Frequency-Reconfigurable Microstrip Patch Antenna Based on Graphene Film
Abstract
1. Introduction
2. Experimental Methods
2.1. Preparation of Graphene Film
2.2. Antenna Fabrication
2.3. Characterization and Testing
3. Tunable Conductivity of Graphene Film
3.1. Graphene Film Characterization
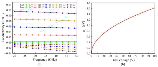
3.2. Conductivity Model of Graphene Film
3.3. Adjustable Range Test Regarding Graphene Film’s Square Resistance
4. Frequency-Reconfigurable Antenna Based on Graphene Film
4.1. Antenna Structure Design
4.2. Antenna Simulation Results
4.3. Antenna Performance
5. Conclusions
Supplementary Materials
Author Contributions
Funding
Data Availability Statement
Conflicts of Interest
References
- Kamran Shereen, M.; Khattak, M.I.; Nebhen, J. A review of achieving frequency reconfiguration through switching in microstrip patch antennas for future 5G applications. Alex. Eng. J. 2022, 61, 29–40. [Google Scholar] [CrossRef]
- Langer, J.C.; Zou, J.; Liu, C.; Bernhard, J.T. Micromachined reconfigurable out-of-plane microstrip patch antenna using plastic deformation magnetic actuation. IEEE Microw. Wirel. Compon. Lett. 2003, 13, 120–122. [Google Scholar] [CrossRef]
- Haupt, R.L.; Lanagan, M. Reconfigurable Antennas. IEEE Antennas Propag. Mag. 2013, 55, 49–61. [Google Scholar] [CrossRef]
- Tu, Y.; Al-Yasir, Y.I.A.; Ojaroudi Parchin, N.; Abdulkhaleq, A.M.; Abd-Alhameed, R.A. A Survey on Reconfigurable Microstrip Filter–Antenna Integration: Recent Developments and Challenges. Electronics 2020, 9, 1249. [Google Scholar] [CrossRef]
- Ojaroudi, N.; Amiri, S.; Geran, F. Reconfigurable monopole antenna with controllable band-notched performance for UWB communications. In Proceedings of the 2012 20th Telecommunications Forum (TELFOR), Belgrade, Serbia, 20–22 November 2012; pp. 1176–1178. [Google Scholar]
- Li, Y.; Li, W.; Ye, Q. A compact circular slot UWB antenna with multimode reconfigurable band-notched characteristics using resonator and switch techniques. Microw. Opt. Technol. Lett. 2014, 56, 570–574. [Google Scholar] [CrossRef]
- Matthews, E.W.; Cuccia, C.L.; Rubin, M.D. Technology Considerations for the Use of Multiple Beam Antenna Systems in Communication Satellites. IEEE Trans. Microw. Theory Tech. 1979, 27, 998–1004. [Google Scholar] [CrossRef]
- Ojaroudi Parchin, N.; Jahanbakhsh Basherlou, H.; Al-Yasir, Y.I.A.; Abdulkhaleq, A.M.; Abd-Alhameed, R.A. Reconfigurable Antennas: Switching Techniques—A Survey. Electronics 2020, 9, 336. [Google Scholar] [CrossRef]
- Li, T.; Zhai, H.; Wang, X.; Li, L.; Liang, C. Frequency-Reconfigurable Bow-Tie Antenna for Bluetooth, WiMAX, and WLAN Applications. IEEE Antennas Wirel. Propag. Lett. 2015, 14, 171–174. [Google Scholar] [CrossRef]
- Abutarboush, H.F.; Shamim, A. A Reconfigurable Inkjet-Printed Antenna on Paper Substrate for Wireless Applications. IEEE Antennas Wirel. Propag. Lett. 2018, 17, 1648–1651. [Google Scholar] [CrossRef]
- Tawk, Y.; Costantine, J.; Christodoulou, C.G. A Varactor-Based Reconfigurable Filtenna. IEEE Antennas Wirel. Propag. Lett. 2012, 11, 716–719. [Google Scholar] [CrossRef]
- Cetiner, B.A.; Jafarkhani, H.; Jiang-Yuan, Q.; Hui Jae, Y.; Grau, A.; Flaviis, F.D. Multifunctional reconfigurable MEMS integrated antennas for adaptive MIMO systems. IComM 2004, 42, 62–70. [Google Scholar] [CrossRef]
- Zohur, A.; Mopidevi, H.; Rodrigo, D.; Unlu, M.; Jofre, L.; Cetiner, B.A. RF MEMS Reconfigurable Two-Band Antenna. IEEE Antennas Wirel. Propag. Lett. 2013, 12, 72–75. [Google Scholar] [CrossRef]
- Mahanta, P.; Anwar, F.; Coutu, R.A., Jr. Novel Test Fixture for Characterizing MEMS Switch Microcontact Reliability and Performance. Sensors 2019, 19, 579. [Google Scholar] [CrossRef]
- Sugiura, S.; Iizuka, H. Reactively Steered Ring Antenna Array for Automotive Application. IEEE Trans. Antennas Propag. 2007, 55, 1902–1908. [Google Scholar] [CrossRef]
- Singh, A.; Goode, I.; Saavedra, C.E. A Multistate Frequency Reconfigurable Monopole Antenna Using Fluidic Channels. IEEE Antennas Wirel. Propag. Lett. 2019, 18, 856–860. [Google Scholar] [CrossRef]
- Li, C.; Xu, S.; Yang, F.; Li, M. Design and Optimization of a Mechanically Reconfigurable Reflectarray Antenna with Pixel Patch Elements Using Genetic Algorithm. In Proceedings of the 2019 IEEE MTT-S International Wireless Symposium (IWS), Guangzhou, China, 19–22 May 2019; pp. 1–3. [Google Scholar]
- Costantine, J.; Tawk, Y.; Woodland, J.; Flaum, N.; Christodoulou, C. Reconfigurable antenna system with a movable ground plane for cognitive radio. Microw. Antennas Propag. IET 2014, 8, 858–863. [Google Scholar] [CrossRef]
- Rocca, P.; Haupt, R. Dynamic Array Thinning for Adaptive Interference Cancellation. In Proceedings of the Fourth European Conference on Antennas and Propagation, Barcelona, Spain, 12–16 April 2010; pp. 1–3. [Google Scholar]
- Tomasic, B.; Turtle, J.; Liu, S.; Schmier, R.; Bharj, S.; Oleski, P. The Geodesic Dome Phased Array Antenna for Satellite Control and Communication—Subarray Design, Development and Demonstration. In Proceedings of the IEEE International Symposium on Phased Array Systems and Technology, Boston, MA, USA, 14–17 October 2003; pp. 411–416. [Google Scholar]
- Novoselov, K.S.; Geim, A.K.; Morozov, S.V.; Jiang, D.; Zhang, Y.; Dubonos, S.V.; Grigorieva, I.V.; Firsov, A.A. Electric Field Effect in Atomically Thin Carbon Films. Science 2004, 306, 666–669. [Google Scholar] [CrossRef]
- Olabi, A.G.; Abdelkareem, M.A.; Wilberforce, T.; Sayed, E.T. Application of graphene in energy storage device—A review. Renew. Sustain. Energy Rev. 2021, 135, 110026. [Google Scholar] [CrossRef]
- Mudusu, D.; Nandanapalli, K.R.; Lee, S.; Hahn, Y.-B. Recent advances in graphene monolayers growth and their biological applications: A review. Adv. Colloid Interface Sci. 2020, 283, 102225. [Google Scholar] [CrossRef]
- Zhu, Y.; Murali, S.; Cai, W.; Li, X.; Suk, J.W.; Potts, J.R.; Ruoff, R.S. Graphene and graphene oxide: Synthesis, properties, and applications. Adv. Mater. 2010, 22, 3906–3924. [Google Scholar] [CrossRef]
- Nguyen, K.T.; Zhao, Y. Integrated graphene/nanoparticle hybrids for biological and electronic applications. Nanoscale 2014, 6, 6245–6266. [Google Scholar] [CrossRef] [PubMed]
- Gurunathan, S.; Kim, J.H. Synthesis, toxicity, biocompatibility, and biomedical applications of graphene and graphene-related materials. Int. J. Nanomed. 2016, 11, 1927–1945. [Google Scholar] [CrossRef] [PubMed]
- Huang, Y.; Wu, L.S.; Tang, M.; Mao, J. Design of a Beam Reconfigurable THz Antenna With Graphene-Based Switchable High-Impedance Surface. IEEE Trans. Nanotechnol. 2012, 11, 836–842. [Google Scholar] [CrossRef]
- Sherrott, M.C.; Hon, P.W.C.; Fountaine, K.T.; Garcia, J.C.; Ponti, S.M.; Brar, V.W.; Sweatlock, L.A.; Atwater, H.A. Experimental Demonstration of >230° Phase Modulation in Gate-Tunable Graphene–Gold Reconfigurable Mid-Infrared Metasurfaces. Nano Lett. 2017, 17, 3027–3034. [Google Scholar] [CrossRef] [PubMed]
- Wang, J.; Lu, W.B.; Liu, Z.G.; Zhang, A.Q.; Chen, H. Graphene-Based Microwave Antennas With Reconfigurable Pattern. IEEE Trans. Antennas Propag. 2020, 68, 2504–2510. [Google Scholar] [CrossRef]
- Tamagnone, M.; Perruisseau-Carrier, J. Predicting Input Impedance and Efficiency of Graphene Reconfigurable Dipoles Using a Simple Circuit Model. IEEE Antennas Wirel. Propag. Lett. 2014, 13, 313–316. [Google Scholar] [CrossRef]
- Grande, M.; Bianco, G.V.; Laneve, D.; Capezzuto, P.; Petruzzelli, V.; Scalora, M.; Prudenzano, F.; Bruno, G.; D’Orazio, A. Gain and phase control in a graphene-loaded reconfigurable antenna. Appl. Phys. Lett. 2019, 115, 133103. [Google Scholar] [CrossRef]
- Hanson, G.W. Dyadic Green’s Functions for an Anisotropic, Non-Local Model of Biased Graphene. IEEE Trans. Antennas Propag. 2008, 56, 747–757. [Google Scholar] [CrossRef]
- Gomez-Diaz, J.S.; Perruisseau-Carrier, J. Microwave to THz properties of graphene and potential antenna applications. In Proceedings of the 2012 International Symposium on Antennas and Propagation (ISAP), Nagoya, Japan, 29 October–2 November 2012; pp. 239–242. [Google Scholar]
- Dragoman, M.; Neculoiu, D.; Bunea, A.-C.; Deligeorgis, G.; Aldrigo, M.; Vasilache, D.; Dinescu, A.; Konstantinidis, G.; Mencarelli, D.; Pierantoni, L.; et al. A tunable microwave slot antenna based on graphene. Appl. Phys. Lett. 2015, 106, 153101. [Google Scholar] [CrossRef]
- Bunea, A.C.; Neculoiu, D.; Dragoman, M.; Konstantinidis, G.; Deligeorgis, G. X band tunable slot antenna with graphene patch. In Proceedings of the 2015 European Microwave Conference (EuMC), Paris, France, 7–10 September 2015; pp. 614–617. [Google Scholar]
- Yasir, M.; Savi, P.; Bistarelli, S.; Cataldo, A.; Bozzi, M.; Perregrini, L.; Bellucci, S. A Planar Antenna with Voltage-Controlled Frequency Tuning Based on Few-Layer Graphene. IEEE Antennas Wirel. Propag. Lett. 2017, 16, 2380–2383. [Google Scholar] [CrossRef]
- Álvarez, C.N.; Cheung, R.; Thompson, J.S. Performance Analysis of Hybrid Metal–Graphene Frequency Reconfigurable Antennas in the Microwave Regime. IEEE Trans. Antennas Propag. 2017, 65, 1558–1569. [Google Scholar] [CrossRef]
- Moradi, K.; Pourziad, A.; Nikmehr, S. An efficient graphene-based reconfigurable terahertz ring antenna design. AEU -Int. J. Electron. Commun. 2022, 149, 154177. [Google Scholar] [CrossRef]
- Ferrari, A.C.; Meyer, J.C.; Scardaci, V.; Casiraghi, C.; Lazzeri, M.; Mauri, F.; Piscanec, S.; Jiang, D.; Novoselov, K.S.; Roth, S.; et al. Raman Spectrum of Graphene and Graphene Layers. Phys. Rev. Lett. 2006, 97, 187401. [Google Scholar] [CrossRef]
- Bae, S.; Kim, H.; Lee, Y.; Xu, X.; Park, J.-S.; Zheng, Y.; Balakrishnan, J.; Lei, T.; Ri Kim, H.; Song, Y.I.; et al. Roll-to-roll production of 30-inch graphene films for transparent electrodes. Nat. Nanotechnol. 2010, 5, 574–578. [Google Scholar] [CrossRef] [PubMed]
- Hanson, G.W. Dyadic Green’s functions and guided surface waves for a surface conductivity model of graphene. J. Appl. Phys. 2008, 103, 064302. [Google Scholar] [CrossRef]
- Dash, S.; Patnaik, A. Behavior of graphene based planar antenna at microwave and terahertz frequency. Photonics Nanostruct.–Fundam. Appl. 2020, 40, 100800. [Google Scholar] [CrossRef]
- Zhang, Y.; Li, T.; Zeng, B.; Zhang, H.; Lv, H.; Huang, X.; Zhang, W.; Azad, A.K. A graphene based tunable terahertz sensor with double Fano resonances. Nanoscale 2015, 7, 12682–12688. [Google Scholar] [CrossRef]
- Wang, X.C.; Zhao, W.S.; Hu, J.; Yin, W.Y. Reconfigurable Terahertz Leaky-Wave Antenna Using Graphene-Based High-Impedance Surface. IEEE Trans. Nanotechnol. 2015, 14, 62–69. [Google Scholar] [CrossRef]
- Kushwaha, R.K.; Karuppanan, P. Proximity-coupled high gain graphene patch antenna using holey dielectric superstrate for terahertz applications. Optik 2021, 240, 166793. [Google Scholar] [CrossRef]
- Li, J.; He, M.; Wu, C.; Zhang, C. Radiation-Pattern-Reconfigurable Graphene Leaky-Wave Antenna at Terahertz Band Based on Dielectric Grating Structure. IEEE Antennas Wirel. Propag. Lett. 2017, 16, 1771–1775. [Google Scholar] [CrossRef]
- Perruisseau-Carrier, J.; Tamagnone, M.; Gomez-Diaz, J.S.; Carrasco, E. Graphene antennas: Can integration and reconfigurability compensate for the loss? In Proceedings of the 2013 European Microwave Conference, Nuremberg, Germany, 6–10 October 2013; pp. 369–372. [Google Scholar]
- Choi, J.; Park, J.; Youn, Y.; Hwang, W.; Seong, H.; Whang, Y.N.; Hong, W. Frequency-Adjustable Planar Folded Slot Antenna Using Fully Integrated Multithrow Function for 5G Mobile Devices at Millimeter-Wave Spectrum. IEEE Trans. Microw. Theory Tech. 2020, 68, 1872–1881. [Google Scholar] [CrossRef]
- Van Caekenberghe, K.; Sarabandi, K. A 2-Bit Ka-Band RF MEMS Frequency Tunable Slot Antenna. IEEE Antennas Wirel. Propag. Lett. 2008, 7, 179–182. [Google Scholar] [CrossRef]
- Lee, S.W.; Sung, Y. Compact Frequency Reconfigurable Antenna for LTE/WWAN Mobile Handset Applications. IEEE Trans. Antennas Propag. 2015, 63, 4572–4577. [Google Scholar] [CrossRef]











| Parameter | Value (mm) | Parameter | Value (mm) |
|---|---|---|---|
| W | 10 | L | 6 |
| W1 | 4 | L1 | 3 |
| Ws | 2 | Ls | 0.7 |
| W2 | 1.3 | L2 | 2.27 |
| Ref. | Reconfigurable Method | Size (mm2) | Operation Frequency (GHz) | Frequency Shift (GHz) | Publication Years |
|---|---|---|---|---|---|
| [48] | Variable Capacitor | 9.88 × 20.4 | 27.8, 28.8 | 1 | 2020 |
| [49] | RF-MEMS | 3 × 4.8 | 28, 29.2, 31.5, 35 | 7 | 2008 |
| [50] | PIN | 36.5 × 10 | 0.9, 2.0, 2.4 | 1.3 | 2015 |
| [34] | Graphene | 23 × 23 | 8.7, 11.3 | 2.6 | 2015 |
| This work | Graphene | 6 × 10 | 29.6, 40 | 10.4 |
Disclaimer/Publisher’s Note: The statements, opinions and data contained in all publications are solely those of the individual author(s) and contributor(s) and not of MDPI and/or the editor(s). MDPI and/or the editor(s) disclaim responsibility for any injury to people or property resulting from any ideas, methods, instructions or products referred to in the content. |
© 2023 by the authors. Licensee MDPI, Basel, Switzerland. This article is an open access article distributed under the terms and conditions of the Creative Commons Attribution (CC BY) license (https://creativecommons.org/licenses/by/4.0/).
Share and Cite
Wang, X.; Wu, L.; Chen, H.; Wang, W.; Liu, Z. Frequency-Reconfigurable Microstrip Patch Antenna Based on Graphene Film. Electronics 2023, 12, 2307. https://doi.org/10.3390/electronics12102307
Wang X, Wu L, Chen H, Wang W, Liu Z. Frequency-Reconfigurable Microstrip Patch Antenna Based on Graphene Film. Electronics. 2023; 12(10):2307. https://doi.org/10.3390/electronics12102307
Chicago/Turabian StyleWang, Xinhai, Liqiong Wu, Hua Chen, Wei Wang, and Zhaoping Liu. 2023. "Frequency-Reconfigurable Microstrip Patch Antenna Based on Graphene Film" Electronics 12, no. 10: 2307. https://doi.org/10.3390/electronics12102307
APA StyleWang, X., Wu, L., Chen, H., Wang, W., & Liu, Z. (2023). Frequency-Reconfigurable Microstrip Patch Antenna Based on Graphene Film. Electronics, 12(10), 2307. https://doi.org/10.3390/electronics12102307

