Analysis and Simulation of Space-Based LM-APD 3D Imaging
Abstract
:1. Introduction
2. Characterization of LM-APD Arrays for Laser 3D Imaging
2.1. Imaging Chain Analysis
2.1.1. Laser
2.1.2. Space Targets
2.1.3. LM-APD Array
- (1)
- How LM-APD works
- (2)
- Structure of the array
- Gain inconsistency. The thickness of the multiplication layer of each APD pixel in the APD array cannot be uniform, which affects the gain consistency of the APD arrays. The gain consistency difference is a systematic error that can be corrected by calibration [18].
- Crosstalk. The crosstalk of the APD array mainly has two kinds of photon scattering and photogenerated carrier diffusion. Photon scattering refers to the scattering of photons emitted from the multiplication area to the adjacent APD pixels when the avalanche multiplication of photoelectrons occurs. When the number of incident photons is the same between adjacent pixels of the APD array, the effect of photon scattering on the SNR of the LM-APD array is smaller than which can be neglected. Photogenerated carrier diffusion refers to the formation of photogenerated carriers by photon irradiation of APD pixels, and some of the photogenerated carriers diffuse through the substrate in the APD array to the surrounding pixels causing crosstalk [19]. The effect of photogenerated carrier diffusion is inversely proportional to the image element spacing and the image element size, and according to the experiment, when the image element size is 205 × 205 μm and the image element spacing is 115 μm, the effect of photogenerated carrier diffusion on the signal-to-noise ratio is lower than and can be negligible when the number of incident photons between adjacent pixels of the LM-APD array is almost the same. Therefore, the effect of inter-image crosstalk on 3D imaging can be neglected.
- Time delay inconsistency. The time delay inconsistency is mainly due to the inconsistency of the flight time caused by the beam divergence angle and the inconsistency of the corresponding circuit of each pixel. The inconsistency of the time delay due to the beam divergence angle is the time delay between the photon flight time of each pixel corresponding to the field of view and the photon flight time of the center of the field of view due to the spatial distribution of the beam in the far field, and the time delay due to the beam reflection angle can be corrected by the angular value between the center axis of the field of view corresponding to each APD pixel and the center axis of the APD array and the relative distance value of the target [20]. The time delay due to circuit inconsistency can be neglected by proper circuit design and calibration.
- (3)
- Response to light
- (4)
- Noise characteristics
2.1.4. Amplifiers
2.1.5. Time Identification
2.2. Motion State Analysis of Space Targets
2.2.1. Spin State
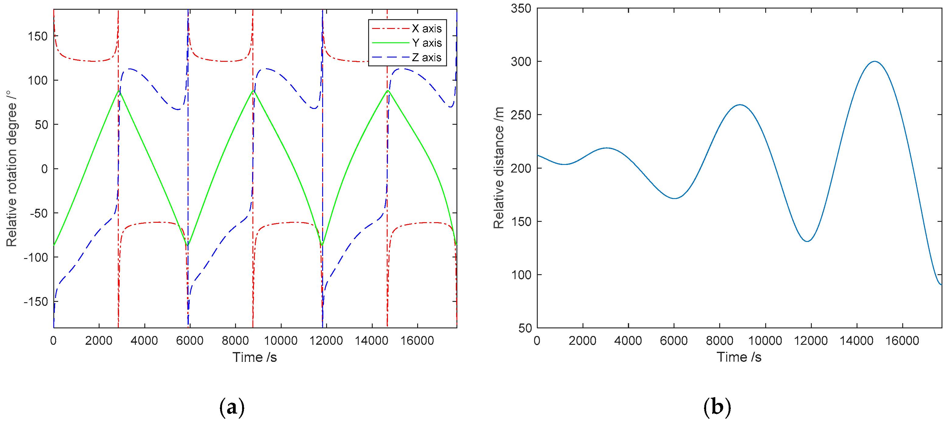
2.2.2. Relative Position
2.2.3. Analysis of the Effect of Relative Motion on 3D Imaging
- (1)
- Drift in Pixel
- (2)
- Distance measurement error
2.3. Analysis of the 3D Imaging Performance of LM-APD Arrays
- (1)
- Field of view
- (2)
- Angular resolution
- (3)
- Ranging error
- (4)
- False alarm rate
3. LM-APD Array Laser 3D Imaging Simulation Method
4. Results and Discussion
4.1. Comparative Analysis of the Results of Different Imaging Conditions
4.1.1. Simulation Results of the Target in Different Positions
4.1.2. Simulation Results of LM-APD Arrays with Different Number of Pixels at Different Imaging Distances
4.1.3. Comparative Analysis with Real LM-APD 3D Imaging Results
4.2. Space-Based Imaging Simulation and Analysis
4.2.1. Simulation Parameters
4.2.2. Simulation Results
5. Conclusions
Author Contributions
Funding
Institutional Review Board Statement
Informed Consent Statement
Data Availability Statement
Acknowledgments
Conflicts of Interest
References
- Wang, S.; Sun, H.; Guo, H. Development and status of single pulse 3D imaging lidar based on APD array. Laser Infrared 2017, 47, 389–398. [Google Scholar]
- Mizuno, T.; Ikeda, H.; Iwashina, S.; Hashi, T.; Nagano, T.; Baba, T. 1K pixel silicon-MPPC three-dimensional image sensor for flash LIDAR. IEICE Electron. Express 2022, 19, 20210518. [Google Scholar] [CrossRef]
- Bos, B.; Adam, C.; Lauretta, D.S. Origins, Spectral Interpretation, Resource Identification, Security, Regolith Explorer (OSIRIS-REx): Touch-and-Go Camera Suite (TAGCAMS) Bundle 11.0. NASA Planet. Data Syst. 2021, 17. [Google Scholar] [CrossRef]
- Dickson, M.P. Autonomous Navigation in Deep Space Using Optical Measurements of Unresolved Planets and Stars. Ph.D. Thesis, Rensselaer Polytechnic Institute, New York, NY, USA, 2022. [Google Scholar]
- Liang, W.; Guo, H.; Yin, R.; Ren, G.; Gan, L.; Chen, Q. Modeling and simulation of laser active imaging system based on APD detector. In Proceedings of the Thirteenth International Conference on Information Optics and Photonics (CIOP 2022), Xi’an, China, 15 December 2022; Volume 12478. [Google Scholar]
- Liu, Y.; Chen, F.; Wang, Y.; Huang, J.; Wei, X. Measurement of relative position and pose between two spacecrafts based on laser lidar. Infrared Laser Eng. 2016, 45, 0817003-1–0817003-6. [Google Scholar] [CrossRef]
- Villa, F.; Severini, F.; Madonini, F.; Zappa, F. SPADs and SiPMs arrays for long-range high-speed light detection and ranging (LiDAR). Sensors 2021, 21, 3839. [Google Scholar] [CrossRef] [PubMed]
- Zhao, W. Research on Performance and range estimation Technology of 3D Flash Ladar. Ph.D. Thesis, Beijing Institute of Technology, Beijing, China, 2014. [Google Scholar]
- Yao, Z.; Zhang, H.; Zhang, X.; Huang, Z.; Yue, L. Analysis and evaluation of detection distance effect on detection capability of laser fixed-distance fuze. Infrared Laser Eng. 2018, 47, 0303005-1–0303005-9. [Google Scholar]
- Xie, G.; Ye, Y.; Li, J.; Yuan, X. Echo characteristics and range error for pulse laser ranging. Chin. J. Lasers 2018, 45, 0610001. [Google Scholar]
- Wang, Y.; Huang, J.; Liu, Y.; Chen, F.; Wei, X. Simulation of lidar imaging for space target. Infrared Laser Eng. 2016, 45, 0906002-1–0906002-6. [Google Scholar] [CrossRef]
- Chen, F.; Zhu, J.; Gu, D.; Wang, Y.; Liu, Y. Relative navigation technology of space non-cooperative target based on imaging lidar. Infrared Laser Eng. 2016, 45, 1030005-1–1030005-8. [Google Scholar] [CrossRef]
- Zhang, F.; Li, Y.; Xu, C.; Zhao, S. Multivariate Models of Satellite Optical-Scattering Characteristics. Acta Opt. Sin. 2020, 40, 1729001. [Google Scholar] [CrossRef]
- Hu, Z.; Jiang, C.; Zhu, J.; Qiao, Z.; Xie, T.; Wang, C.; Yuan, Y.; Ye, Z.; Wang, Y. Chaos single photon LIDAR and the ranging performance analysis based on Monte Carlo simulation. Opt. Express 2022, 30, 41658–41670. [Google Scholar] [CrossRef] [PubMed]
- Gao, J.; Li, D.; Zhou, K.; Cui, A.; Wu, J.; Wang, Y.; Liu, K.; Tan, S.; Gao, Y.; Yao, Y. Analysis of Receiving Beam Broadening and Detection Range of LiDAR Based on Diffractive Optical System. Chin. J. Lasers 2023, 50, 0510001. [Google Scholar]
- Ove, S. Effects of target shape and reflection on laser radar cross sections. Appl. Opt. 2000, 39, 4381–4391. [Google Scholar]
- Wang, X.; Zhang, Y.; Xu, C.; Li, P.; Zhang, F. Bidirectional Reflectance Distribution Function Modeling Approach of Space Objects’ Fold Material. Acta Opt. Sin. 2019, 10, 1024001. [Google Scholar] [CrossRef]
- Dai, Y. Laser Radar Technique, 1st ed.; Electronic Industry Press: Beijing, China, 2010; pp. 112–123. [Google Scholar]
- Hu, Y. Laser Imaging Target Reconnaissance, 1st ed.; National Defense Industry Press: Beijing, China, 2013; pp. 211–231. [Google Scholar]
- Li, Y.; Tang, H.; Zhang, K.; Li, T.; Ning, J.; Li, X.; Gong, H. Analysis of crosstalk in front-illuminated InGaAs PIN hetero-junction photovoltaic infrared detector arrays. In Proceedings of the International Symposium on Photoelectronic Detection and Imaging 2009, Beijing, China, 4 August 2009; Volume 7383. [Google Scholar]
- Cheng, P. Research of Key Technologies of Wide Dynamic Range and High Precision Laser Distance Measurement. Ph.D. Thesis, Shanghai Institute of Technical Physics, Shanghai, China, 2014. [Google Scholar]
- NASA 3D Resources. Available online: https://nasa3d.arc.nasa.gov/ (accessed on 26 March 2023).
- Wang, S.; Sun, H.; Guo, H. Error analysis of time discrimination module based on Simulink. Laser Infrared 2017, 47, 137–143. [Google Scholar]
- Wang, S.; Sun, H.; Guo, H. Development and status of space-based three-dimensional imaging LIDAR. Laser Infrared 2018, 48, 1073–1081. [Google Scholar]
- Zhou, W.; Xu, J.; Jiang, Q.; Chen, Z. No-reference quality assessment for 360-degree images by analysis of multifrequency information and local-global naturalness. IEEE Trans. Circuits Syst. Video Technol. 2021, 32, 1778–1791. [Google Scholar] [CrossRef]
- Xu, J.; Zhou, W.; Chen, Z. Blind omnidirectional image quality assessment with viewport oriented graph convolutional networks. IEEE Trans. Circuits Syst. Video Technol. 2020, 31, 1724–1737. [Google Scholar] [CrossRef]
























| Material Type | Completely Diffuse Reflection | Complete Specular Reflection | Windsurfing | Coating 1 | Coating 2 |
|---|---|---|---|---|---|
| A | 0 | 1 | 0.5 | 0.55 | 0.65 |
| B | 1 | 0 | 0.03 | 0.05 | 0.04 |
| m | 1 | 0 | 4 | 2 | 3 |
| s | 1 | 0.25 | 0.05 | 0.25 | 0.15 |
| Parameters | Si | Ge | InGaAs |
|---|---|---|---|
| Wavelength of response/nm | 400–1000 | 800–1650 | 1100–1700 |
| Gain | 20–400 | 50–200 | 10–40 |
| Dark current/nA | 0.1–1 | 50–500 | 10–50 |
| Rise time/ns | 0.1–2 | 0.5–0.8 | 0.1–0.5 |
| Parameters | Half-Length Axle/km | Eccentricity | Track Inclination/° | Perigee Amplitude/° | Ascending Intersection Equator/° | Average Point Angle/° |
|---|---|---|---|---|---|---|
| Target satellite | 7073.22 | 0.001521 | 98.105 | 60.047 | 314.880 | 164.242 |
| Imaging satellite | 7073.22 | 0.001535 | 98.104 | 59.904 | 314.881 | 164.385 |
| Model | Part | Parameters |
|---|---|---|
| Lasers | Dispersion angle/mrad | 2 |
| Pulse energy/mJ | 5 | |
| Pulse width/ns | 5 | |
| Emit optics system | Beam expansion ratio | 1/15 |
| Lens transmittance | 0.95 | |
| Target | Size/m | 15 × 10.25 × 5.5 |
| Distance/m | 500 | |
| Timing Circuit | Timing accuracy/ps | 100 |
| Receiving optics System | Field of view/mrad | 30 |
| Lens aperture/m | 0.5 | |
| Si-LM-APD Array | Number of pixels | 256 × 256 |
| Image size/μm | 150 × 150 | |
| Sensitivity A/W | 25 | |
| Bandwidth/MHz | 120 | |
| Temperature/K | 298.15 | |
| Load impedance/Ω | 50 | |
| Amplifier | TIA noise factor | 1.05 |
| AGC noise factor | 1.15 | |
| Number of AGC levels | 2 |
Disclaimer/Publisher’s Note: The statements, opinions and data contained in all publications are solely those of the individual author(s) and contributor(s) and not of MDPI and/or the editor(s). MDPI and/or the editor(s) disclaim responsibility for any injury to people or property resulting from any ideas, methods, instructions or products referred to in the content. |
© 2023 by the authors. Licensee MDPI, Basel, Switzerland. This article is an open access article distributed under the terms and conditions of the Creative Commons Attribution (CC BY) license (https://creativecommons.org/licenses/by/4.0/).
Share and Cite
Wang, S.; Quan, L.; Zhang, J.; Liu, L.; Cong, D.; Sun, G.; Li, L.; Wang, K. Analysis and Simulation of Space-Based LM-APD 3D Imaging. Electronics 2023, 12, 2261. https://doi.org/10.3390/electronics12102261
Wang S, Quan L, Zhang J, Liu L, Cong D, Sun G, Li L, Wang K. Analysis and Simulation of Space-Based LM-APD 3D Imaging. Electronics. 2023; 12(10):2261. https://doi.org/10.3390/electronics12102261
Chicago/Turabian StyleWang, Shuai, Lin Quan, Jie Zhang, Lei Liu, Dianwei Cong, Guangde Sun, Ling Li, and Kunpeng Wang. 2023. "Analysis and Simulation of Space-Based LM-APD 3D Imaging" Electronics 12, no. 10: 2261. https://doi.org/10.3390/electronics12102261
APA StyleWang, S., Quan, L., Zhang, J., Liu, L., Cong, D., Sun, G., Li, L., & Wang, K. (2023). Analysis and Simulation of Space-Based LM-APD 3D Imaging. Electronics, 12(10), 2261. https://doi.org/10.3390/electronics12102261

