Low-Computation Adaptive Saturated Self-Triggered Tracking Control of Uncertain Networked Systems
Abstract
1. Introduction
- To save communication resources, a self-triggered mechanism is designed in this paper which can predict the next trigger point based on the current system information, avoiding the problem of continuous monitoring of thresholds in an event-triggered mechanism [25,26,27] and greatly improving the transmission efficiency of a system.
- When the input signal approaches the saturation limit, an auxiliary system is introduced to produce a compensation signal, which reduces the saturation effects and maintains system performances.
2. Problem Formulation and Preliminaries
2.1. System Description
2.2. RBF NNs Approximation Design
3. Controller Design
4. Stability Analysis
- (1)
- The output tracking error gradually approaches and stabilizes within the residual set as time progresses.
- (2)
- The boundedness of all signals in a closed-loop system is guaranteed.
- (3)
- The Zeno phenomena are successfully avoided.
- (1)
- (2)
- Under (15), the boundedness of can be derived directly.
- (3)
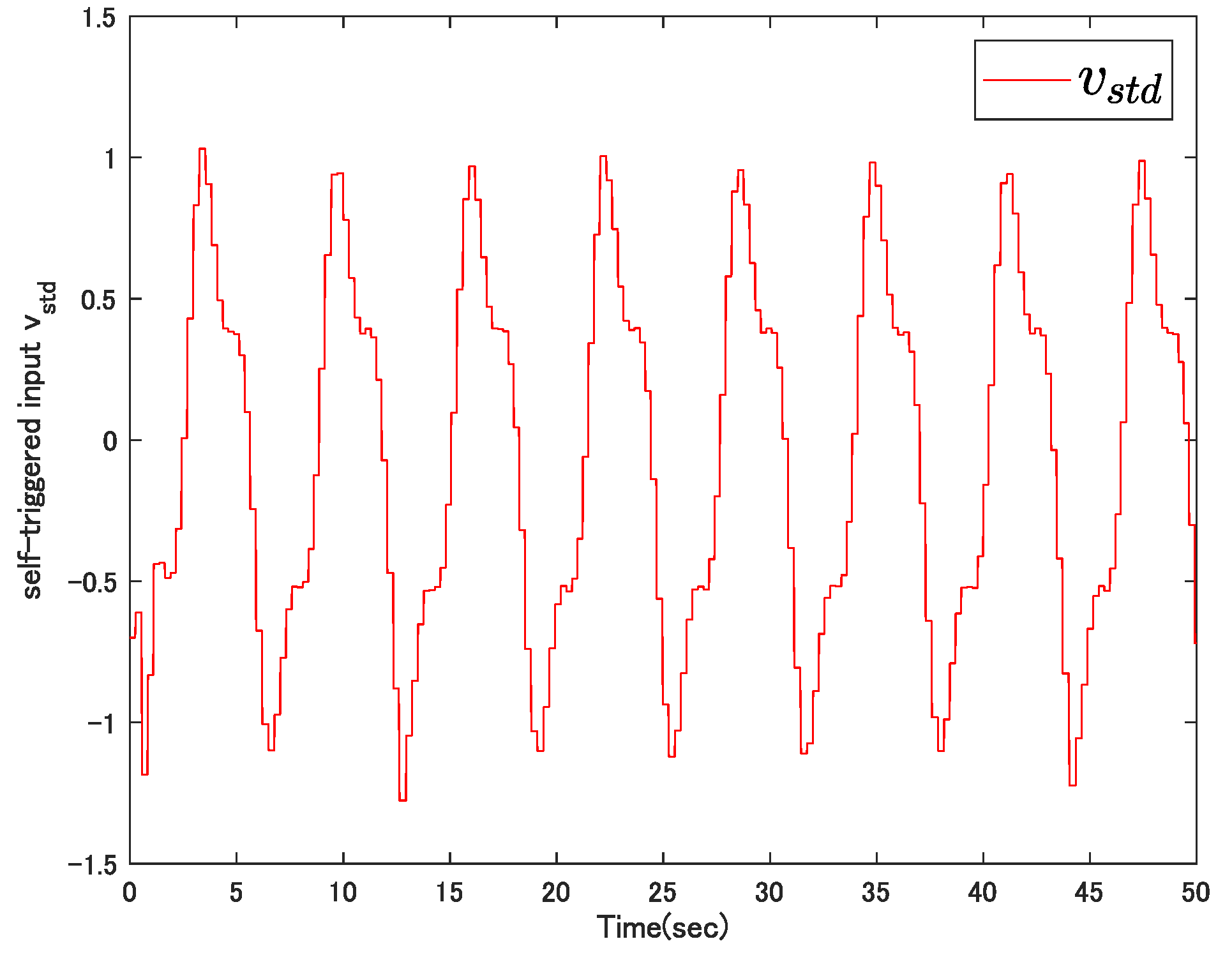
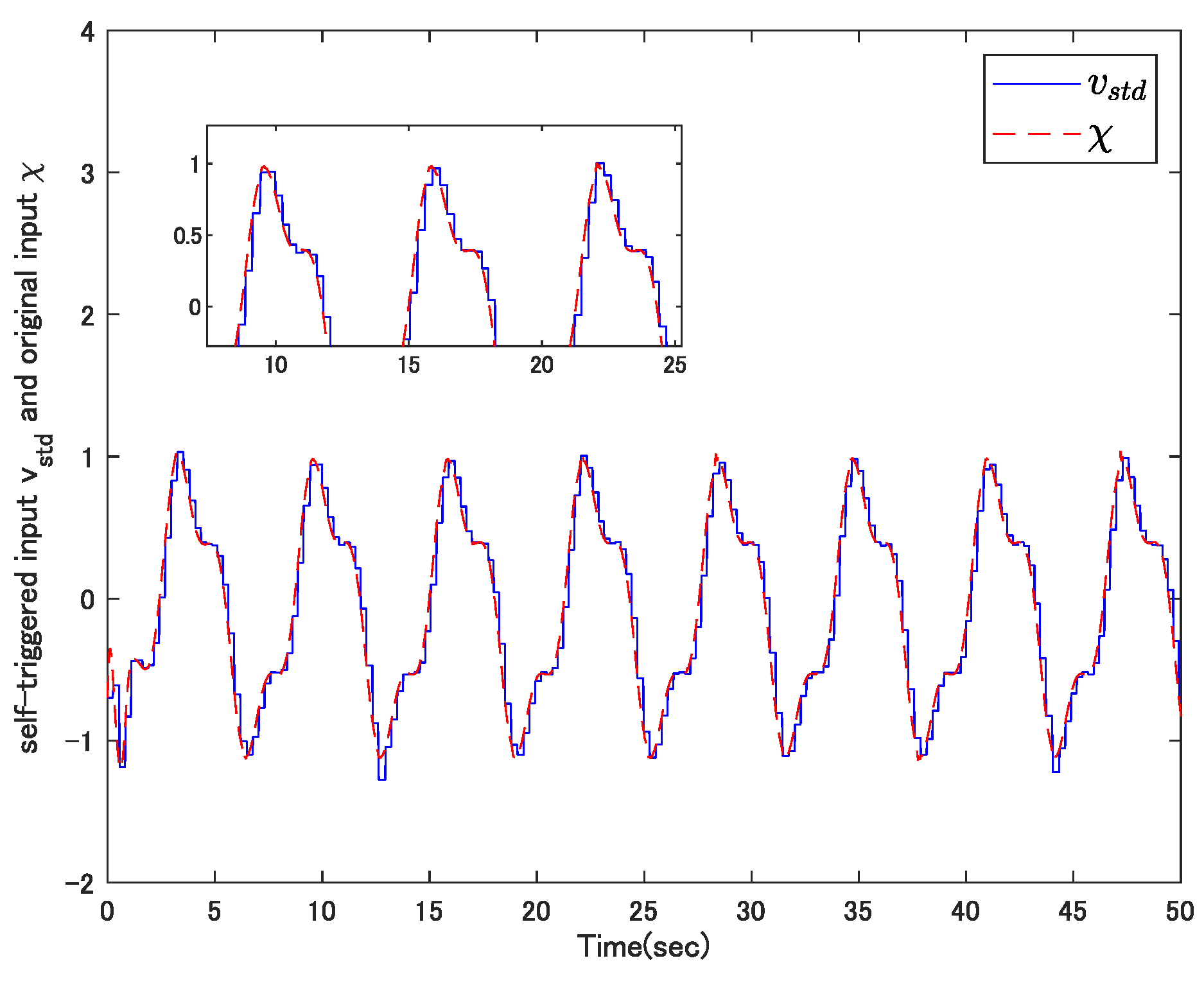
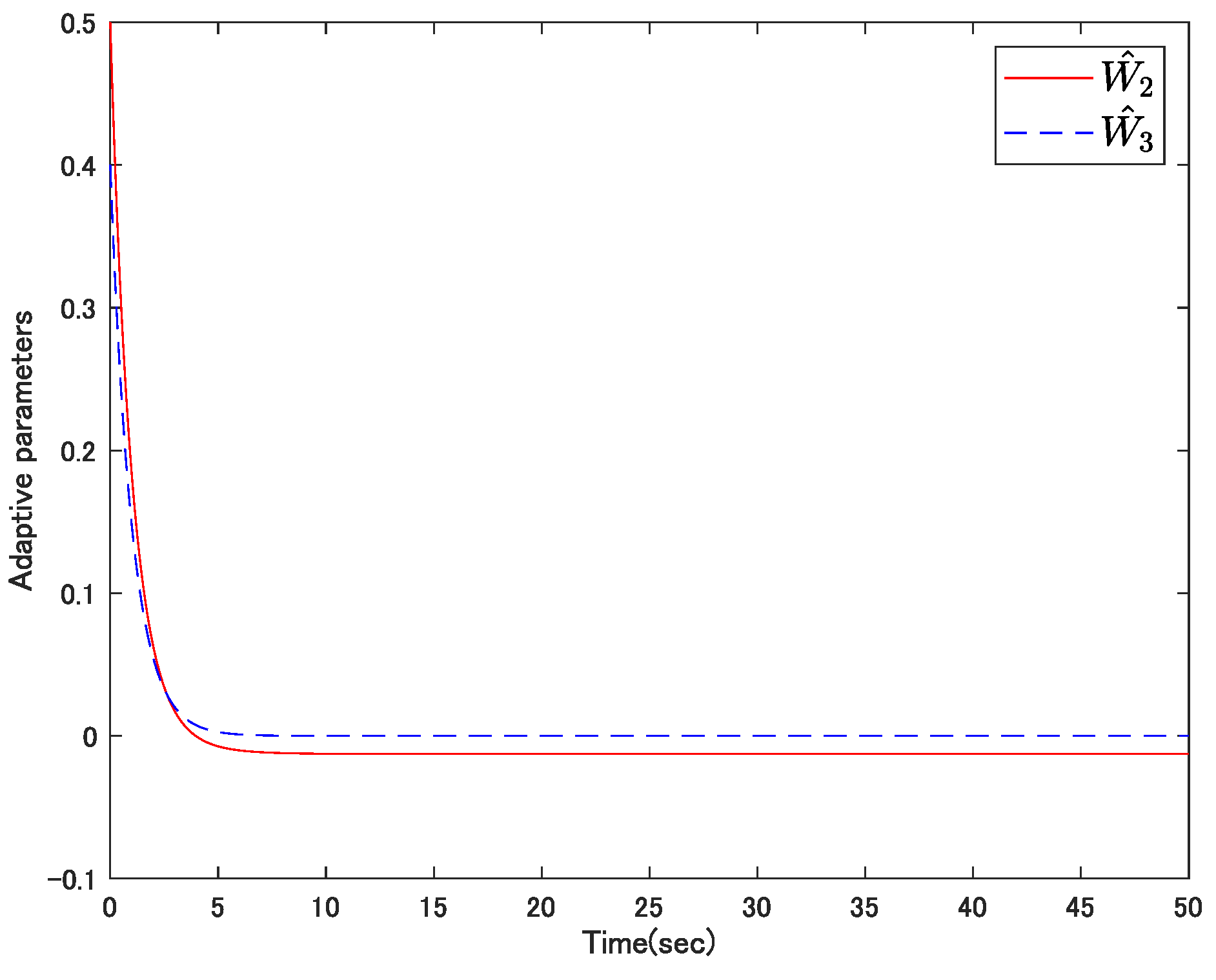
5. Simulation Example and Analysis
5.1. Example Model 1
5.2. Example Model 2
5.3. Discussion
6. Conclusions
Author Contributions
Funding
Data Availability Statement
Acknowledgments
Conflicts of Interest
References
- Huo, X.; Karimi, H.R.; Zhao, X.; Wang, B.; Zong, G. Adaptive-critic design for decentralized event-triggered control of constrained nonlinear interconnected systems within an identifier-critic framework. IEEE Trans. Cybern. 2021, 52, 7478–7491. [Google Scholar] [CrossRef] [PubMed]
- Zhang, H.; Zhao, X.; Wang, H.; Zong, G.; Xu, N. Hierarchical Sliding-Mode Surface-Based Adaptive Actor-Critic Optimal Control for Switched Nonlinear Systems With Unknown Perturbation. IEEE Trans. Neural Netw. Learn. Syst. 2022. [Google Scholar] [CrossRef] [PubMed]
- Zhang, H.; Zhao, X.; Zhang, L.; Niu, B.; Zong, G.; Xu, N. Observer-based adaptive fuzzy hierarchical sliding mode control of uncertain under-actuated switched nonlinear systems with input quantization. Int. J. Robust Nonlinear Control 2022, 32, 8163–8185. [Google Scholar] [CrossRef]
- Dong, S.; Chen, G.; Liu, M.; Wu, Z.-G. Robust adaptive H∞ control for networked uncertain semi-markov jump nonlinear systems with input quantization. Sci. China Inf. Sci. 2022, 65, 1–2. [Google Scholar] [CrossRef]
- Zhang, H.; Wang, H.; Niu, B.; Zhang, L.; Ahmad, A.M. Sliding-mode surface-based adaptive actor-critic optimal control for switched nonlinear systems with average dwell time. Inf. Sci. 2021, 580, 756–774. [Google Scholar] [CrossRef]
- Fei, J.; Wang, Z.; Liang, X.; Feng, Z.; Xue, Y. Fractional sliding-mode control for microgyroscope based on multilayer recurrent fuzzy neural network. IEEE Trans. Fuzzy Syst. 2021, 30, 1712–1721. [Google Scholar] [CrossRef]
- Chi, R.; Li, H.; Shen, D.; Hou, Z.; Huang, B. Enhanced p-type control: Indirect adaptive learning from set-point updates. IEEE Trans. Autom. Control 2022, 68, 1600–1613. [Google Scholar] [CrossRef]
- Yu, J.; Shi, P.; Lin, C.; Yu, H. Adaptive neural command filtering control for nonlinear mimo systems with saturation input and unknown control direction. IEEE Trans. Cybern. 2019, 50, 2536–2545. [Google Scholar] [CrossRef]
- Zhu, Z.; Pan, Y.; Zhou, Q.; Lu, C. Event-triggered adaptive fuzzy control for stochastic nonlinear systems with unmeasured states and unknown backlash-like hysteresis. IEEE Trans. Fuzzy Syst. 2020, 29, 1273–1283. [Google Scholar] [CrossRef]
- Roman, R.-C.; Precup, R.-E.; Petriu, E.M. Hybrid data-driven fuzzy active disturbance rejection control for tower crane systems. Eur. J. Control 2021, 58, 373–387. [Google Scholar] [CrossRef]
- Zhang, H.; Liu, Y.; Dai, J.; Wang, Y. Command filter based adaptive fuzzy finite-time control for a class of uncertain nonlinear systems with hysteresis. IEEE Trans. Fuzzy Syst. 2020, 29, 2553–2564. [Google Scholar] [CrossRef]
- Liu, S.; Niu, B.; Zong, G.; Zhao, X.; Xu, N. Adaptive neural dynamic-memory event-triggered control of high-order random nonlinear systems with deferred output constraints. IEEE Trans. Autom. Sci. Eng. 2023. [Google Scholar] [CrossRef]
- Fu, C.; Wang, Q.-G.; Yu, J.; Lin, C. Neural network-based finite-time command filtering control for switched nonlinear systems with backlash-like hysteresis. IEEE Trans. Neural Netw. Learn. Syst. 2020, 32, 3268–3273. [Google Scholar] [CrossRef]
- Tang, F.; Wang, H.; Chang, X.; Zhang, L.; Alharbi, K. Dynamic Event-Triggered Control for Discrete-Time Nonlinear Markov Jump Systems Using Policy Iteration-Based Adaptive Dynamic Programming. Nonlinear Anal. Hybrid Syst. 2023, 49, 101338. [Google Scholar] [CrossRef]
- Shi, X.; Cheng, Y.; Yin, C.; Huang, X.; Zhong, S.-M. Design of adaptive backstepping dynamic surface control method with rbf neural network for uncertain nonlinear system. Neurocomputing 2019, 330, 490–503. [Google Scholar] [CrossRef]
- Zhang, C.; Chen, Z.; Wang, J.; Liu, Z.; Chen, C.P. Fuzzy adaptive two-bit-triggered control for a class of uncertain nonlinear systems with actuator failures and dead-zone constraint. IEEE Trans. Cybern. 2020, 51, 210–221. [Google Scholar] [CrossRef]
- Xia, J.; Li, B.; Su, S.-F.; Sun, W.; Shen, H. Finite-time command filtered event-triggered adaptive fuzzy tracking control for stochastic nonlinear systems. IEEE Trans. Fuzzy Syst. 2020, 29, 1815–1825. [Google Scholar] [CrossRef]
- Qiu, J.; Ma, M.; Wang, T. Event-triggered adaptive fuzzy fault-tolerant control for stochastic nonlinear systems via command filtering. IEEE Trans. Syst. Man Cybern. Syst. 2020, 52, 1145–1155. [Google Scholar] [CrossRef]
- Li, B.; Xia, J.; Sun, W.; Park, J.H.; Sun, Z.-Y. Command filter-based event-triggered adaptive neural network control for uncertain nonlinear time-delay systems. Int. J. Robust Nonlinear Control 2020, 30, 6363–6382. [Google Scholar] [CrossRef]
- Zhao, L.; Yu, J.; Wang, Q.-G. Finite-time tracking control for nonlinear systems via adaptive neural output feedback and command filtered backstepping. IEEE Trans. Neural Netw. Learn. Syst. 2020, 32, 1474–1485. [Google Scholar] [CrossRef]
- Yu, J.; Zhao, L.; Yu, H.; Lin, C. Barrier lyapunov functions-based command filtered output feedback control for full-state constrained nonlinear systems. Automatica 2019, 105, 71–79. [Google Scholar] [CrossRef]
- Cheng, F.; Niu, B.; Zhang, L.; Chen, Z. Prescribed performance-based low-computation adaptive tracking control for uncertain nonlinear systems with periodic disturbances. IEEE Trans. Circuits Syst. II Express Briefs 2022, 69, 4414–4418. [Google Scholar] [CrossRef]
- Zhang, J.-X.; Yang, G.-H. Low-computation adaptive fuzzy tracking control of unknown nonlinear systems with unmatched disturbances. IEEE Trans. Fuzzy Syst. 2019, 28, 321–332. [Google Scholar] [CrossRef]
- Song, Y.; Wang, Y.; Holloway, J.; Krstic, M. Time-varying feedback for regulation of normal-form nonlinear systems in prescribed finite time. Automatica 2017, 83, 243–251. [Google Scholar] [CrossRef]
- Li, Y.; Wang, H.; Zhao, X.; Xu, N. Event-triggered adaptive tracking control for uncertain fractional-order nonstrict-feedback nonlinear systems via command filtering. Int. J. Robust Nonlinear Control 2022, 32, 7987–8011. [Google Scholar] [CrossRef]
- Ma, H.; Li, H.; Lu, R.; Huang, T. Adaptive event-triggered control for a class of nonlinear systems with periodic disturbances. Sci. China Inf. Sci. 2020, 63, 1–15. [Google Scholar] [CrossRef]
- Wang, H.; Xu, K.; Qiu, J. Event-triggered adaptive fuzzy fixed-time tracking control for a class of nonstrict-feedback nonlinear systems. IEEE Trans. Circuits Syst. I Regul. Pap. 2021, 68, 3058–3068. [Google Scholar] [CrossRef]
- Chen, W.; Wang, J.; Ma, K.; Wu, W. Adaptive self-triggered control for a nonlinear uncertain system based on neural observer. Int. J. Control 2022, 95, 1922–1932. [Google Scholar] [CrossRef]
- Cuan, Z.; Ding, D.-W.; An, C. Robust self-triggered control for nonlinear cyber-physical systems with state constraints under dos attacks. Int. J. Robust Nonlinear Control 2023, 33, 2133–2144. [Google Scholar] [CrossRef]
- Zhou, H.; Kong, D.; Park, J.H.; Li, W. Periodic self-triggered impulsive synchronization of hybrid stochastic complex-valued delayed networks. IEEE Trans. Control Netw. Syst. 2023. [CrossRef]
- Zhao, C.; Liu, X.; Zhong, S.; Shi, K.; Liao, D.; Zhong, Q. Secure consensus of multi-agent systems with redundant signal and communication interference via distributed dynamic event-triggered control. ISA Trans. 2021, 112, 89–98. [Google Scholar] [CrossRef]
- Zhou, Q.; Wang, L.; Wu, C.; Li, H.; Du, H. Adaptive fuzzy control for nonstrict-feedback systems with input saturation and output constraint. IEEE Trans. Syst. Man Cybern. Syst. 2016, 47, 1–12. [Google Scholar] [CrossRef]
- Wang, T.; Wang, H.; Xu, N.; Zhang, L.; Alharbi, K. Sliding-Mode Surface-Based Decentralized Event-Triggered Control of Partially Unknown Interconnected Nonlinear Systems via Reinforcement Learning. Inf. Sci. 2023, 641, 119070. [Google Scholar] [CrossRef]
- Li, Y.; Tong, S.; Li, T. Adaptive fuzzy output-feedback control for output constrained nonlinear systems in the presence of input saturation. Fuzzy Sets Syst. 2014, 248, 138–155. [Google Scholar] [CrossRef]
- Krstic, M.; Kokotovic, P.V.; Kanellakopoulos, I. Nonlinear and Adaptive Control Design; John Wiley & Sons, Inc.: Hoboken, NJ, USA, 1995. [Google Scholar]
- Ren, B.; Ge, S.S.; Tee, K.P.; Lee, T.H. Adaptive neural control for output feedback nonlinear systems using a barrier lyapunov function. IEEE Trans. Neural Netw. 2010, 21, 1339–1345. [Google Scholar]
- Tong, S.; Sun, K.; Sui, S. Observer-based adaptive fuzzy decentralized optimal control design for strict-feedback nonlinear large-scale systems. IEEE Trans. Fuzzy Syst. 2017, 26, 569–584. [Google Scholar] [CrossRef]
- Li, Y.-X.; Yang, G.-H. Observer-based fuzzy adaptive event-triggered control codesign for a class of uncertain nonlinear systems. IEEE Trans. Fuzzy Syst. 2017, 26, 1589–1599. [Google Scholar] [CrossRef]
- Zhang, T.; Ge, S.S.; Hang, C.C. Adaptive neural network control for strict-feedback nonlinear systems using backstepping design. Automatica 2000, 36, 1835–1846. [Google Scholar] [CrossRef]
- Li, Y.-X.; Yang, G.-H. Fuzzy adaptive output feedback fault-tolerant tracking control of a class of uncertain nonlinear systems with nonaffine nonlinear faults. IEEE Trans. Fuzzy Syst. 2015, 24, 223–234. [Google Scholar] [CrossRef]
- Tong, S.; Li, Y. Adaptive fuzzy output feedback tracking backstepping control of strict-feedback nonlinear systems with unknown dead zones. IEEE Trans. Fuzzy Syst. 2011, 20, 168–180. [Google Scholar] [CrossRef]
- Zhao, Y.; Zhang, H.; Chen, Z.; Wang, H.; Zhao, X. Adaptive neural decentralised control for switched interconnected nonlinear systems with backlash-like hysteresis and output constraints. Int. J. Syst. Sci. 2022, 53, 1545–1561. [Google Scholar] [CrossRef]
- Cheng, F.; Wang, H.; Zhang, L.; Ahmad, A.; Xu, N. Decentralized adaptive neural two-bit-triggered control for nonstrict-feedback nonlinear systems with actuator failures. Neurocomputing 2022, 500, 856–867. [Google Scholar] [CrossRef]
- Liu, Z.; Gao, H.; Lin, W.; Qiu, J.; Rodriguez-Andina, J.; Qu, D. B-spline wavelet neural network-based adaptive control for linear motor-driven systems via a novel gradient descent algorithm. IEEE Trans. Ind. Electron. 2023. [Google Scholar] [CrossRef]
- Li, Y.; Tong, S. Adaptive neural networks prescribed performance control design for switched interconnected uncertain nonlinear systems. IEEE Trans. Neural Netw. Learn. Syst. 2017, 29, 3059–3068. [Google Scholar] [CrossRef] [PubMed]
- Bechlioulis, C.P.; Rovithakis, G.A. Robust adaptive control of feedback linearizable mimo nonlinear systems with prescribed performance. IEEE Trans. Autom. Control 2008, 53, 2090–2099. [Google Scholar] [CrossRef]
- Zhang, J.-X.; Yang, G.-H. Prescribed performance fault-tolerant control of uncertain nonlinear systems with unknown control directions. IEEE Trans. Autom. Control 2017, 62, 6529–6535. [Google Scholar] [CrossRef]
- Li, T.; Yang, D.; Xie, X.; Zhang, H. Event-triggered control of nonlinear discrete-time system with unknown dynamics based on hdp (λ). IEEE Trans. Cybern. 2021, 52, 6046–6058. [Google Scholar] [CrossRef]
- Johansson, K.H.; Egerstedt, M.; Lygeros, J.; Sastry, S. On the regularization of zeno hybrid automata. Syst. Control Lett. 1999, 38, 141–150. [Google Scholar] [CrossRef]
- Dawson, D.M.; Carroll, J.J.; Schneider, M. Integrator backstepping control of a brush dc motor turning a robotic load. IEEE Trans. Control Syst. Technol. 1994, 2, 233–244. [Google Scholar] [CrossRef]












Disclaimer/Publisher’s Note: The statements, opinions and data contained in all publications are solely those of the individual author(s) and contributor(s) and not of MDPI and/or the editor(s). MDPI and/or the editor(s) disclaim responsibility for any injury to people or property resulting from any ideas, methods, instructions or products referred to in the content. |
© 2023 by the authors. Licensee MDPI, Basel, Switzerland. This article is an open access article distributed under the terms and conditions of the Creative Commons Attribution (CC BY) license (https://creativecommons.org/licenses/by/4.0/).
Share and Cite
Wu, W.; Xu, N.; Niu, B.; Zhao, X.; Ahmad, A.M. Low-Computation Adaptive Saturated Self-Triggered Tracking Control of Uncertain Networked Systems. Electronics 2023, 12, 2771. https://doi.org/10.3390/electronics12132771
Wu W, Xu N, Niu B, Zhao X, Ahmad AM. Low-Computation Adaptive Saturated Self-Triggered Tracking Control of Uncertain Networked Systems. Electronics. 2023; 12(13):2771. https://doi.org/10.3390/electronics12132771
Chicago/Turabian StyleWu, Wenjing, Ning Xu, Ben Niu, Xudong Zhao, and Adil M. Ahmad. 2023. "Low-Computation Adaptive Saturated Self-Triggered Tracking Control of Uncertain Networked Systems" Electronics 12, no. 13: 2771. https://doi.org/10.3390/electronics12132771
APA StyleWu, W., Xu, N., Niu, B., Zhao, X., & Ahmad, A. M. (2023). Low-Computation Adaptive Saturated Self-Triggered Tracking Control of Uncertain Networked Systems. Electronics, 12(13), 2771. https://doi.org/10.3390/electronics12132771

