Integrated Yaw Stability Control of Electric Vehicle Equipped with Front/Rear Steer-by-Wire Systems and Four In-Wheel Motors
Abstract
:1. Introduction
1.1. Literature Review
- Improved configuration of a vehicle’s steering functionality;
- Improved design flexibility for a vehicle;
- Reduced vibration, which enhances the driver’s comfort;
- Ability of the rack-and-pinion system to receive road surface information independently of the driver’s operation.
1.2. Contributions of the Article
- In contrast to the commonly used lateral force estimation that relies on the tire model, in this study, the lateral tire force is estimated using the DOB of the SbW system and the kinematics of the suspension.
- By minimizing the workload on each tire, the stability of the vehicle is improved.
- The 3-DOF motion control of the vehicle is possible through the tire vector control, which directly controls the longitudinal and lateral forces of the tire.
2. Vehicle Modeling
2.1. 3-DOF Vehicle Model
2.2. Three Layers Control System
3. High-Level Controller
3.1. Yaw Moment Observer
3.2. Design of Yaw Stability Controller
3.3. Yaw Moment Distribution
4. Low-Level Controller
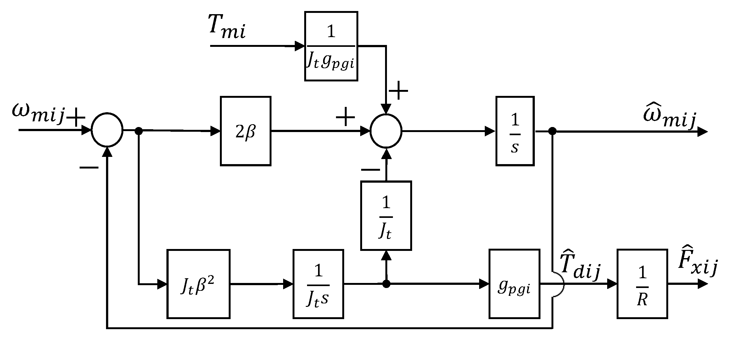
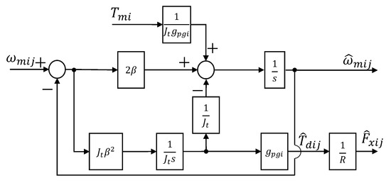
4.1. Driving Force Observer
4.2. Driving Force Controller
4.3. Lateral Force Observer
4.4. Lateral Force Controller
5. Verification of Proposed Control Methods
5.1. Simulation Environment
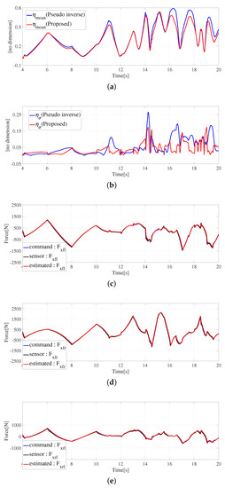
5.2. Simulation Results
5.3. Results for Double Lane Change
5.4. Results for Random
6. Conclusions
Author Contributions
Funding
Conflicts of Interest
Appendix A
Appendix B
References
- Onoda, Y.; Onuma, Y.; Goto, T.; Sugitani, T. Design Concept and Advantages of Steer-by-Wire System; SAE Technical Paper 2008-01-0493; SAE: Warrendale, PA, USA, 2008. [Google Scholar]
- Phadke, S.B.; Shendge, P.D.; Wanaskar, V.S. Control of Antilock Braking Systems Using Disturbance Observer With a Novel Nonlinear Sliding Surface. IEEE Trans. Ind. Electron. 2020, 67, 6815–6823. [Google Scholar] [CrossRef]
- Mi, C.; Lin, H.; Zhang, Y. Iterative learning control of antilock braking of electric and hybrid vehicles. IEEE Trans. Veh. Technol. 2005, 54, 486–494. [Google Scholar] [CrossRef]
- Yoshimura, M.; Fujimoto, H. Driving Torque Control Method for Electric Vehicle with In-Wheel Motors. Electr. Eng. Jpn. 2012, 181, 721–728. [Google Scholar] [CrossRef]
- De Castro, R.; Arajo, R.E.; Freitas, D. Wheel Slip Control of EVs Based on Sliding Mode Technique With Conditional Inte-grators. IEEE Trans. Ind. Electron. 2013, 60, 3256–3271. [Google Scholar] [CrossRef]
- Nam, K.; Oh, S.; Fujimoto, H.; Hori, Y. Design of Adaptive Sliding Mode Controller for Robust Yaw Stabilization of In-wheel-motor-driven Electric Vehicles. World Electr. Veh. J. 2012, 5, 588–597. [Google Scholar] [CrossRef] [Green Version]
- Kim, H.S.; Hyun, Y.J.; Nam, K.H. Disturbance Observer-Based Sideslip Angle Control for Improving Cornering Character-istics of In-Wheel Motor Electric Vehicles. Int. J. Automot. Technol. 2018, 19, 10711080. [Google Scholar] [CrossRef]
- Maeda, K.; Fujimoto, H.; Hori, Y. Four-wheel driving-force dis- tribution method for instantaneous or split slippery roads for electric vehicle with in-wheel motors. In Proceedings of the 2012 12th IEEE International Workshop on Advanced Motion Control (AMC), Sarajevo, Bosnia and Herzegovina, 25–27 March 2012; pp. 1–6. [Google Scholar]
- Du, H.; Zhang, N.; Dong, G. Stabilizing Vehicle Lateral Dynamics with Considerations of Parameter Uncertainties and Control Saturation through Robust Yaw Control. IEEE Trans. Veh. Technol. 2010, 59, 2593–2597. [Google Scholar]
- Park, G.; Han, K.; Nam, K.; Kim, H.; Choi, S.B. Torque Vectoring Algorithm of Electronic-Four-Wheel Drive Vehicles for Enhancement of Cornering Performance. IEEE Trans. Veh. Technol. 2020, 69, 3668–3679. [Google Scholar] [CrossRef]
- Hu, J.; Tao, J.; Xiao, F.; Niu, X.; Fu, C. An Optimal Torque Distribution Control Strategy for Four-Wheel Independent Drive Electric Vehicles Considering Energy Economy. IEEE Access 2019, 7, 141826–141837. [Google Scholar] [CrossRef]
- Segawa, M.; Nishizaki, K.; Nakano, S. A study of vehicle stability control by steer by wire system. Proc. Int. Symp. Adv. Vehicle Contr. 2000, 712, 1–7. [Google Scholar]
- Yih, P.; Gerdes, J.C. Modification of vehicle handling characteristics via steer-by-wire. IEEE Trans. Control Syst. Technol. 2005, 13, 965–976. [Google Scholar] [CrossRef] [Green Version]
- Nam, K.; Fujimoto, H.; Hori, Y. Advanced Motion Control of Electric Vehicles Based on Robust Lateral Tire Force Control via Active Front Steering. IEEE/ASME Trans. Mechatron. 2014, 19, 289–299. [Google Scholar] [CrossRef]
- Fujimoto, H.; Maeda, K. Optimal yaw-rate control for electric vehicles with active front-rear steering and four-wheel driving-braking force distribution. In Proceedings of the IECON 2013–39th Annual Conference of the IEEE Industrial Electronics Society, Vienna, Austria, 10–13 November 2013; pp. 6514–6519. [Google Scholar]
- Wang, J.; Wang, R.; Jing, H.; Chen, N. Coordinated Active Steering and FourWheel Independently Driving/Braking Control with Control Allocation. Asian J. Control 2016, 18, 111. [Google Scholar] [CrossRef]
- Jin, X.; Yu, Z.; Yin, G.; Wang, J. Improving Vehicle Handling Stability Based on Combined AFS and DYC System via Robust Tak-agi-Sugeno Fuzzy Control. IEEE Trans. Intell. Transp. Syst. 2018, 19, 2696–2707. [Google Scholar] [CrossRef]
- Zhang, J.; Sun, W.; Du, H. Integrated Motion Control Scheme for Four-Wheel-Independent Vehicles Considering Critical Conditions. IEEE Trans. Veh. Technol. 2019, 68, 7488–7497. [Google Scholar] [CrossRef]
- Tjonnas, J.; Johansen, T.A. Stabilization of Automotive Vehicles Using Active Steering and Adaptive Brake Control Alloca-tion. IEEE Trans. Control Syst. Technol. 2010, 18, 545–558. [Google Scholar] [CrossRef] [Green Version]
- Ding, S.; Liu, L.; Zheng, W.X. Sliding Mode Direct Yaw-Moment Control Design for In-Wheel Electric Vehicles. IEEE Trans. Ind. Electron. 2017, 64, 6752–6762. [Google Scholar] [CrossRef]
- Zhang, L.; Ding, H.; Shi, J.; Huang, Y.; Chen, H.; Guo, K.; Li, Q. An Adaptive Backstepping Sliding Mode Controller to Im-prove Vehicle Maneuverability and Stability via Torque Vectoring Control. IEEE Trans. Veh. Technol. 2020, 69, 2598–2612. [Google Scholar] [CrossRef]
- Wang, Q.; Zhao, Y.; Deng, Y.; Xu, H.; Deng, H.; Lin, F. Optimal Coordinated Control of ARS and DYC for Four-Wheel Steer and In- Wheel Motor Driven Electric Vehicle With Unknown Tire Model. IEEE Trans. Veh. Technol. 2020, 69, 10809–10819. [Google Scholar] [CrossRef]
- Rezaeian, A.; Zarringhalam, R.; Fallah, S.; Melek, W.; Khajepour, A.; Chen, S.-K.; Moshchuck, N.; Litkouhi, B. Novel Tire Force Estimation Strategy for Real- Time Implementation on Vehicle Applications. IEEE Trans. Veh. Technol. 2015, 64, 2231–2241. [Google Scholar] [CrossRef]
- Cho, W.; Yoon, J.; Yim, S.; Koo, B.; Yi, K. Estimation of Tire Forces for Application to Vehicle Stability Control. IEEE Trans. Veh. Technol. 2010, 59, 638–649. [Google Scholar]
- Doumiati, M.; Victorino, A.C.; Charara, A.; Lechner, D. Onboard Real-Time Estimation of Vehicle Lateral TireRoad Forces and Sideslip Angle. IEEE/ASME Trans. Mechatron. 2011, 16, 601–614. [Google Scholar] [CrossRef]
- Hamann, H.; Hedrick, J.K.; Rhode, S.; Gauterin, F. Tire force estimation for a passenger vehicle with the Unscented Kalman Filter. In Proceedings of the 2014 IEEE Intelligent Vehicles Symposium Proceedings, Dearborn, MI, USA, 8–11 June 2014; pp. 814–819. [Google Scholar]















| Parameter | Symbol | Value |
|---|---|---|
| Total vehicle mass | m | 1530 kg |
| CG-front axle distance | 1.35 m | |
| CG-rear axle distance | 1.43 m | |
| Front track width | 1.55 m | |
| Rear track width | 1.55 m | |
| Yaw moment inertia | 4192 kg·m | |
| Rack gear-pinion gear ratio | 0.1 | |
| Wheel angle-rack gear ratio | 0.625 | |
| Front IWM gear ratio | 0.25 | |
| Rear IWM gear ratio | 1 | |
| Effective tire radius | R | 0.303 m |
| Wheel inertia | 0.9 kg·m | |
| Front driving stiffness | 88,000 N | |
| Rear driving stiffness | 68,000 N | |
| Front steering system inertia | 0.021 kg·m | |
| Front steering system friction | 5.75 Nm·s/rad | |
| Rear steering system inertia | 0.025 kg·m | |
| Rear steering system friction | 5.73 Nm·s/rad | |
| Front cornering stiffness | 60,500 N/rad | |
| Rear cornering stiffness | 60,000 N/rad |
| Driving Force | DLC | Random | ||
| Left | Right | Left | Right | |
| RMS error (front) | 5.68% | 7.44% | 4.38% | 5.48% |
| RMS error (rear) | 6.05% | 7.06% | 4.46% | 5.79% |
| Lateral Force | DLC | Random | ||
| RMS error | 7.39% | 10.53% | 3.78% | 7.81% |
Publisher’s Note: MDPI stays neutral with regard to jurisdictional claims in published maps and institutional affiliations. |
© 2022 by the authors. Licensee MDPI, Basel, Switzerland. This article is an open access article distributed under the terms and conditions of the Creative Commons Attribution (CC BY) license (https://creativecommons.org/licenses/by/4.0/).
Share and Cite
Seo, Y.; Cho, K.; Nam, K. Integrated Yaw Stability Control of Electric Vehicle Equipped with Front/Rear Steer-by-Wire Systems and Four In-Wheel Motors. Electronics 2022, 11, 1277. https://doi.org/10.3390/electronics11081277
Seo Y, Cho K, Nam K. Integrated Yaw Stability Control of Electric Vehicle Equipped with Front/Rear Steer-by-Wire Systems and Four In-Wheel Motors. Electronics. 2022; 11(8):1277. https://doi.org/10.3390/electronics11081277
Chicago/Turabian StyleSeo, Younghoon, Kwanghyun Cho, and Kanghyun Nam. 2022. "Integrated Yaw Stability Control of Electric Vehicle Equipped with Front/Rear Steer-by-Wire Systems and Four In-Wheel Motors" Electronics 11, no. 8: 1277. https://doi.org/10.3390/electronics11081277
APA StyleSeo, Y., Cho, K., & Nam, K. (2022). Integrated Yaw Stability Control of Electric Vehicle Equipped with Front/Rear Steer-by-Wire Systems and Four In-Wheel Motors. Electronics, 11(8), 1277. https://doi.org/10.3390/electronics11081277

