A THz Slot Antenna Design Using Analytical Techniques
Abstract
:1. Introduction
2. The Importance of the THz Frequency Band
2.1. THz Radiation and Safety Issues
- THz radiation can detect concealed weapons since many non-metallic, non-polar materials such as clothing, envelopes etc., are transparent to THz radiation (but are not transparent to visible radiation).
- Target compounds such as explosives and illicit drugs have characteristic THz spectra that can be used to identify these compounds.
- THz radiation poses no health risk for scanning people (as opposed to X-rays).
- Typical clothing items and paper and plastic packaging appear transparent in the THz regime.
- Metals absorb or reflect completely.
- Ceramic guns and knives partially reflect.
- Skin, because of its high-water content, absorbs THz radiation. Its energy is harmlessly dissipated as heat in the first 100 μm of skin tissue.
2.2. Commercial THz Systems
2.2.1. Complete Systems
2.2.2. THz Array Detectors
2.2.3. Remote Sensing of Dangerous Compounds
3. Antenna Design and Operation
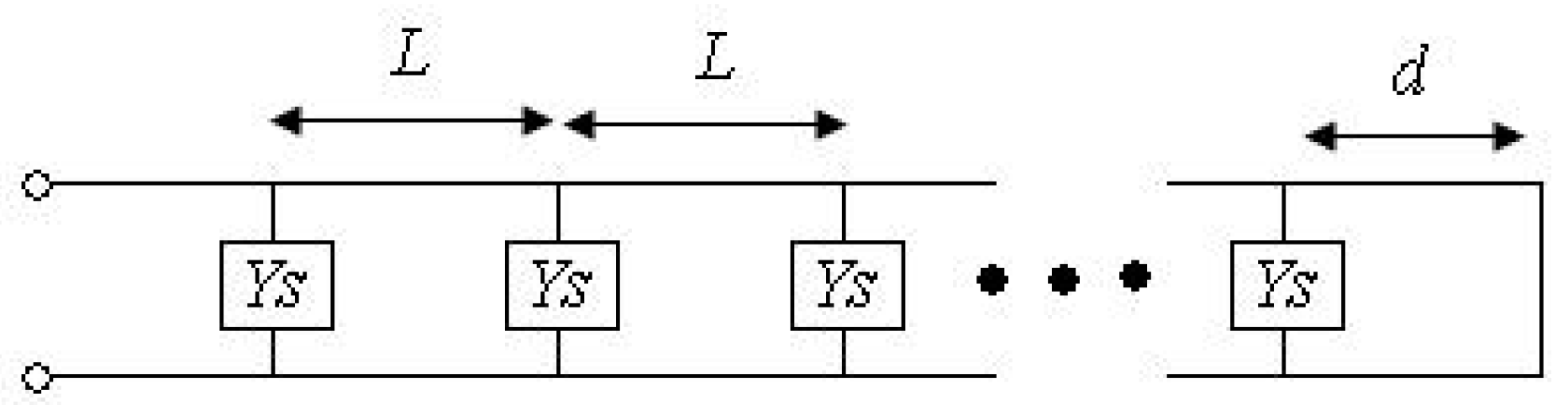
4. Slot Antenna Design and Simulation
- Choose the number of slots required for the desired gain and beam width. ( so, for a desired gain one can calculate N, and later improve the estimate using Equation (22)).
- Choose a waveguide size appropriate for the operating frequency (see Equations (3), (4) and (23) below for a specific example).
- Calculate the wavelength in the waveguide at the operating frequency (see Equations (3), (4) and (23) below for a specific example).
- Determine the slot dimensions, length, and width appropriate for the operating frequency (see Equation (25) below).
- Determine the slot position from centerline for normalized admittance of 1/N, where N is the number of slots in both walls of the waveguide (see Equation (26) below).
- Space or between the center of the last slot and the end of the waveguide.
5. Conclusions and Discussion
Author Contributions
Funding
Data Availability Statement
Conflicts of Interest
References
- Collin, R.E. Foundations for Microwave Engineering, 2nd ed.; Mcgraw-Hill College: Columbus, OH, USA, 1992; ISBN 10: 0070118116. [Google Scholar]
- Booker, H.G. Slot Aerials and Their Relation to Complementary Wire Aerials. J. IEE 1946, 93, 620–626. [Google Scholar] [CrossRef]
- Wade, P. The W1GHZ Online Microwave Antenna Book, Chapter 7. Available online: http://www.w1ghz.org/antbook/preface.htm (accessed on 1 May 2023).
- Bell, S. KB7TRZ, Slot Antenna Design. In Proceedings of the 40th Annual West Coast VHF/UHF Conference, Cerritos, CA, USA, 5–7 May 1995; Available online: http://www.qsl.net/w6by/techtips/slot_ant.html (accessed on 1 May 2023).
- Stegen, R.J. Longitudinal Shunt Slot Characteristics, Hughes Technical Memorandum No. 261, Culver City, CA. November 1951. Available online: http://www.dtic.mil/dtic/tr/fulltext/u2/a800305.pdf (accessed on 1 May 2023).
- Kraus, J. Antennas; McGraw-Hill: Columbus, OH, USA, 1950; pp. 624–642. ISBN 10: 007123201X. [Google Scholar]
- Pozar, D.M. Microwave Engineering, 4th ed.; Wiley: New York City, NY, USA, 2011; pp. 65–73. ISBN 10: 0470631554. [Google Scholar]
- Chang, K. Encyclopedia of RF and Microwave Engineering; John Wiley & Sons: New York City, NY, USA, 2005; Volume 1–6, pp. 4696–4702. ISBN 978-0-471-27053-9. [Google Scholar]
- Elliott, R.S. Antenna Theory and Design; Prentice-Hall: Hoboken, NJ, USA, 1981; pp. 39–41, 86–99, 336–344, 407–414. ISBN 10: 0471449962. [Google Scholar]
- Nell, O.; Solbach, K.; Dreier, J. Omnidirectional Waveguide Slot Antenna for Horizontal Polarization. VHF Communications, Part 1: 1991/4, pp. 200–205 and Part 2: 1992/1, pp. 11–17. Available online: http://www.vhfcomm.co.uk/index.html (accessed on 1 May 2023).
- Stevenson, A.F. Theory of slots in rectangular waveguides. J. Appl. Phys. 1948, 19, 24–38. [Google Scholar] [CrossRef]
- Croswell, W. Slots antenna, Chapter 8. In Antenna Engineering Handbook, 3rd ed.; Johnson, R., Jasik, H., Eds.; McGraw Hill, Inc.: New York, NY, USA, 2007; ISBN 10: 0071475745. [Google Scholar]
- Gilbert, R.A. Slot antenna arrays, Chapter 9. In Antenna Engineering Handbook, 3rd ed.; Johnson, R.C., Jasik, H., Eds.; McGraw Hill, Inc.: New York, NY, USA, 2007; ISBN 10: 0071475745. [Google Scholar]
- Moradian, M.; Khalaj-Amirhosseini, M.; Tayarani, M. Design of planar slotted array antenna fed by single ridge waveguide. Int. J. RF Microw. Comp. Aid Eng. 2010, 20, 593–602. [Google Scholar] [CrossRef]
- Kakatkar, S.S.; Deshmukh, A.A.; Ray, K.P. Analysis of a rectangular waveguide transverse slot using MoM and image method. IET Microw. Antennas Propag. 2020, 14, 1006–1011. [Google Scholar] [CrossRef]
- Stein, W.; Deckelmann, M.; Oborovski, A.; Vossiek, M. Planar cross-polarized transition to a circular waveguide feed for a 61 GHz dielectric antenna. In Proceedings of the 2015 German Microwave Conference, Nuremberg, Germany, 16–18 March 2015; pp. 162–165. [Google Scholar] [CrossRef]
- Komoshvili, K.; Levitan, J.; Aronov, S.; Yahalom, A.; Kapilevich, B. Millimeter waves non-thermal effect on human lung cancer cells. In Proceedings of the 2011 IEEE International Conference on Microwaves, Communications, Antennas and Electronic Systems (COMCAS 2011), Tel Aviv, Israel, 7–9 November 2011. [Google Scholar] [CrossRef]
- Aronov, S.; Einat, M.; Furman, O.; Pilossof, M.; Komoshvili, K.; Ben-Moshe, R.; Yahalom, A.; Levitan, J. Millimeter-wave insertion loss mice skin. J. Electromagn. Waves Appl. 2017, 32, 758–767. [Google Scholar] [CrossRef]
- Rajput, S.; Komoshvili, K.; Aronov, S.; Kumar Patnaik, P.; Levitan, J.; Yahalom, A. Optimization of transmitted power of horn antenna for biomedical applications. In Proceedings of the 2019 IEEE International Conference on Microwaves, Antennas, Communications and Electronic Systems (COMCAS), Tel-Aviv, Israel, 4–6 November 2019; pp. 1–4. [Google Scholar] [CrossRef]
- Fruman, O.; Komoshvili, K.; Levitan, J.; Yahalom, A.; Liberman-Aronov, S. The Lack of Toxic Effect of High-Power Short-Pulse 101 GHz Millimeter Waves on Healthy Mice. Bioelectromagnetics 2020, 41, 188–199. [Google Scholar] [CrossRef] [PubMed]
- Komoshvili, K.; Becker, T.; Levitan, J.; Yahalom, A.; Barbora, A. Liberman-Aronov. S. Morphological Changes in H1299 Human Lung Cancer Cells Following Millimeter-Wave, Irradiation. Appl. Sci. 2020, 10, 3187. [Google Scholar] [CrossRef]
- Komoshvili, K.; Levitan, J.; Israely, K.; Yahalom, A.; Barbora, A.; Liberman-Aronov, S. W-Band Millimeter Waves Targeted Mortality of H1299 Human Lung Cancer Cells without Affecting Non-tumorigenic MCF-10A Human Epithelial Cells In Vitro. Appl. Sci. 2020, 10, 4813. [Google Scholar] [CrossRef]
- Rajput, S.; Barbora, A.; Komoshvili, K.; Levitan, J.; Yahalom, A.; Liberman-Aronov, S. Scrutinizing Effects of 75 GHz MMW Irradiation on Biological Functions of Yeast. In Proceedings of the 2020 IEEE MTT-S International Microwave Biomedical Conference (IMBioC), Toulouse, France, 25–28 May 2020; pp. 1–4. [Google Scholar] [CrossRef]
- Barbora, A.; Rajput, S.; Komoshvili, K.; Levitan, J.; Yahalom, A.; Liberman-Aronov, S. Non-Ionizing Millimeter Waves Non-Thermal Radiation of Saccharomyces Cerevisiae-Insights and Interactions. Appl. Sci. 2021, 11, 6635. [Google Scholar] [CrossRef]
- Marks, H.S.; Kleinman, H.; Gover, A.; Einat, M.; Kanter, M.; Borodin, D.; Lasser, Y.; Lurie, Y.; Kapilevich, B.; Litvak, B.; et al. High-Power Long-Pulse Operation of a Millimeter-Wave FEL. In Proceedings of the IPSTA-2014, The 16th Israeli Plasma Science and Applications Conference, Tel Aviv University, Tel Aviv, Israel, 5 February 2014; p. 20. [Google Scholar]
- Siegel, P.H. THz Technology: An Overview. Int. J. High Speed Electron. Syst. 2003, 13, 351. [Google Scholar] [CrossRef]
- Mickan, S.P.; Zhang, X.-C. T-ray sensing and imaging. Int. J. High-Speed Electron. Sys. 2003, 13, 601. [Google Scholar] [CrossRef]
- Siegel, P.H. Terahertz technology. IEEE Trans. Microw. Theory Tech. 2002, 50, 910. [Google Scholar] [CrossRef]
- Medvedev, I.; Winnewisser, M.; De Lucia, F.C.; Herbst, E.; Białkowska-Jaworska, E.; Pszczółkowski, L.; Kisiel, Z. The millimeter-and submillimeter-wave spectrum of the trans–gauche conformer of diethyl ether. J. Mol. Spectrosc. 2004, 228, 314–328. [Google Scholar] [CrossRef]
- Kemp, M.C.; Taday, P.F.; Cole, B.E.; Cluff, J.A.; Fitzgerald, A.J.; Tribe, W.R. Security applications of terahertz technology. Proc. SPIE 2003, 5070, 44. [Google Scholar]
- Balal, N.; Magori, E.; Yahalom, A. Design of a Permanent Magnet Wiggler for a THz Free Electron Laser. Acta Phys. Pol. A 2015, 128, 259–263. [Google Scholar] [CrossRef]
- Pinhasi, Y.; Yahalom, A.; Harpaz, O.; Vilner, G. Study of an Ultra Wideband Transmission in the Extremely High Frequency (EHF) Band. IEEE Trans. Antennas Propag. 2004, 52, 2833–2842. [Google Scholar] [CrossRef]




























| Material | Feature Band Center Position Frequency (THz) |
|---|---|
| Explosives | |
| Semtex-H | 0.72, 1.29, 1.73, 1.88, 2.15, 2.45, 2.57 |
| PE4 | 0.72, 1.29, 1.73, 1.94, 2.21, 2.48, 2.69 |
| RDX/C4 | 0.72, 1.26, 1.73 |
| PETN | 1.73, 2.01, 2.51 |
| HMX | 1.58, 1.84, 1.91, 2.21, 2.57 |
| TNT | 1.44, 1.7, 1.91, 5.6, 8.2, 9.1, 9.9 |
| NH4NO3 | 4, 7 |
| Drugs | |
| Methamphetamine | 1.2, 1.7–1.8 |
| MDMA | 1.4, 1.8 |
| Lactose α-monohydrate | 0.54, 1.20, 1.38, 1.82, 2.54, 2.87, 3.29 |
| Icing sugar | 1.44, 1.61, 1.82, 2.24, 257, 2.84, 3.44 |
| Co-codamol | 1.85, 2.09, 2.93 |
| Aspirin, soluble | 1.38, 3.26 |
| Aspirin, caplets | 1.4, 2.24 |
| Acetaminophen | 6.5 |
| Terfenadine | 3.2 |
| Naproxen sodium | 5.2, 6.5 |
Disclaimer/Publisher’s Note: The statements, opinions and data contained in all publications are solely those of the individual author(s) and contributor(s) and not of MDPI and/or the editor(s). MDPI and/or the editor(s) disclaim responsibility for any injury to people or property resulting from any ideas, methods, instructions or products referred to in the content. |
© 2023 by the authors. Licensee MDPI, Basel, Switzerland. This article is an open access article distributed under the terms and conditions of the Creative Commons Attribution (CC BY) license (https://creativecommons.org/licenses/by/4.0/).
Share and Cite
Rozenberg, S.; Yahalom, A. A THz Slot Antenna Design Using Analytical Techniques. Electronics 2023, 12, 2233. https://doi.org/10.3390/electronics12102233
Rozenberg S, Yahalom A. A THz Slot Antenna Design Using Analytical Techniques. Electronics. 2023; 12(10):2233. https://doi.org/10.3390/electronics12102233
Chicago/Turabian StyleRozenberg, Shay, and Asher Yahalom. 2023. "A THz Slot Antenna Design Using Analytical Techniques" Electronics 12, no. 10: 2233. https://doi.org/10.3390/electronics12102233
APA StyleRozenberg, S., & Yahalom, A. (2023). A THz Slot Antenna Design Using Analytical Techniques. Electronics, 12(10), 2233. https://doi.org/10.3390/electronics12102233

