Scholar]
- Clustal. Available online: http://www.clustal.org/omega/ (accessed on 1 June 2021).
- Eddy, S.R.; The HMMER Development Team. HMMER User’s Guide: Biological Sequence Analysis Using Profile Hidden Markov Models; Howard Hughes Medical Institute: Chevy Chase, MD, USA, 2018; pp. 1–227. [Google Scholar]
- The Plan 7 Architecture. Available online: http://www.csb.yale.edu/userguides/seq/hmmer/docs/node11.html (accessed on 1 June 2021).
- Daw, C.S.; Finney, C.E.A.; Tracy, E.R. A review of symbolic analysis of experimental data. Rev. Sci. Instrum. 2003, 74, 915–930. [Google Scholar] [CrossRef]
- Shen, L.; Cheng, L.; Ford, J. Mining the most interesting web access associations. In Proceedings of the World Conference on the WWW and Internet, San Antonio, TX, USA, 30 October–4 November 2000; pp. 1–6. [Google Scholar]
- Guzduz, S.; Ozsu, M.T. A web page prediction model based on clickstream tree representation of user behavior. In Proceedings of the 9th ACM SIGKDD International Conference on Knowledge Discovery and Data Mining, Washington, DC, USA, 24–27 October 2003; pp. 535–540. [Google Scholar]
- Lu, L.; Dunham, M.H.; Meng, Y. Mining significant usage patterns from clickstream data. In Lecture Notes in Computer Science (Including Subseries Lecture Notes in Artificial Intelligence and Lecture Notes in Bioinformatics); Springer: Berlin/Heidelberg, Germany, 2006; Volume 4198, pp. 1–17. [Google Scholar]
- Obendorf, H.; Weinreich, H.; Herder, E.; Mayer, M. Web page revisitation revisited: Implications of a long-term clickstream study of browser usage. In Proceedings of the SIGCHI Conference on Human Factors in Computing Systems, New York, NY, USA, 28 April–3 May 2007; pp. 597–606. [Google Scholar]
- Sadagopan, N.; Li, J. Characterizing typical and atypical user sessions in clickstreams. In Proceedings of the 17th International Conference on World Wide Web, Beijing, China, 21–25 April 2008; pp. 885–894. [Google Scholar]
- Wang, G.; Konolige, T.; Wilson, C.; Wang, X.; Zheng, H.; Zhao, B. You are how you click: Clickstream analysis for sybil detection. In Proceedings of the 22nd USENIX Security Symposium, Washington, DC, USA, 14–16 August 2013; pp. 241–255. [Google Scholar]
- Benevenuto, F.; Rodrigues, T.; Cha, M.; Almeida, V. Characterizing user behavior in online social networks. In Proceedings of the 9th ACM SIGCOMM Conference on Internet Measurement, New York, NY, USA, 4−6 November 2009; pp. 49–62. [Google Scholar]
- Taylor, V.F.; Spolaor, R.; Conti, M.; Martinovic, I. Robust smartphone app identification via encrypted network traffic analysis. IEEE Trans. Inf. Forensics Secur. 2018, 13, 63–78. [Google Scholar] [CrossRef]
- Yan, F.P. Technology of Identifying Wechat User Usage Based on Network Traffic. Master’s Thesis, Hangzhou Dianzi University, Hangzhou, China, 2020. [Google Scholar]

















| Quantity | Description |
|---|---|
| T | a certain time interval |
| pi | a packet in network traffic, including the packet’s length and direction |
| li | the length of pi |
| ti | the timestamp of pi |
| ∆t | the time interval between two consecutive packets |
| α | a predefined time interval threshold to split a session into bursts |
| Pxy | the transition probability between user actions x and y |
| S1 | S2 | |
|---|---|---|
| S1 | 0.2 | 0.8 |
| S2 | 0.3 | 0.7 |
| # | Action | Comment |
|---|---|---|
| 1 | LOGIN | A user logs into his/her account. |
| 2 | SCAN | A user browsers different parts of the forum. |
| 3 | READ | A user browsers blogs. |
| 4 | REPLY | A user leaves comments on blogs. |
| 5 | MODIFY | A user modifies his/her own blogs. |
| 6 | PREVIEW | A user previews his/her own blog before posting it. |
| 7 | POST | A user writes a blog and posts it. |
| 8 | LOG-OUT | A user logs out his/her account actively. |
| # | Action | Recall | Precision | F1 |
|---|---|---|---|---|
| 1 | Login | 1 | 0.99 | 0.995 |
| 2 | Scan | 0.96 | 1 | 0.979 |
| 3 | Read | 0.95 | 0.98 | 0.964 |
| 4 | Reply | 0.96 | 0.58 | 0.722 |
| 5 | Modify | 0.98 | 0.95 | 0.965 |
| 6 | Preview | 0.97 | 0.98 | 0.975 |
| 7 | Post | 0.27 | 0.9 | 0.415 |
| 8 | Log-out | 1 | 1 | 1 |
| Average | 0.886 | 0.923 | 0.877 | |
| Dataset | Users | Clicks | Sessions |
|---|---|---|---|
| access.log | 44 | 1,810,873 | 1625 |
Disclaimer/Publisher’s Note: The statements, opinions and data contained in all publications are solely those of the individual author(s) and contributor(s) and not of MDPI and/or the editor(s). MDPI and/or the editor(s) disclaim responsibility for any injury to people or property resulting from any ideas, methods, instructions or products referred to in the content. |
© 2023 by the authors. Licensee MDPI, Basel, Switzerland. This article is an open access article distributed under the terms and conditions of the Creative Commons Attribution (CC BY) license (https://creativecommons.org/licenses/by/4.0/).
Share and Cite
Yang, X.; Xu, J.; Li, G. Efficient Fingerprinting Attack on Web Applications: An Adaptive Symbolization Approach. Electronics 2023, 12, 2948. https://doi.org/10.3390/electronics12132948
Yang X, Xu J, Li G. Efficient Fingerprinting Attack on Web Applications: An Adaptive Symbolization Approach. Electronics. 2023; 12(13):2948. https://doi.org/10.3390/electronics12132948
Chicago/Turabian StyleYang, Xue, Jian Xu, and Guojun Li. 2023. "Efficient Fingerprinting Attack on Web Applications: An Adaptive Symbolization Approach" Electronics 12, no. 13: 2948. https://doi.org/10.3390/electronics12132948
APA StyleYang, X., Xu, J., & Li, G. (2023). Efficient Fingerprinting Attack on Web Applications: An Adaptive Symbolization Approach. Electronics, 12(13), 2948. https://doi.org/10.3390/electronics12132948
